• 文献检索
  • 文档翻译
  • 深度研究
  • 学术资讯
  • Suppr Zotero 插件Zotero 插件
  • 邀请有礼
  • 套餐&价格
  • 历史记录
应用&插件
Suppr Zotero 插件Zotero 插件浏览器插件Mac 客户端Windows 客户端微信小程序
定价
高级版会员购买积分包购买API积分包
服务
文献检索文档翻译深度研究API 文档MCP 服务
关于我们
关于 Suppr公司介绍联系我们用户协议隐私条款
关注我们

Suppr 超能文献

核心技术专利:CN118964589B侵权必究
粤ICP备2023148730 号-1Suppr @ 2026

文献检索

告别复杂PubMed语法,用中文像聊天一样搜索,搜遍4000万医学文献。AI智能推荐,让科研检索更轻松。

立即免费搜索

文件翻译

保留排版,准确专业,支持PDF/Word/PPT等文件格式,支持 12+语言互译。

免费翻译文档

深度研究

AI帮你快速写综述,25分钟生成高质量综述,智能提取关键信息,辅助科研写作。

立即免费体验

尼古丁和吸烟及蒸气吸入急性暴露对骨骼肌的微血管反应。

Nicotine and Microvascular Responses in Skeletal Muscle from Acute Exposure to Cigarettes and Vaping.

机构信息

Division of Exercise Physiology, School of Medicine, West Virginia University, Morgantown, WV 26506, USA.

West Virginia Clinical and Translational Science Institute, Morgantown, WV 26506, USA.

出版信息

Int J Mol Sci. 2023 Jun 16;24(12):10208. doi: 10.3390/ijms241210208.

DOI:10.3390/ijms241210208
PMID:37373356
原文链接:https://pmc.ncbi.nlm.nih.gov/articles/PMC10299710/
Abstract

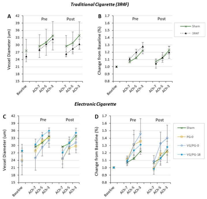
Despite claims of safety or harm reduction for electronic cigarettes (E-cig) use (also known as vaping), emerging evidence indicates that E-cigs are not likely safe, or necessarily safer than traditional cigarettes, when considering the user's risk of developing vascular dysfunction/disease. E-cigs are different from regular cigarettes in that E-cig devices are highly customizable, and users can change the e-liquid composition (such as the base solution, flavors, and nicotine level). Since the effects of E-cigs on the microvascular responses in skeletal muscle are poorly understood, we used intravital microscopy with an acute (one-time 10 puff) exposure paradigm to evaluate the individual components of e-liquid on vascular tone and endothelial function in the arterioles of the gluteus maximus muscle of anesthetized C57Bl/6 mice. Consistent with the molecular responses seen with endothelial cells, we found that the peripheral vasoconstriction response was similar between mice exposed to E-cig aerosol or cigarette smoke (i.e., 3R4F reference cigarette); this response was not nicotine dependent, and endothelial cell-mediated vasodilation was not altered within this acute exposure paradigm. We also report that, regardless of the base solution component [i.e., vegetable glycerin (VG)-only or propylene glycol (PG)-only], the vasoconstriction responses were the same in mice with inhalation exposure to 3R4F cigarette smoke or E-cig aerosol. Key findings from this work reveal that some component other than nicotine, in inhaled smoke or aerosol, is responsible for triggering peripheral vasoconstriction in skeletal muscle, and that regardless of one's preference for an E-cig base solution composition (i.e., ratio of VG-to-PG), the acute physiological response to blood vessels appears to be the same. The data suggest that vaping is not likely to be 'safer' than smoking towards blood vessels and can be expected to produce and/or result in the same adverse vascular health outcomes associated with smoking cigarettes.

摘要

尽管声称电子烟(也称为蒸气烟)的使用具有安全性或减少危害的作用,但新出现的证据表明,在考虑使用者发生血管功能障碍/疾病的风险时,电子烟不太可能安全,或者未必比传统香烟更安全。电子烟与普通香烟不同,电子烟设备具有高度可定制性,用户可以改变电子烟液的组成(例如基础溶液、口味和尼古丁含量)。由于电子烟对骨骼肌微循环反应的影响知之甚少,我们使用活体显微镜和急性(一次性 10 口)暴露范式来评估电子烟液的各个成分对麻醉 C57Bl/6 小鼠臀大肌动静脉的血管张力和内皮功能的影响。与内皮细胞的分子反应一致,我们发现,暴露于电子烟气溶胶或香烟烟雾(即 3R4F 参考香烟)的小鼠之间的外周血管收缩反应相似;这种反应与尼古丁无关,并且内皮细胞介导的血管舒张在这种急性暴露范式中没有改变。我们还报告说,无论基础溶液成分如何[即仅蔬菜甘油(VG)或仅丙二醇(PG)],在吸入 3R4F 香烟烟雾或电子烟气溶胶的情况下,小鼠的血管收缩反应相同。这项工作的主要发现揭示了吸入烟雾或气溶胶中除尼古丁以外的某些成分,负责引发骨骼肌的外周血管收缩,并且无论个人对电子烟基础溶液成分(即 VG 与 PG 的比例)的偏好如何,对血管的急性生理反应似乎是相同的。这些数据表明,蒸气烟不太可能比吸烟对血管更安全,并且可以预期会产生和/或导致与吸烟相关的相同的不良血管健康后果。

