• 文献检索
  • 文档翻译
  • 深度研究
  • 学术资讯
  • Suppr Zotero 插件Zotero 插件
  • 邀请有礼
  • 套餐&价格
  • 历史记录
应用&插件
Suppr Zotero 插件Zotero 插件浏览器插件Mac 客户端Windows 客户端微信小程序
定价
高级版会员购买积分包购买API积分包
服务
文献检索文档翻译深度研究API 文档MCP 服务
关于我们
关于 Suppr公司介绍联系我们用户协议隐私条款
关注我们

Suppr 超能文献

核心技术专利:CN118964589B侵权必究
粤ICP备2023148730 号-1Suppr @ 2026

文献检索

告别复杂PubMed语法,用中文像聊天一样搜索,搜遍4000万医学文献。AI智能推荐,让科研检索更轻松。

立即免费搜索

文件翻译

保留排版,准确专业,支持PDF/Word/PPT等文件格式,支持 12+语言互译。

免费翻译文档

深度研究

AI帮你快速写综述,25分钟生成高质量综述,智能提取关键信息,辅助科研写作。

立即免费体验

中国航空货运业的绿色投资:可持续运输的机遇与挑战

Green investing in China's air cargo industry: Opportunities and challenges for sustainable transportation.

作者信息

Wang Weisong, Sun Wenjing, Awan Usama, A Nassani Abdelmohsen, H Binsaeed Rima, Zaman Khalid

机构信息

School of Marxism, Xinjiang Normal University, WuLuMuQi 830017, China.

School of Marxism, Guangxi Science and Technology Normal University, LaiBin 546199, China.

出版信息

Heliyon. 2023 Aug 8;9(8):e19013. doi: 10.1016/j.heliyon.2023.e19013. eCollection 2023 Aug.

DOI:10.1016/j.heliyon.2023.e19013
PMID:37600428
原文链接:https://pmc.ncbi.nlm.nih.gov/articles/PMC10432702/
Abstract

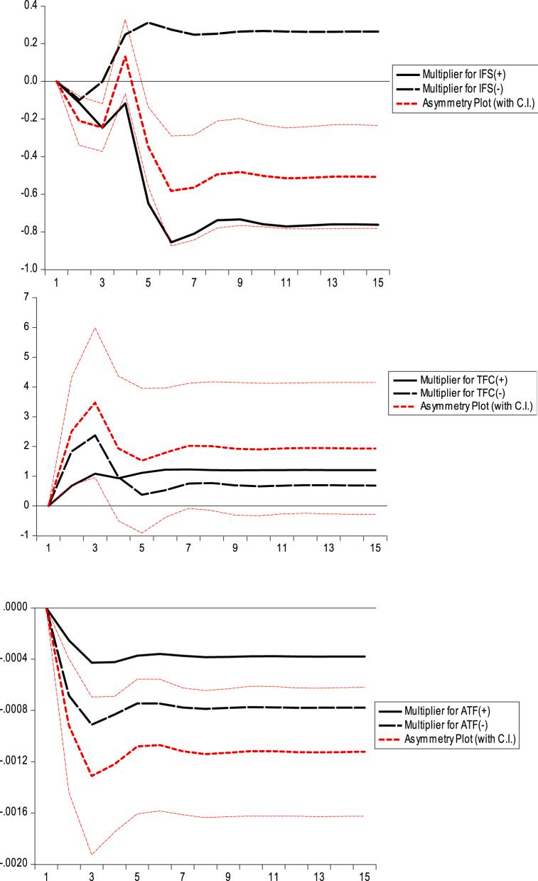
Aviation cargo remains vital in the economic activities to transported goods from one place to another. The developed and developing countries mainly consider the transaction routes for air transportation for safe and quickest mode. Chinese economy is attracting the global World through its exports. The country's air cargo system is mainly reliant on gasoline and petroleum-based fuels, which harms the country's green transportation agenda. The high use of fuel combustions in the aviation sector needed greenfield investment that helps to use green energy as an alternative sustainable fuel. Further, sustainable aviation insurance and financial coverage are needed to mitigate the adverse negative externalities from air cargo operations. Based on the crucial facts, the study used air cargo operations, transportation fuel combustions, private investment in the transportation and insurance coverage in the pollution damage function for the China economy using data from 1975 to 2020. The research employed a non-linear ARDL Bounds testing strategy to break down the sequence of variables into dynamic positive and negative multipliers. Positive shocks in air freight, insurance services, and greenfield investment have been shown to reduce carbon emissions immediately and over the long term. In the short term, carbon damages are exacerbated by the negative shocks resulting from the use of transportation fuel and the availability of insurance. Moreover, both the positive and negative shocks associated with transportation fuel combustions and air transportation freights contribute to a rise in carbon damage. The variance decomposition analysis validated the asymmetric correlations between the aforementioned variables in the intertemporal environment. Based on the findings, negative shocks from total fuel combustions are expected to impose the greatest carbon damages over the next decade, followed by insurance services and air freight operations. The study concludes that air cargo operations need to be sustainable transacting routes fueled by biofuel energy sources, greenfield investment, and sustainable aviation insurance coverage to achieve the 'green is clean' transportation agenda.

