Suppr超能文献

复苏过程中的呼气不完全——理论综述及足月儿通气实例

Incomplete Exhalation during Resuscitation-Theoretical Review and Examples from Ventilation of Newborn Term Infants.

作者信息

Drevhammar Thomas, Bjorland Peder Aleksander, Haynes Joanna, Eilevstjønn Joar, Hinder Murray, Tracy Mark, Rettedal Siren Irene, Ersdal Hege Langli

机构信息

Department of Women's and Children's Health, Karolinska Institutet, 171 77 Stockholm, Sweden.

Department of Paediatrics, Stavanger University Hospital, 4019 Stavanger, Norway.

出版信息

Children (Basel). 2023 Jun 28;10(7):1118. doi: 10.3390/children10071118.

Abstract

BACKGROUND

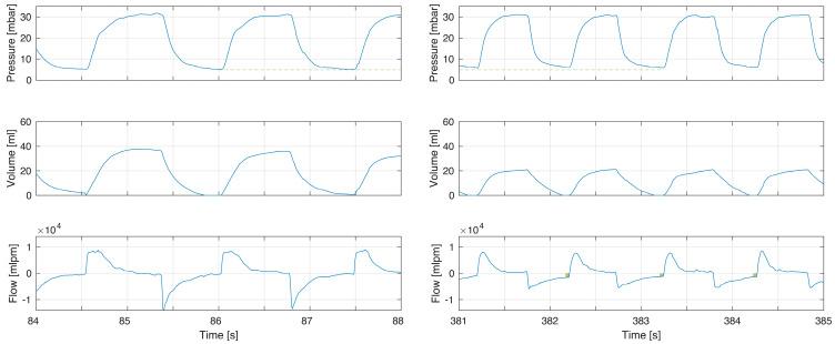
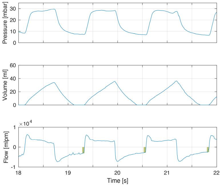
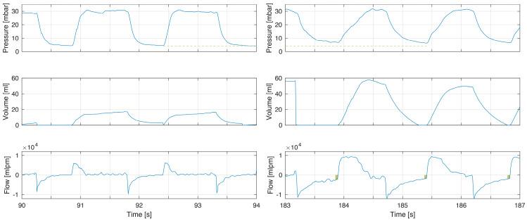
Newborn resuscitation guidelines recommend positive pressure ventilation (PPV) for newborns who do not establish effective spontaneous breathing after birth. T-piece resuscitator systems are commonly used in high-resource settings and can additionally provide positive end-expiratory pressure (PEEP). Short expiratory time, high resistance, rapid dynamic changes in lung compliance and large tidal volumes increase the possibility of incomplete exhalation. Previous publications indicate that this may occur during newborn resuscitation. Our aim was to study examples of incomplete exhalations in term newborn resuscitation and discuss these against the theoretical background.

METHODS

Examples of flow and pressure data from respiratory function monitors (RFM) were selected from 129 term newborns who received PPV using a T-piece resuscitator. RFM data were not presented to the user during resuscitation.

RESULTS

Examples of incomplete exhalation with higher-than-set PEEP-levels were present in the recordings with visual correlation to factors affecting time needed to complete exhalation.

CONCLUSIONS

Incomplete exhalation and the relationship to expiratory time constants have been well described theoretically. We documented examples of incomplete exhalations with increased PEEP-levels during resuscitation of term newborns. We conclude that RFM data from resuscitations can be reviewed for this purpose and that incomplete exhalations should be further explored, as the clinical benefit or risk of harm are not known.

摘要

背景

新生儿复苏指南建议,对于出生后未建立有效自主呼吸的新生儿进行正压通气(PPV)。T形管复苏系统常用于资源丰富的环境,并且还可提供呼气末正压(PEEP)。呼气时间短、阻力高、肺顺应性快速动态变化以及潮气量大会增加呼气不完全的可能性。先前的出版物表明,这可能在新生儿复苏期间发生。我们的目的是研究足月儿复苏中呼气不完全的实例,并结合理论背景进行讨论。

方法

从129例使用T形管复苏器接受PPV的足月儿中选取呼吸功能监测仪(RFM)的流量和压力数据实例。在复苏期间未向使用者展示RFM数据。

结果

记录中存在呼气不完全且呼气末正压水平高于设定值的实例,与影响呼气所需时间的因素存在视觉上的关联。

结论

理论上已对呼气不完全及其与呼气时间常数的关系进行了充分描述。我们记录了足月儿复苏期间呼气末正压水平升高导致呼气不完全的实例。我们得出结论,为此目的可以回顾复苏时的RFM数据,并且由于临床益处或伤害风险尚不清楚,应进一步探索呼气不完全的情况。

https://cdn.ncbi.nlm.nih.gov/pmc/blobs/b325/10377906/6b7e48735779/children-10-01118-g001.jpg

文献AI研究员

20分钟写一篇综述,助力文献阅读效率提升50倍。

立即体验

用中文搜PubMed

大模型驱动的PubMed中文搜索引擎

马上搜索

文档翻译

学术文献翻译模型,支持多种主流文档格式。

立即体验