• 文献检索
  • 文档翻译
  • 深度研究
  • 学术资讯
  • Suppr Zotero 插件Zotero 插件
  • 邀请有礼
  • 套餐&价格
  • 历史记录
应用&插件
Suppr Zotero 插件Zotero 插件浏览器插件Mac 客户端Windows 客户端微信小程序
定价
高级版会员购买积分包购买API积分包
服务
文献检索文档翻译深度研究API 文档MCP 服务
关于我们
关于 Suppr公司介绍联系我们用户协议隐私条款
关注我们

Suppr 超能文献

核心技术专利:CN118964589B侵权必究
粤ICP备2023148730 号-1Suppr @ 2026

文献检索

告别复杂PubMed语法,用中文像聊天一样搜索,搜遍4000万医学文献。AI智能推荐,让科研检索更轻松。

立即免费搜索

文件翻译

保留排版,准确专业,支持PDF/Word/PPT等文件格式,支持 12+语言互译。

免费翻译文档

深度研究

AI帮你快速写综述,25分钟生成高质量综述,智能提取关键信息,辅助科研写作。

立即免费体验

淋巴细胞放射敏感性及其对放射治疗影响的综述。

A review on lymphocyte radiosensitivity and its impact on radiotherapy.

作者信息

Paganetti Harald

机构信息

Department of Radiation Oncology, Massachusetts General Hospital, Boston MA, United States.

Harvard Medical School, Boston MA, United States.

出版信息

Front Oncol. 2023 Aug 3;13:1201500. doi: 10.3389/fonc.2023.1201500. eCollection 2023.

DOI:10.3389/fonc.2023.1201500
PMID:37601664
原文链接:https://pmc.ncbi.nlm.nih.gov/articles/PMC10435323/
Abstract

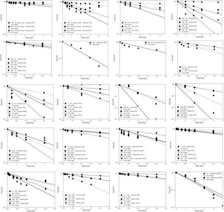
It is well known that radiation therapy causes lymphopenia in patients and that this is correlated with a negative outcome. The mechanism is not well understood because radiation can have both immunostimulatory and immunosuppressive effects. How tumor dose conformation, dose fractionation, and selective lymph node irradiation in radiation therapy does affect lymphopenia and immune response is an active area of research. In addition, understanding the impact of radiation on the immune system is important for the design and interpretation of clinical trials combining radiation with immune checkpoint inhibitors, both in terms of radiation dose and treatment schedules. Although only a few percent of the total lymphocyte population are circulating, it has been speculated that their increased radiosensitivity may contribute to, or even be the primary cause of, lymphopenia. This review summarizes published data on lymphocyte radiosensitivity based on human, small animal, and studies. The data indicate differences in radiosensitivity among lymphocyte subpopulations that affect their relative contribution and thus the dynamics of the immune response. In general, B cells appear to be more radiosensitive than T cells and NK cells appear to be the most resistant. However, the reported dose-response data suggest that in the context of lymphopenia in patients, aspects other than cell death must also be considered. Not only absolute lymphocyte counts, but also lymphocyte diversity and activity are likely to be affected by radiation. Taken together, the reviewed data suggest that it is unlikely that radiation-induced cell death in lymphocytes is the sole factor in radiation-induced lymphopenia.

