Suppr超能文献

从儿童期到成年早期注意缺陷多动障碍和自闭症特征轨迹的共同发展。

Co-development of attention deficit hyperactivity disorder and autistic trait trajectories from childhood to early adulthood.

机构信息

Division of Psychological Medicine and Clinical Neurosciences, Centre for Neuropsychiatric Genetics and Genomics, Cardiff University, Cardiff, UK.

Wolfson Centre for Young People's Mental Health, Cardiff University, Cardiff, UK.

出版信息

J Child Psychol Psychiatry. 2023 Nov;64(11):1596-1607. doi: 10.1111/jcpp.13851. Epub 2023 Jun 22.

Abstract

BACKGROUND

Attention deficit hyperactivity disorder (ADHD) and autism, defined as traits or disorders, commonly co-occur. Developmental trajectories of ADHD and autistic traits both show heterogeneity in onset and course, but little is known about how symptom trajectories co-develop into adulthood.

METHODS

Using data from a population cohort, the Avon Longitudinal Study of Parents and Children, we examined correlations between ADHD and autistic traits across development, using the Social Communication Disorders Checklist and ADHD subscale of the Strengths and Difficulties Questionnaire. We modelled joint developmental trajectories of parent-reported ADHD and autistic traits between 4 and 25 years, then characterised trajectory classes based on sociodemographic, perinatal, psychopathology, cognition and social functioning variables and tested for associations with neurodevelopmental/psychiatric polygenic scores (PGS).

RESULTS

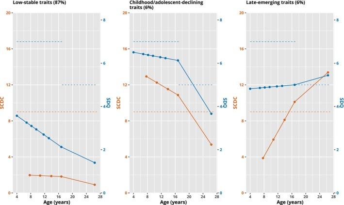
Three classes of trajectories were identified; a typically developing majority with low-stable ADHD-autistic traits (87%), a male-predominant subgroup with child/adolescent-declining traits (6%) and a subgroup with late-emerging traits (6%). ADHD-autistic trait correlations were greatest in young adulthood for the two nontypically developing classes. There were higher rates of emotional and conduct problems, low IQ, childhood seizures and poor social functioning in the declining and late-emerging classes compared to the low-stable class. Emotional, conduct and peer problems were more prevalent during childhood in the childhood/adolescent-declining class compared to other classes, but were more prevalent in young adulthood in the late-emerging class. Neurodevelopmental/psychiatric PGS also differed: both nontypically developing classes showed elevated ADHD PGS compared to the low-stable group, and the late-emerging group additionally showed elevated schizophrenia PGS and decreased executive function PGS, whereas the declining group showed elevated broad depression PGS.

CONCLUSIONS

Distinct patterns of ADHD-autism co-development are present across development in the general population, each with different characterising factors and genetic signatures as indexed by PGS.

摘要

背景

注意力缺陷多动障碍(ADHD)和自闭症被定义为特质或障碍,通常同时存在。ADHD 和自闭症特质的发展轨迹在发病和病程上都存在异质性,但对于这些症状轨迹如何共同发展到成年期知之甚少。

方法

使用来自人群队列——阿冯纵向研究父母与子女的数据,我们使用社会交流障碍检查表和困难问卷的 ADHD 子量表,检查了 ADHD 和自闭症特质在整个发展过程中的相关性。我们对父母报告的 ADHD 和自闭症特质在 4 至 25 岁之间的联合发展轨迹进行建模,然后根据社会人口统计学、围产期、精神病理学、认知和社会功能变量对轨迹类别进行特征描述,并测试与神经发育/精神障碍多基因评分(PGS)的关联。

结果

确定了三个轨迹类别;大多数是具有低稳定 ADHD-自闭症特质的典型发展类别(87%),一个以男性为主的具有儿童/青少年下降特质的亚组(6%)和一个具有晚期出现特质的亚组(6%)。对于两个非典型发展类别,ADHD-自闭症特质相关性在成年早期最大。与低稳定组相比,下降和晚期出现组的情绪和行为问题、低智商、儿童期癫痫发作和较差的社会功能发生率更高。与其他类别相比,儿童/青少年下降组在儿童期的情绪、行为和同伴问题更为普遍,而在晚期出现组则在成年早期更为普遍。神经发育/精神障碍 PGS 也存在差异:与低稳定组相比,两个非典型发展组的 ADHD PGS 均升高,而晚期出现组还表现出精神分裂症 PGS 升高和执行功能 PGS 降低,而下降组则表现出广泛的抑郁 PGS 升高。

结论

在普通人群中,ADHD-自闭症的共同发展在整个发展过程中呈现出不同的模式,每种模式都有不同的特征因素和遗传特征,如 PGS 所示。

https://cdn.ncbi.nlm.nih.gov/pmc/blobs/3418/10953423/437c9a29930f/JCPP-64-1596-g002.jpg

文献检索

告别复杂PubMed语法,用中文像聊天一样搜索,搜遍4000万医学文献。AI智能推荐,让科研检索更轻松。

立即免费搜索

文件翻译

保留排版,准确专业,支持PDF/Word/PPT等文件格式,支持 12+语言互译。

免费翻译文档

深度研究

AI帮你快速写综述,25分钟生成高质量综述,智能提取关键信息,辅助科研写作。

立即免费体验