https://cdn.ncbi.nlm.nih.gov/pmc/blobs/c14f/10299710/47ff79c68149/ijms-24-10208-g003.jpg
https://cdn.ncbi.nlm.nih.gov/pmc/blobs/c14f/10299710/3c73fdb79aa6/ijms-24-10208-g001.jpg
https://cdn.ncbi.nlm.nih.gov/pmc/blobs/c14f/10299710/ecf8c54950f3/ijms-24-10208-g002.jpg
https://cdn.ncbi.nlm.nih.gov/pmc/blobs/c14f/10299710/47ff79c68149/ijms-24-10208-g003.jpg
https://cdn.ncbi.nlm.nih.gov/pmc/blobs/c14f/10299710/3c73fdb79aa6/ijms-24-10208-g001.jpg
https://cdn.ncbi.nlm.nih.gov/pmc/blobs/c14f/10299710/ecf8c54950f3/ijms-24-10208-g002.jpg
https://cdn.ncbi.nlm.nih.gov/pmc/blobs/c14f/10299710/47ff79c68149/ijms-24-10208-g003.jpg

相似文献

1
Nicotine and Microvascular Responses in Skeletal Muscle from Acute Exposure to Cigarettes and Vaping.尼古丁和吸烟及蒸气吸入急性暴露对骨骼肌的微血管反应。
Int J Mol Sci. 2023 Jun 16;24(12):10208. doi: 10.3390/ijms241210208.
2
Electronic cigarette solvents, pulmonary irritation, and endothelial dysfunction: role of acetaldehyde and formaldehyde.电子烟溶剂、肺部刺激与内皮功能障碍:乙醛和甲醛的作用
Am J Physiol Heart Circ Physiol. 2021 Apr 1;320(4):H1510-H1525. doi: 10.1152/ajpheart.00878.2020. Epub 2021 Feb 5.
3
Long-term cerebrovascular dysfunction in the offspring from maternal electronic cigarette use during pregnancy.母亲孕期使用电子烟导致后代长期脑血管功能障碍。
Am J Physiol Heart Circ Physiol. 2021 Aug 1;321(2):H339-H352. doi: 10.1152/ajpheart.00206.2021. Epub 2021 Jun 25.
4
Chronic exposure to electronic cigarettes results in impaired cardiovascular function in mice.慢性暴露于电子烟会导致小鼠心血管功能受损。
J Appl Physiol (1985). 2018 Mar 1;124(3):573-582. doi: 10.1152/japplphysiol.00713.2017. Epub 2017 Nov 2.
5
Comparison of the effects of e-cigarette vapor with cigarette smoke on lung function and inflammation in mice.比较电子烟蒸汽和香烟烟雾对小鼠肺功能和炎症的影响。
Am J Physiol Lung Cell Mol Physiol. 2018 Nov 1;315(5):L662-L672. doi: 10.1152/ajplung.00389.2017. Epub 2018 Aug 9.
6
Electronic-Cigarette Vehicles and Flavoring Affect Lung Function and Immune Responses in a Murine Model.电子烟车辆和调味剂会影响小鼠模型的肺功能和免疫反应。
Int J Mol Sci. 2020 Aug 21;21(17):6022. doi: 10.3390/ijms21176022.
7
Long-term electronic cigarette exposure induces cardiovascular dysfunction similar to tobacco cigarettes: role of nicotine and exposure duration.长期电子烟暴露引起类似烟草香烟的心血管功能障碍:尼古丁和暴露时间的作用。
Am J Physiol Heart Circ Physiol. 2021 May 1;320(5):H2112-H2129. doi: 10.1152/ajpheart.00997.2020. Epub 2021 Feb 19.
8
Electronic Cigarettes: Their Constituents and Potential Links to Asthma.电子烟:其成分及与哮喘的潜在联系。
Curr Allergy Asthma Rep. 2017 Oct 5;17(11):79. doi: 10.1007/s11882-017-0747-5.
9
Comparable Impairment of Vascular Endothelial Function by a Wide Range of Electronic Nicotine Delivery Devices.各种类型的电子烟对血管内皮功能具有相似的损害作用。
Nicotine Tob Res. 2022 Jun 15;24(7):1055-1062. doi: 10.1093/ntr/ntac019.
10
Effects of electronic cigarette E-liquid and device wattage on vascular function.电子烟液和设备功率对血管功能的影响。
Toxicol Appl Pharmacol. 2023 Sep 1;474:116631. doi: 10.1016/j.taap.2023.116631. Epub 2023 Jul 17.