摘要

众所周知,放射治疗会导致患者淋巴细胞减少,且这与不良预后相关。其机制尚未完全明确,因为辐射可同时具有免疫刺激和免疫抑制作用。放射治疗中的肿瘤剂量适形、剂量分割以及选择性淋巴结照射如何影响淋巴细胞减少和免疫反应是一个活跃的研究领域。此外,了解辐射对免疫系统的影响对于设计和解释将放射治疗与免疫检查点抑制剂相结合的临床试验至关重要,这在辐射剂量和治疗方案方面均是如此。尽管循环中的淋巴细胞仅占淋巴细胞总数的百分之几,但据推测,它们增加的放射敏感性可能导致淋巴细胞减少,甚至可能是其主要原因。本综述总结了基于人类、小动物以及其他研究发表的关于淋巴细胞放射敏感性的数据。这些数据表明淋巴细胞亚群之间的放射敏感性存在差异,这会影响它们的相对贡献,进而影响免疫反应的动态变化。一般来说,B细胞似乎比T细胞对辐射更敏感,而NK细胞似乎最具抗性。然而,报告的剂量反应数据表明,在患者淋巴细胞减少的情况下,除了细胞死亡之外,还必须考虑其他因素。辐射不仅可能影响绝对淋巴细胞计数,还可能影响淋巴细胞的多样性和活性。综上所述,综述数据表明,淋巴细胞中辐射诱导的细胞死亡不太可能是辐射诱导淋巴细胞减少的唯一因素。

https://cdn.ncbi.nlm.nih.gov/pmc/blobs/2ed6/10435323/a77cdb517cbb/fonc-13-1201500-g002.jpg
https://cdn.ncbi.nlm.nih.gov/pmc/blobs/2ed6/10435323/e2dedf8ca418/fonc-13-1201500-g001.jpg
https://cdn.ncbi.nlm.nih.gov/pmc/blobs/2ed6/10435323/a77cdb517cbb/fonc-13-1201500-g002.jpg
https://cdn.ncbi.nlm.nih.gov/pmc/blobs/2ed6/10435323/e2dedf8ca418/fonc-13-1201500-g001.jpg
https://cdn.ncbi.nlm.nih.gov/pmc/blobs/2ed6/10435323/a77cdb517cbb/fonc-13-1201500-g002.jpg

相似文献

1
A review on lymphocyte radiosensitivity and its impact on radiotherapy.淋巴细胞放射敏感性及其对放射治疗影响的综述。
Front Oncol. 2023 Aug 3;13:1201500. doi: 10.3389/fonc.2023.1201500. eCollection 2023.
2
The Black Book of Psychotropic Dosing and Monitoring.《精神药物剂量与监测黑皮书》
Psychopharmacol Bull. 2024 Jul 8;54(3):8-59.
3
Home treatment for mental health problems: a systematic review.心理健康问题的居家治疗:一项系统综述
Health Technol Assess. 2001;5(15):1-139. doi: 10.3310/hta5150.
4
A rapid and systematic review of the clinical effectiveness and cost-effectiveness of paclitaxel, docetaxel, gemcitabine and vinorelbine in non-small-cell lung cancer.对紫杉醇、多西他赛、吉西他滨和长春瑞滨在非小细胞肺癌中的临床疗效和成本效益进行的快速系统评价。
Health Technol Assess. 2001;5(32):1-195. doi: 10.3310/hta5320.
5
Comparison of Two Modern Survival Prediction Tools, SORG-MLA and METSSS, in Patients With Symptomatic Long-bone Metastases Who Underwent Local Treatment With Surgery Followed by Radiotherapy and With Radiotherapy Alone.两种现代生存预测工具 SORG-MLA 和 METSSS 在接受手术联合放疗和单纯放疗治疗有症状长骨转移患者中的比较。
Clin Orthop Relat Res. 2024 Dec 1;482(12):2193-2208. doi: 10.1097/CORR.0000000000003185. Epub 2024 Jul 23.
6
Systemic treatments for metastatic cutaneous melanoma.转移性皮肤黑色素瘤的全身治疗
Cochrane Database Syst Rev. 2018 Feb 6;2(2):CD011123. doi: 10.1002/14651858.CD011123.pub2.
7
Short-Term Memory Impairment短期记忆障碍
8
Management of urinary stones by experts in stone disease (ESD 2025).结石病专家对尿路结石的管理(2025年结石病专家共识)
Arch Ital Urol Androl. 2025 Jun 30;97(2):14085. doi: 10.4081/aiua.2025.14085.
9
Sexual Harassment and Prevention Training性骚扰与预防培训
10
The effectiveness and cost-effectiveness of carmustine implants and temozolomide for the treatment of newly diagnosed high-grade glioma: a systematic review and economic evaluation.卡莫司汀植入剂与替莫唑胺治疗新诊断的高级别胶质瘤的有效性和成本效益:一项系统评价与经济学评估
Health Technol Assess. 2007 Nov;11(45):iii-iv, ix-221. doi: 10.3310/hta11450.

