Suppr超能文献

颈部特定运动结合互联网支持与物理治疗诊所的颈部特定运动治疗慢性颈挥鞭伤相关性疾病的疗效:多中心随机对照非劣效性试验。

Efficacy of Neck-Specific Exercise With Internet Support Versus Neck-Specific Exercise at a Physiotherapy Clinic in Chronic Whiplash-Associated Disorders: Multicenter Randomized Controlled Noninferiority Trial.

机构信息

Centre for Clinical Research Sörmland, Uppsala University, Eskilstuna, Sweden.

Department of Health, Medicine and Caring Sciences, Unit of Physiotherapy, Linköping University, Linköping, Sweden.

出版信息

J Med Internet Res. 2023 Jun 20;25:e43888. doi: 10.2196/43888.

Abstract

BACKGROUND

Neck-specific exercises (NSE) supervised by a physiotherapist twice a week for 12 weeks have shown good results in chronic whiplash-associated disorders (WADs), but the effect of exercise delivered via the internet is unknown.

OBJECTIVE

This study examined whether NSE with internet support (NSEIT) and 4 physiotherapy sessions for 12 weeks were noninferior to the same exercises supervised by a physiotherapist twice a week for 12 weeks (NSE).

METHODS

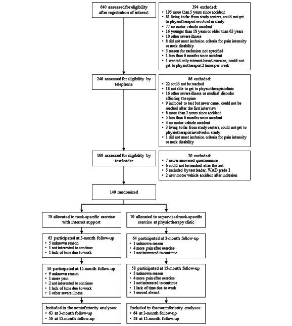
In this multicenter randomized controlled noninferiority trial with masked assessors, we recruited adults aged 18-63 years with chronic WAD grade II (ie, neck pain and clinical musculoskeletal signs) or III (ie, grade II plus neurological signs). Outcomes were measured at baseline and at 3- and 15-month follow-ups. The primary outcome was change in neck-related disability, measured with the Neck Disability Index (NDI; 0%-100%), with higher percentages indicating greater disability. Secondary outcomes were neck and arm pain intensity (Visual Analog Scale [VAS]), physical function (Whiplash Disability Questionnaire [WDQ] and Patient-Specific Functional Scale [PSFS]), health-related quality of life (EQ-5D-3L and EQ VAS), and self-rated recovery (Global Rating Scale [GRS]). The analyses were conducted on an intention-to-treat basis and with the per-protocol approach as sensitivity analyses.

RESULTS

Between April 6, 2017, and September 15, 2020, 140 participants were randomly assigned to the NSEIT group (n=70) or the NSE group (n=70); 63 (90%) and 64 (91%), respectively, were followed up at 3 months, and 56 (80%) and 58 (83%), respectively, at 15 months. NSEIT demonstrated noninferiority to NSE in the primary outcome NDI, as the 1-sided 95% CI of the mean difference in change did not cross the specified noninferiority margin (7 percentage units). There were no significant between-group differences in change in NDI at the 3- or 15-month follow-up, with a mean difference of 1.4 (95% CI -2.5 to 5.3) and 0.9 (95% CI -3.6 to 5.3), respectively. In both groups, the NDI significantly decreased over time (NSEIT: mean change -10.1, 95% CI -13.7 to -6.5, effect size=1.33; NSE: mean change -9.3, 95% CI -12.8 to -5.7, effect size=1.19 at 15 months; P<.001). NSEIT was noninferior to NSE for most of the secondary outcomes except for neck pain intensity and EQ VAS, but post hoc analyses showed no differences between the groups. Similar results were seen in the per-protocol population. No serious adverse events were reported.

CONCLUSIONS

NSEIT was noninferior to NSE in chronic WAD and required less physiotherapist time. NSEIT could be used as a treatment for patients with chronic WAD grades II and III.

TRIAL REGISTRATION

ClinicalTrials.gov NCT03022812; https://clinicaltrials.gov/ct2/show/NCT03022812.

摘要

背景

颈部特定运动(NSE)由物理治疗师每周监督两次,持续 12 周,已显示在慢性挥鞭样损伤相关疾病(WAD)中有良好的效果,但通过互联网提供的运动的效果尚不清楚。

目的

本研究旨在检验颈部特定运动结合互联网支持(NSEIT)和 4 次物理治疗,每周 2 次,持续 12 周,与每周 2 次由物理治疗师监督的相同运动(NSE)相比是否不劣效。

方法

这是一项多中心、随机对照、非劣效性试验,采用盲法评估,我们招募了年龄在 18-63 岁之间、患有慢性 WAD 二级(即颈部疼痛和临床肌肉骨骼体征)或三级(即二级加神经体征)的成年人。在基线和 3 个月及 15 个月随访时进行测量。主要结局是使用颈部残疾指数(NDI;0%-100%)测量的颈部相关残疾的变化,百分比越高表示残疾程度越高。次要结局是颈部和手臂疼痛强度(视觉模拟量表[VAS])、身体功能(挥鞭伤残疾问卷[WDQ]和患者特定功能量表[PSFS])、健康相关生活质量(EQ-5D-3L 和 EQ VAS)和自我报告的恢复情况(总体评定量表[GRS])。分析基于意向治疗原则和方案进行分析。

结果

2017 年 4 月 6 日至 2020 年 9 月 15 日期间,共有 140 名参与者被随机分配至 NSEIT 组(n=70)或 NSE 组(n=70);分别有 63(90%)和 64(91%)在 3 个月时进行随访,56(80%)和 58(83%)在 15 个月时进行随访。NSEIT 在主要结局 NDI 中表现出不劣效性,因为平均差异的单侧 95%置信区间未超过规定的非劣效性边界(7 个百分点)。在 3 个月和 15 个月随访时,NDI 的变化在两组之间均无显著差异,差异分别为 1.4(95%CI -2.5 至 5.3)和 0.9(95%CI -3.6 至 5.3)。在两组中,NDI 随时间显著降低(NSEIT:平均变化 -10.1,95%CI -13.7 至 -6.5,效应大小=1.33;NSE:平均变化 -9.3,95%CI -12.8 至 -5.7,效应大小=1.19,在 15 个月时;P<.001)。除颈部疼痛强度和 EQ VAS 外,NSEIT 在大多数次要结局上不劣效于 NSE,但事后分析显示两组之间无差异。在方案人群中也得到了类似的结果。没有报告严重不良事件。

结论

NSEIT 在慢性 WAD 中不劣效于 NSE,且需要的物理治疗师时间更少。NSEIT 可用于治疗慢性 WAD 二级和三级患者。

试验注册

ClinicalTrials.gov NCT03022812;https://clinicaltrials.gov/ct2/show/NCT03022812。

https://cdn.ncbi.nlm.nih.gov/pmc/blobs/501b/10337460/971cab376711/jmir_v25i1e43888_fig1.jpg

文献检索

告别复杂PubMed语法,用中文像聊天一样搜索,搜遍4000万医学文献。AI智能推荐,让科研检索更轻松。

立即免费搜索

文件翻译

保留排版,准确专业,支持PDF/Word/PPT等文件格式,支持 12+语言互译。

免费翻译文档

深度研究

AI帮你快速写综述,25分钟生成高质量综述,智能提取关键信息,辅助科研写作。

立即免费体验