引用本文的文献

1
Pregnancy and Postpartum Effects of Electronic Cigarettes on Maternal Health and Vascular Function in the Fourth Trimester.电子烟对孕晚期孕产妇健康和血管功能的妊娠及产后影响
Cardiovasc Toxicol. 2025 Mar;25(3):325-340. doi: 10.1007/s12012-025-09961-x. Epub 2025 Jan 22.
2
Effects of E-Cigs on Physiological Pathways and Proposed Therapeutic Intervention with Bixin.电子烟对生理途径的影响以及用胭脂树素进行治疗干预的建议
Biomedicines. 2024 Nov 27;12(12):2705. doi: 10.3390/biomedicines12122705.
3
Influence of gestational window on offspring vascular health in rodents with in utero exposure to electronic cigarettes.

本文引用的文献

1
Pod-based e-liquids impair human vascular endothelial cell function.基于 pod 的电子烟烟液会损害人体血管内皮细胞功能。
PLoS One. 2023 Jan 26;18(1):e0280674. doi: 10.1371/journal.pone.0280674. eCollection 2023.
2
Maternal electronic cigarette use during pregnancy affects long-term arterial function in offspring.母亲在怀孕期间使用电子烟会影响后代的长期动脉功能。
J Appl Physiol (1985). 2023 Jan 1;134(1):59-71. doi: 10.1152/japplphysiol.00582.2022. Epub 2022 Nov 23.
3
Impairment of Endothelial Function by Cigarette Smoke Is Not Caused by a Specific Smoke Constituent, but by Vagal Input From the Airway.
子宫内暴露于电子烟对啮齿动物后代血管健康的妊娠期窗口影响。
J Physiol. 2024 Sep;602(17):4271-4289. doi: 10.1113/JP286493. Epub 2024 Aug 6.
4
Maternal use of electronic cigarettes and impact on offspring: a double-hit model.母体使用电子烟及其对子代的影响:一种双重打击模型。
J Appl Physiol (1985). 2024 Sep 1;137(3):690-704. doi: 10.1152/japplphysiol.00345.2024. Epub 2024 Aug 1.
5
Evidence of premature vascular dysfunction in young adults who regularly use e-cigarettes and the impact of usage length.电子烟使用人群中年轻成年人早期血管功能障碍的证据及其使用时间长度的影响。
Angiogenesis. 2024 May;27(2):229-243. doi: 10.1007/s10456-023-09903-7. Epub 2024 Feb 12.
6
Effects of electronic cigarette E-liquid and device wattage on vascular function.电子烟液和设备功率对血管功能的影响。
Toxicol Appl Pharmacol. 2023 Sep 1;474:116631. doi: 10.1016/j.taap.2023.116631. Epub 2023 Jul 17.
香烟烟雾引起的内皮功能障碍不是由特定的烟雾成分引起的,而是由气道的迷走神经输入引起的。
Arterioscler Thromb Vasc Biol. 2022 Nov;42(11):1324-1332. doi: 10.1161/ATVBAHA.122.318051. Epub 2022 Oct 26.
4
Nicotine and novel tobacco products drive adverse cardiac remodeling and dysfunction in preclinical studies.在临床前研究中,尼古丁和新型烟草制品会导致不良的心脏重塑和功能障碍。
Front Cardiovasc Med. 2022 Oct 6;9:993617. doi: 10.3389/fcvm.2022.993617. eCollection 2022.
5
Transfer of Metals to the Aerosol Generated by an Electronic Cigarette: Influence of Number of Puffs and Power.金属向电子烟产生的气溶胶中的转移:抽吸次数和功率的影响。
Int J Environ Res Public Health. 2022 Jul 30;19(15):9334. doi: 10.3390/ijerph19159334.
6
A Systematic Review of E-Cigarette Marketing Communication: Messages, Communication Channels, and Strategies.电子烟营销传播的系统评价:信息、传播渠道和策略。
Int J Environ Res Public Health. 2022 Jul 28;19(15):9263. doi: 10.3390/ijerph19159263.
7
The Reshaping of the E-Cigarette Retail Environment: Its Evolution and Public Health Concerns.电子烟零售环境的重塑:演变及其公共卫生问题。
Int J Environ Res Public Health. 2022 Jul 12;19(14):8518. doi: 10.3390/ijerph19148518.
8
Impact of delivery rate on the acute response to intravenous nicotine: A human laboratory study with implications for regulatory science.静脉尼古丁给药速度对急性反应的影响:一项具有监管科学意义的人体实验室研究。
Addict Biol. 2022 Mar;27(2):e13161. doi: 10.1111/adb.13161.
9
Comparable Impairment of Vascular Endothelial Function by a Wide Range of Electronic Nicotine Delivery Devices.各种类型的电子烟对血管内皮功能具有相似的损害作用。
Nicotine Tob Res. 2022 Jun 15;24(7):1055-1062. doi: 10.1093/ntr/ntac019.
10
The effect of emerging tobacco related products and their toxic constituents on thrombosis.新兴烟草相关产品及其有毒成分对血栓形成的影响。
Life Sci. 2022 Feb 1;290:120255. doi: 10.1016/j.lfs.2021.120255. Epub 2021 Dec 23.