引用本文的文献

1
Ex Vivo Irradiation Protocol in Murine Lymph Node Cells.小鼠淋巴结细胞的体外照射方案。
Bull Exp Biol Med. 2025 Aug 28. doi: 10.1007/s10517-025-06465-0.
2
The Role of Predictive Biomarkers in Modern Prostate Cancer Radiotherapy: A Literature Review on Personalised Treatment Strategies and the Prediction of Adverse Effects.预测性生物标志物在现代前列腺癌放疗中的作用:关于个性化治疗策略及不良反应预测的文献综述
Life (Basel). 2025 Jul 2;15(7):1062. doi: 10.3390/life15071062.
3
The oncolytic adenovirus Ad-TD-nsIL12 in primary or progressive pediatric IDH wild-type diffuse intrinsic pontine glioma results of two phase I clinical trials.

本文引用的文献

1
Intra-brain vascular models within the ICRP mesh-type adult reference phantoms for applications to internal dosimetry.国际放射防护委员会(ICRP)网格型成人参考体模内用于内照射剂量学应用的脑内血管模型。
Phys Med Biol. 2023 May 2;68(10). doi: 10.1088/1361-6560/acc926.
2
Beyond lymphopenia, unraveling radiation-induced leucocyte subpopulation kinetics and mechanisms through modeling approaches.超越淋巴细胞减少症,通过建模方法揭示辐射诱导的白细胞亚群动力学和机制。
J Exp Clin Cancer Res. 2023 Feb 22;42(1):50. doi: 10.1186/s13046-023-02621-4.
3
Predicting Severity of Radiation Induced Lymphopenia in Individual Proton Therapy Patients for Varying Dose Rate and Fractionation Using Dynamic 4-Dimensional Blood Flow Simulations.
溶瘤腺病毒Ad-TD-nsIL12治疗原发性或进展性儿童异柠檬酸脱氢酶野生型弥漫性脑桥胶质瘤的两项I期临床试验结果
Nat Commun. 2025 Jul 28;16(1):6934. doi: 10.1038/s41467-025-62260-5.
4
Programmed cell death regulates hematopoietic cell homeostasis under radiation conditions.程序性细胞死亡在辐射条件下调节造血细胞稳态。
Stem Cell Res Ther. 2025 Jul 21;16(1):390. doi: 10.1186/s13287-025-04502-3.
5
Fingolimod synergizes with anti-PD-1 radioimmunotherapy in an experimental multiple sclerosis model through enhanced lymph node retention and CD8 T cell depletion.在实验性多发性硬化症模型中,芬戈莫德通过增强淋巴结滞留和CD8 T细胞耗竭,与抗PD-1放射免疫疗法协同作用。
Front Med (Lausanne). 2025 Jul 3;12:1593933. doi: 10.3389/fmed.2025.1593933. eCollection 2025.
6
Changes in lymphocyte subsets pre- and post-particle radiotherapy in head and neck bone and soft tissue tumors.头颈部骨与软组织肿瘤粒子放疗前后淋巴细胞亚群的变化
Front Oncol. 2025 Jun 16;15:1543718. doi: 10.3389/fonc.2025.1543718. eCollection 2025.
7
Prognostic Significance of Circulating Immune Subset Counts in Nasopharyngeal Carcinoma.鼻咽癌患者循环免疫亚群计数的预后意义
Immunotargets Ther. 2025 Jun 17;14:577-587. doi: 10.2147/ITT.S516853. eCollection 2025.
8
Predictive significance of the hemoglobin, albumin, lymphocyte, and platelet score for radiation pneumonitis in lung cancer patients: a respective comparative study with dosimetric parameters.血红蛋白、白蛋白、淋巴细胞及血小板评分对肺癌患者放射性肺炎的预测意义:与剂量学参数的各自比较研究