摘要

航空货运在将货物从一地运往另一地的经济活动中仍然至关重要。发达国家和发展中国家主要考虑航空运输的交易路线,以实现安全、最快的运输方式。中国经济通过出口吸引着全球关注。该国的航空货运系统主要依赖汽油和石油基燃料,这不利于该国的绿色交通议程。航空部门燃料燃烧的大量使用需要绿地投资,以帮助使用绿色能源作为替代可持续燃料。此外,还需要可持续的航空保险和财务覆盖,以减轻航空货运业务产生的负面外部性。基于这些关键事实,本研究利用1975年至2020年的数据,将航空货运业务、运输燃料燃烧、运输领域的私人投资以及保险覆盖纳入中国经济的污染损害函数中。该研究采用非线性自回归分布滞后边界检验策略,将变量序列分解为动态正乘数和负乘数。航空货运、保险服务和绿地投资的正向冲击已被证明能在短期和长期内立即减少碳排放。在短期内,运输燃料使用和保险可得性带来的负向冲击会加剧碳损害。此外,与运输燃料燃烧和航空运输货运相关的正向和负向冲击都会导致碳损害增加。方差分解分析验证了上述变量在跨期环境中的不对称相关性。基于研究结果,预计未来十年总燃料燃烧产生的负向冲击将造成最大的碳损害,其次是保险服务和航空货运业务。该研究得出结论,航空货运业务需要以生物燃料能源、绿地投资和可持续航空保险覆盖为动力的可持续交易路线,以实现“绿色即清洁”的交通议程。

https://cdn.ncbi.nlm.nih.gov/pmc/blobs/55a8/10432702/4b3f99e6579b/gr3.jpg
https://cdn.ncbi.nlm.nih.gov/pmc/blobs/55a8/10432702/6875bd4b64f9/gr1.jpg
https://cdn.ncbi.nlm.nih.gov/pmc/blobs/55a8/10432702/2478a20034c9/gr2.jpg
https://cdn.ncbi.nlm.nih.gov/pmc/blobs/55a8/10432702/4b3f99e6579b/gr3.jpg
https://cdn.ncbi.nlm.nih.gov/pmc/blobs/55a8/10432702/6875bd4b64f9/gr1.jpg
https://cdn.ncbi.nlm.nih.gov/pmc/blobs/55a8/10432702/2478a20034c9/gr2.jpg
https://cdn.ncbi.nlm.nih.gov/pmc/blobs/55a8/10432702/4b3f99e6579b/gr3.jpg

相似文献

1
Green investing in China's air cargo industry: Opportunities and challenges for sustainable transportation.中国航空货运业的绿色投资:可持续运输的机遇与挑战
Heliyon. 2023 Aug 8;9(8):e19013. doi: 10.1016/j.heliyon.2023.e19013. eCollection 2023 Aug.
2
The mediating role of ICTs in the relationship between international tourism and environmental degradation: fit as a fiddle.信息通信技术在国际旅游业与环境退化关系中的中介作用:十分健康。
Environ Sci Pollut Res Int. 2021 Dec;28(45):63769-63783. doi: 10.1007/s11356-020-10954-2. Epub 2020 Nov 12.
3
Uncertainty quantification of CO emissions from China's civil aviation industry to 2050.到2050年中国民航业二氧化碳排放的不确定性量化
J Environ Manage. 2023 Jun 15;336:117624. doi: 10.1016/j.jenvman.2023.117624. Epub 2023 Mar 1.
4
Evaluating pollution damage function through carbon pricing, renewable energy demand, and cleaner technologies in China: blue versus green economy.通过碳定价、可再生能源需求和清洁技术评估中国的污染损害函数:蓝色经济与绿色经济。
Environ Sci Pollut Res Int. 2022 Apr;29(17):24878-24893. doi: 10.1007/s11356-021-17623-y. Epub 2021 Nov 26.
5
What drives the decoupling progress of China's civil aviation transportation growth from carbon emissions? A new decomposition analysis.中国民航运输增长与碳排放脱钩的驱动因素是什么?一项新的分解分析。
PLoS One. 2023 Mar 6;18(3):e0282025. doi: 10.1371/journal.pone.0282025. eCollection 2023.
6
Carbonization and atmospheric pollution in China: The asymmetric impacts of forests, livestock production, and economic progress on CO emissions.中国的碳化和大气污染:森林、畜牧业生产和经济发展对 CO 排放的非对称影响。
J Environ Manage. 2021 Sep 15;294:113059. doi: 10.1016/j.jenvman.2021.113059. Epub 2021 Jun 16.
7
How China is fostering sustainable growth: the interplay of green investment and production-based emission.中国如何促进可持续增长:绿色投资与生产排放的相互作用。
Environ Sci Pollut Res Int. 2020 Nov;27(31):39607-39618. doi: 10.1007/s11356-020-09933-4. Epub 2020 Jul 10.
8
Clean energy investment and financial development as determinants of environment and sustainable economic growth: evidence from China.清洁能源投资和金融发展对环境和可持续经济增长的决定作用:来自中国的证据。
Environ Sci Pollut Res Int. 2022 Mar;29(11):16006-16016. doi: 10.1007/s11356-021-16832-9. Epub 2021 Oct 12.
9
Relevance of oil price, military expenditure and exports to achieve the Saudi Arabian sustainable economic and environmental objectives: a non-linear ARDL approach.油价、军事支出和出口对实现沙特阿拉伯可持续经济和环境目标的相关性:一种非线性自回归分布滞后方法。
Environ Sci Pollut Res Int. 2023 Aug 18. doi: 10.1007/s11356-023-28979-8.
10
Oil Price Uncertainty, Transport Fuel Demand and Public Health.油价不确定性、运输燃料需求与公共健康。
Int J Environ Res Public Health. 2017 Mar 1;14(3):245. doi: 10.3390/ijerph14030245.

