Department of Marine Life Sciences, Jeju National University, Jeju 63243, Republic of Korea.
Research Group of Process Engineering, Korea Food Research Institute, Wanju 55365, Republic of Korea.
Mar Drugs. 2023 Jun 25;21(7):374. doi: 10.3390/md21070374.
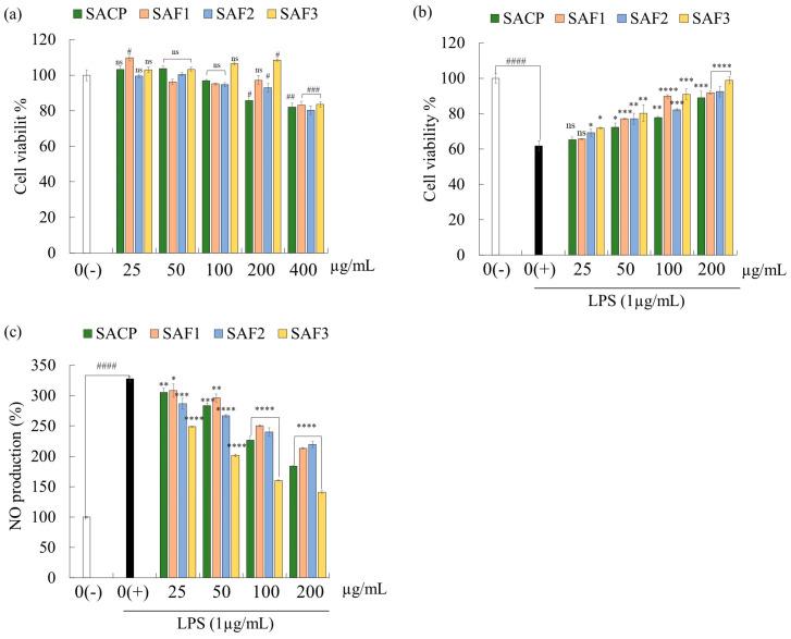
Fucoidans are sulfate-rich polysaccharides with a wide variety of beneficial biological activities. The present study aimed to highlight the anti-inflammatory activity of fucoidan from the brown seaweed (SA) against lipopolysaccharide (LPS)-induced RAW 264.7 macrophage cells. Among the isolated fucoidan fractions, the third fraction (SAF3) showed a superior protective effect on LPS-stimulated RAW 264.7 cells. SAF3 inhibits nitric oxide (NO) production and expression of prostaglandin E-2 (PGE2) via downregulation of inducible nitric oxide synthase (iNOS) and cyclooxygenase-2 (COX2) expression in LPS-induced RAW 26.7 cells. SAF3 treatment decreased pro-inflammatory cytokines IL-1β, TNF-α, and IL-6 expression in LPS-induced cells. LPS stimulation activated NF-κB and MAPK signaling cascades in RAW 264.7 cells, while treatment with SAF3 suppressed them in a concentration-dependent manner. Existing outcomes confirm that SAF3 from possesses potent anti-inflammatory activity and exhibits good potential for application as a functional food ingredient or for the treatment of inflammation-related disorders.
褐藻来源的岩藻聚糖硫酸酯是一种富含硫酸盐的多糖,具有广泛的有益的生物活性。本研究旨在强调褐藻来源的岩藻聚糖硫酸酯(SA)的抗炎活性对脂多糖(LPS)诱导的 RAW264.7 巨噬细胞的作用。在所分离的岩藻聚糖级分中,第三级分(SAF3)对 LPS 刺激的 RAW264.7 细胞表现出优越的保护作用。SAF3 通过下调诱导型一氧化氮合酶(iNOS)和环氧化酶-2(COX2)的表达来抑制一氧化氮(NO)的产生和前列腺素 E2(PGE2)的表达,从而抑制 LPS 诱导的 RAW26.7 细胞。SAF3 处理降低了 LPS 诱导的细胞中促炎细胞因子 IL-1β、TNF-α和 IL-6 的表达。LPS 刺激激活了 RAW264.7 细胞中的 NF-κB 和 MAPK 信号通路,而 SAF3 处理以浓度依赖的方式抑制了它们。现有结果证实,SAF3 具有很强的抗炎活性,有望作为功能性食品成分或用于治疗炎症相关疾病。