Front Oncol. 2025 Jun 4;15:1605094. doi: 10.3389/fonc.2025.1605094. eCollection 2025.
9
From survival of irradiated mice to modern molecular insights: a seventy-year journey in radiobiology at the institute of biophysics, Czech academy of sciences.从受辐照小鼠的存活到现代分子见解:捷克科学院生物物理研究所放射生物学的七十年历程
Eur Biophys J. 2025 Jun 13. doi: 10.1007/s00249-025-01765-9.
10
Filamin A editing in myeloid cells reduces intestinal inflammation and protects from colitis.髓系细胞中细丝蛋白A的编辑可减轻肠道炎症并预防结肠炎。
J Exp Med. 2025 Sep 1;222(9). doi: 10.1084/jem.20240109. Epub 2025 Jun 5.
利用动态 4D 血流模拟预测不同剂量率和分割质子治疗患者的放射性淋巴细胞减少症严重程度。
Int J Radiat Oncol Biol Phys. 2023 Aug 1;116(5):1226-1233. doi: 10.1016/j.ijrobp.2023.01.054. Epub 2023 Feb 4.
4
Effects of Flash Radiotherapy on Blood Lymphocytes in Humans and Small Laboratory Animals.闪光放疗对人类和小型实验动物血液淋巴细胞的影响。
Radiat Res. 2023 Mar 1;199(3):240-251. doi: 10.1667/RADE-22-00093.1.
5
The relationship between the radiation dose of pelvic-bone marrow and lymphocytic toxicity in concurrent chemoradiotherapy for cervical cancer.宫颈癌同期放化疗中骨盆骨髓剂量与淋巴细胞毒性的关系。
Radiat Oncol. 2023 Jan 20;18(1):12. doi: 10.1186/s13014-023-02205-8.
6
Lymphocyte sparing normal tissue effects in the clinic (LymphoTEC): A systematic review of dose constraint considerations to mitigate radiation-related lymphopenia in the era of immunotherapy.临床中的淋巴细胞保护正常组织效应(LymphoTEC):免疫治疗时代减轻放疗相关淋巴细胞减少症的剂量约束考虑因素的系统评价。
Radiother Oncol. 2022 Dec;177:81-94. doi: 10.1016/j.radonc.2022.10.019. Epub 2022 Nov 2.
7
Shortened Radiation Time Promotes Recovery From Radiation-induced Lymphopenia in Early-Stage Non-small Cell Lung Cancer Patients Treated With Stereotactic Body Radiation Therapy.短疗程放疗促进早期非小细胞肺癌患者立体定向体部放疗后辐射诱导性淋巴细胞减少的恢复。
Technol Cancer Res Treat. 2022 Jan-Dec;21:15330338221112287. doi: 10.1177/15330338221112287.
8
Modulation of Peripheral Immune Cell Subpopulations After RapidArc/Moderate Hypofractionated Radiotherapy for Localized Prostate Cancer: Findings and Comparison With 3D Conformal/Conventional Fractionation Treatment.局部前列腺癌快速弧形/中等程度超分割放疗后外周免疫细胞亚群的调节:研究结果及与三维适形/常规分割治疗的比较
Front Oncol. 2022 Jun 1;12:829812. doi: 10.3389/fonc.2022.829812. eCollection 2022.
9
Transcriptional Dynamics of DNA Damage Responsive Genes in Circulating Leukocytes during Radiotherapy.放疗期间循环白细胞中DNA损伤反应基因的转录动力学
Cancers (Basel). 2022 May 26;14(11):2649. doi: 10.3390/cancers14112649.
10
Radiation-induced lymphopenia does not impact treatment efficacy in a mouse tumor model.辐射诱导的淋巴细胞减少症不会影响小鼠肿瘤模型中的治疗效果。
Neoplasia. 2022 Sep;31:100812. doi: 10.1016/j.neo.2022.100812. Epub 2022 Jun 3.