• 文献检索
  • 文档翻译
  • 深度研究
  • 学术资讯
  • Suppr Zotero 插件Zotero 插件
  • 邀请有礼
  • 套餐&价格
  • 历史记录
应用&插件
Suppr Zotero 插件Zotero 插件浏览器插件Mac 客户端Windows 客户端微信小程序
定价
高级版会员购买积分包购买API积分包
服务
文献检索文档翻译深度研究API 文档MCP 服务
关于我们
关于 Suppr公司介绍联系我们用户协议隐私条款
关注我们

Suppr 超能文献

核心技术专利:CN118964589B侵权必究
粤ICP备2023148730 号-1Suppr @ 2026

文献检索

告别复杂PubMed语法,用中文像聊天一样搜索,搜遍4000万医学文献。AI智能推荐,让科研检索更轻松。

立即免费搜索

文件翻译

保留排版,准确专业,支持PDF/Word/PPT等文件格式,支持 12+语言互译。

免费翻译文档

深度研究

AI帮你快速写综述,25分钟生成高质量综述,智能提取关键信息,辅助科研写作。

立即免费体验

比较新鲜和干燥叶片水提物的组成、自由基清除能力和抑菌活性。

Comparison of Composition, Free-Radical-Scavenging Capacity, and Antibiosis of Fresh and Dry Leave Aqueous Extract from .

机构信息

Hainan Key Laboratory of Biology of Tropical Flowers and Trees Resources, Forestry Institute, Hainan University, Haikou 570228, China.

出版信息

Molecules. 2023 Aug 8;28(16):5935. doi: 10.3390/molecules28165935.

DOI:10.3390/molecules28165935
PMID:37630187
原文链接:https://pmc.ncbi.nlm.nih.gov/articles/PMC10457956/
Abstract

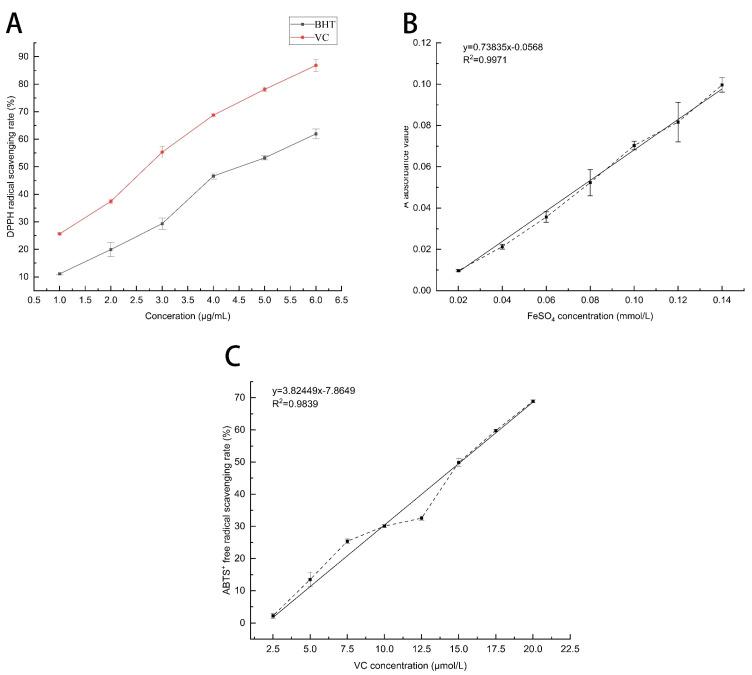
Numerous plants of medicinal value grow on Hainan Island (China). Given the lack of knowledge on the phytochemical and pharmacological properties of Chun and Y. F. Wu (), the application of natural antioxidants and antimicrobials in the food industry has attracted increasing interest. This study aimed to compare the chemical composition, free-radical-scavenging capacity, and antibiosis of aqueous extracts of the fresh and dried leaves of The aqueous extract of the leaves of was obtained using steam distillation, and its chemical components were separated and identified via gas chromatography-mass spectrometry (GC-MS). The free-radical-scavenging capacity and antibiosis were determined. Further, 28 and 20 compounds were isolated from the fresh leaf aqueous extract of (MSFLAE) and dried leaf aqueous extract of (MSDLAE), respectively. The free-radical-scavenging capacity of MSFLAE and MSDLAE was determined by the 2,2-diphenyl-1 picrylhydrazyl (DPPH) method, which was 43.43% and 38.74%, respectively. The scavenging capacity of MSFLAE and MSDLAE determined by the 2,2'-azino-bis (3-ethylbenzothiazoline-6-sulfonate (ABTS)) method was 46.90% and 25.99%, respectively. The iron ion reduction capacity of MSFLAE and MSDLAE was determined by the ferric-reducing antioxidant power (FRAP) method as 94.7 and 62.9 μmol Fe⁺/L, respectively. This indicated that the two leaf aqueous extracts had a certain free-radical-scavenging capacity, and the capacity of MSFLAE was higher than that of MSDLAE. The antibiosis of the two leaf aqueous extracts on the three foodborne pathogenic bacteria was low, but the antimicrobial effects on Gram-positive bacteria were better than those on Gram-negative bacteria. The antibiosis of MSFLAE on and was greater than that of MSDLAE. Finally, MSFLAE and MSDLAE both had certain free-radical-scavenging capacities and antibiosis, confirming that the use of this plant in the research and development of natural antioxidants and antibacterial agents was reasonable. Plant aqueous extracts are an essential source of related phytochemistry and have immense pharmacological potential.

