Wang Junyong, Zhang Jing, Guo Henan, Cheng Qiang, Abbas Zaheer, Tong Yucui, Yang Tiantian, Zhou Yichen, Zhang Haosen, Wei Xubiao, Si Dayong, Zhang Rijun
State Key Laboratory of Animal Nutrition, College of Animal Science and Technology, China Agricultural University, Beijing 100193, China.
Department of Basic Medical Sciences, School of Medicine, Tsinghua University, Beijing 100084, China.
Foods. 2023 Jun 25;12(13):2481. doi: 10.3390/foods12132481.
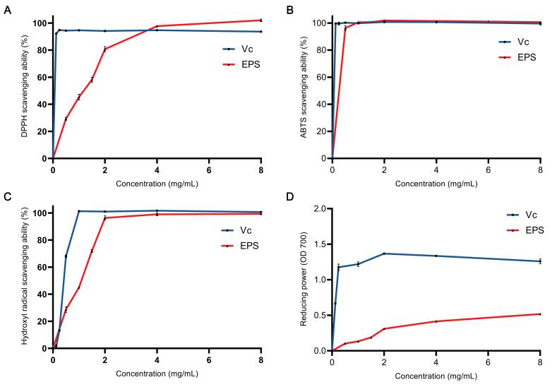
In this study, the yield of exopolysaccharide (EPS) from R301 was optimized using a single-factor experiment and response surface methodology (RSM). After optimization, the EPS yield was increased with a fold-change of 0.85. The significant factors affecting EPS production, as determined through a Plackett-Burman design and Central Composite Design (CCD), were MgSO concentration, initial pH, and inoculation size. The maximum yield was 97.85 mg/mL under the condition of 0.01% MgSO, an initial pH 7.4, and 6.4% of the inoculation size. In addition, the EPS exhibited strong antioxidant activity, as demonstrated by its ability to scavenge DPPH, ABTS, and hydroxyl radicals. The scavenging rate was up to 100% at concentrations of 4 mg/mL, 1 mg/mL, and 2 mg/mL, respectively. Moreover, the EPS also exhibited reducing power, which was about 30% that of ascorbic acid when both tended to be stable with the increased concentration. These results suggest that R301 EPS possesses different antioxidant mechanisms and warrants further investigation. In addition to its antioxidant activity, the EPS also demonstrated good anti-inflammatory activity by inhibiting the inflammation induced by lipopolysaccharide (LPS) in RAW 264.7 cells, which could decrease nitric oxide (NO) production and expression of the proinflammatory cytokine . These findings suggest that R301 EPS could be used as a potential multifunctional food additive in the food industry.
在本研究中,采用单因素实验和响应面法(RSM)对R301产胞外多糖(EPS)的产量进行了优化。优化后,EPS产量提高了0.85倍。通过Plackett-Burman设计和中心复合设计(CCD)确定,影响EPS产量的显著因素为MgSO浓度、初始pH值和接种量。在0.01%MgSO、初始pH值7.4和接种量6.4%的条件下,最大产量为97.85mg/mL。此外,EPS表现出较强的抗氧化活性,能够清除DPPH、ABTS和羟基自由基。在浓度分别为4mg/mL、1mg/mL和2mg/mL时,清除率分别高达100%。此外,EPS还表现出还原能力,当两者浓度增加趋于稳定时,其还原能力约为抗坏血酸的30%。这些结果表明,R301 EPS具有不同的抗氧化机制,值得进一步研究。除了抗氧化活性外,EPS还通过抑制RAW 264.7细胞中脂多糖(LPS)诱导的炎症表现出良好的抗炎活性,这可以降低一氧化氮(NO)的产生和促炎细胞因子的表达。这些发现表明,R301 EPS可作为食品工业中一种潜在的多功能食品添加剂。