本文引用的文献

1
Impact of COVID-19 on environmental regulation and economic growth in China: A Way forward for green economic recovery.新冠疫情对中国环境监管与经济增长的影响:绿色经济复苏的前行之路
Econ Anal Policy. 2023 Mar;77:1001-1015. doi: 10.1016/j.eap.2022.12.015. Epub 2022 Dec 24.
2
Policy mixes to achieve sustainable mobility after the COVID-19 crisis.新冠疫情危机后实现可持续交通出行的政策组合。
Renew Sustain Energy Rev. 2021 Jun;143:110919. doi: 10.1016/j.rser.2021.110919. Epub 2021 Mar 10.
3
Bioenergy consumption, carbon emissions, and agricultural bioeconomic growth: A systematic approach to carbon neutrality in China.
生物能源消耗、碳排放与农业生物经济增长:中国实现碳中和的系统方法。
J Environ Manage. 2021 Oct 15;296:113242. doi: 10.1016/j.jenvman.2021.113242. Epub 2021 Jul 14.
4
Nexus between green logistic operations and triple bottom line: evidence from infrastructure-led Chinese outward foreign direct investment in Belt and Road host countries.绿色物流运营与三重底线之间的联系:来自中国在“一带一路”沿线东道国以基础设施为导向的对外直接投资的证据。
Environ Sci Pollut Res Int. 2021 Oct;28(37):51022-51045. doi: 10.1007/s11356-021-12470-3. Epub 2021 May 11.
5
Does improvement in the environmental sustainability rating help to reduce the COVID-19 cases? Controlling financial development, price level and carbon damages.环境可持续性评级的提高有助于降低 COVID-19 病例吗?控制金融发展、物价水平和碳损害。
Environ Sci Pollut Res Int. 2021 Sep;28(36):49820-49832. doi: 10.1007/s11356-021-13873-y. Epub 2021 May 3.
6
A comparative analysis of the relationship between innovation and transport sector carbon emissions in developed and developing Mediterranean countries.发达和发展中地中海国家创新与交通部门碳排放关系的比较分析。
Environ Sci Pollut Res Int. 2021 Sep;28(33):45693-45713. doi: 10.1007/s11356-021-13390-y. Epub 2021 Apr 20.
7
Pakistan management of green transportation and environmental pollution: a nonlinear ARDL analysis.巴基斯坦绿色交通与环境污染管理:非线性 ARDL 分析。
Environ Sci Pollut Res Int. 2021 Jun;28(23):29046-29055. doi: 10.1007/s11356-021-12654-x. Epub 2021 Feb 6.
8
The step towards environmental mitigation in Pakistan: do transportation services, urbanization, and financial development matter?迈向巴基斯坦环境缓解的一步:交通服务、城市化和金融发展是否重要?
Environ Sci Pollut Res Int. 2021 May;28(17):21486-21498. doi: 10.1007/s11356-020-11839-0. Epub 2021 Jan 7.
9
Relationship between tourism number and air quality by carbon footprint measurement: a case study of Jiuzhaigou Scenic Area.基于碳足迹测量的旅游人数与空气质量关系:以九寨沟景区为例
Environ Sci Pollut Res Int. 2021 Apr;28(16):20894-20902. doi: 10.1007/s11356-020-12068-1. Epub 2021 Jan 6.
10
Urban and transport planning pathways to carbon neutral, liveable and healthy cities; A review of the current evidence.城市和交通规划通向碳中和、宜居和健康城市的途径;对现有证据的回顾。
Environ Int. 2020 Jul;140:105661. doi: 10.1016/j.envint.2020.105661. Epub 2020 Apr 16.