摘要

海南岛(中国)生长着大量具有药用价值的植物。由于缺乏对 Chun 和 Y. F. Wu()植物化学成分和药理性质的了解,因此,天然抗氧化剂和抗菌剂在食品工业中的应用引起了越来越多的关注。本研究旨在比较新鲜和干燥的 叶片的水提物的化学成分、自由基清除能力和抑菌作用。采用水蒸气蒸馏法提取叶片的水提物,通过气相色谱-质谱联用(GC-MS)对其化学成分进行分离和鉴定。测定了自由基清除能力和抑菌作用。此外,从新鲜叶水提物(MSFLAE)和干叶水提物(MSDLAE)中分别分离和鉴定了 28 种和 20 种化合物。通过 2,2-二苯基-1-苦基肼基(DPPH)法测定了 MSFLAE 和 MSDLAE 的自由基清除能力,分别为 43.43%和 38.74%。通过 2,2'-联氮-双(3-乙基苯并噻唑啉-6-磺酸)(ABTS)法测定了 MSFLAE 和 MSDLAE 的清除能力,分别为 46.90%和 25.99%。通过铁还原抗氧化能力(FRAP)法测定了 MSFLAE 和 MSDLAE 的铁离子还原能力分别为 94.7 和 62.9 μmol Fe⁺/L,表明两种叶水提物均具有一定的自由基清除能力,且 MSFLAE 的清除能力高于 MSDLAE。两种叶水提物对三种食源性致病菌的抑菌作用较弱,但对革兰氏阳性菌的抑菌效果优于革兰氏阴性菌。MSFLAE 对 和 的抑菌作用大于 MSDLAE。最后,MSFLAE 和 MSDLAE 均具有一定的自由基清除能力和抑菌作用,证实了该植物在天然抗氧化剂和抗菌剂的研究与开发中的合理性。植物水提物是相关植物化学物质的重要来源,具有巨大的药理学潜力。

https://cdn.ncbi.nlm.nih.gov/pmc/blobs/3ad2/10457956/bbd6506345d0/molecules-28-05935-g004.jpg
https://cdn.ncbi.nlm.nih.gov/pmc/blobs/3ad2/10457956/839aea5feac0/molecules-28-05935-g001.jpg
https://cdn.ncbi.nlm.nih.gov/pmc/blobs/3ad2/10457956/c9068a7a7318/molecules-28-05935-g002.jpg
https://cdn.ncbi.nlm.nih.gov/pmc/blobs/3ad2/10457956/0ec1e054ad33/molecules-28-05935-g003.jpg
https://cdn.ncbi.nlm.nih.gov/pmc/blobs/3ad2/10457956/bbd6506345d0/molecules-28-05935-g004.jpg
https://cdn.ncbi.nlm.nih.gov/pmc/blobs/3ad2/10457956/839aea5feac0/molecules-28-05935-g001.jpg
https://cdn.ncbi.nlm.nih.gov/pmc/blobs/3ad2/10457956/c9068a7a7318/molecules-28-05935-g002.jpg
https://cdn.ncbi.nlm.nih.gov/pmc/blobs/3ad2/10457956/0ec1e054ad33/molecules-28-05935-g003.jpg
https://cdn.ncbi.nlm.nih.gov/pmc/blobs/3ad2/10457956/bbd6506345d0/molecules-28-05935-g004.jpg

相似文献

1
Comparison of Composition, Free-Radical-Scavenging Capacity, and Antibiosis of Fresh and Dry Leave Aqueous Extract from .比较新鲜和干燥叶片水提物的组成、自由基清除能力和抑菌活性。
Molecules. 2023 Aug 8;28(16):5935. doi: 10.3390/molecules28165935.
2
Antioxidant, antibacterial activity, and phytochemical characterization of Melaleuca cajuputi extract.白千层提取物的抗氧化、抗菌活性及植物化学特征
BMC Complement Altern Med. 2015 Oct 24;15:385. doi: 10.1186/s12906-015-0914-y.
3
A Study of the Chemical Composition and Biological Activity of Dandy Heartwood: New Sources of Natural Antioxidants, Enzyme Inhibitors and Bacterial Inhibitors.丹蒂心材的化学成分和生物活性研究:天然抗氧化剂、酶抑制剂和抑菌剂的新来源。
Int J Mol Sci. 2023 Apr 28;24(9):7972. doi: 10.3390/ijms24097972.
4
Evaluation of Abelmoschus moschatus extracts for antioxidant, free radical scavenging, antimicrobial and antiproliferative activities using in vitro assays.采用体外试验评价黄蜀葵提取物的抗氧化、自由基清除、抗菌和抗增殖活性。
BMC Complement Altern Med. 2011 Aug 17;11:64. doi: 10.1186/1472-6882-11-64.
5
Phytochemical Composition and Antioxidant Activities of Hooper and Hypoxis Argentea Harv Ex Baker: Plants Used for the Management of Diabetes Mellitus in Eastern Cape, South Africa.霍珀草和银叶小金梅(哈维氏小金梅,贝克修订)的植物化学成分与抗氧化活性:南非东开普省用于治疗糖尿病的植物
Pharmacogn Mag. 2018 Apr-Jun;14(54):195-202. doi: 10.4103/pm.pm_157_17. Epub 2018 Apr 10.
6
Antioxidant and Antibacterial Activity of Roseroot (Rhodiola rosea L.) Dry Extracts.玫瑰根(Rhodia rosea L.)干提取物的抗氧化和抗菌活性。
Molecules. 2018 Jul 18;23(7):1767. doi: 10.3390/molecules23071767.
7
Bioactive Constituents, Radical Scavenging, and Antibacterial Properties of the Leaves and Stem Essential Oils from (L.) Kunth.(L.) 昆斯的叶和茎精油的生物活性成分、自由基清除及抗菌特性
Pharmacogn Mag. 2017 Oct;13(Suppl 3):S392-S400. doi: 10.4103/pm.pm_106_17. Epub 2017 Oct 11.
8
Phytochemical screening and evaluation of in vitro antioxidant and antimicrobial activities of the indigenous medicinal plant Albizia odoratissima.本土药用植物香合欢的植物化学筛选及其体外抗氧化和抗菌活性评估
Pharm Biol. 2017 Dec;55(1):1155-1161. doi: 10.1080/13880209.2017.1291694.
9
Phytochemical composition and in vitro antioxidant and antimicrobial activities of Bersama abyssinica F. seed extracts.Bersama abyssinica F. 种子提取物的植物化学成分及体外抗氧化和抗菌活性。
Sci Rep. 2024 Mar 15;14(1):6345. doi: 10.1038/s41598-024-56659-1.
10
Antioxidant Activities and Polyphenol Contents of Seven Commercially Available Fruits.七种市售水果的抗氧化活性和多酚含量
Pharmacognosy Res. 2016 Oct-Dec;8(4):258-264. doi: 10.4103/0974-8490.188875.

本文引用的文献

1
A Study of the Chemical Composition and Biological Activity of Dandy Heartwood: New Sources of Natural Antioxidants, Enzyme Inhibitors and Bacterial Inhibitors.丹蒂心材的化学成分和生物活性研究:天然抗氧化剂、酶抑制剂和抑菌剂的新来源。
Int J Mol Sci. 2023 Apr 28;24(9):7972. doi: 10.3390/ijms24097972.
2
Volatile Profiling of Accessions by Gas Chromatography Mass Spectrometry Coupled with Chemometrics.采用气相色谱-质谱联用结合化学计量学方法对品系进行挥发性成分分析。
Molecules. 2022 Oct 27;27(21):7302. doi: 10.3390/molecules27217302.
3
Antioxidant and Antimicrobial Properties of (Roth) G. Don Hydrosol.
(Roth)G. Don水溶胶的抗氧化和抗菌特性
Antibiotics (Basel). 2022 Jul 28;11(8):1017. doi: 10.3390/antibiotics11081017.
4
Phytochemistry, Bioactivities and Traditional Uses of .植物化学、生物活性和. 的传统用途
Molecules. 2022 May 26;27(11):3450. doi: 10.3390/molecules27113450.
5
Antifungal Sesquiterpenoids from Leaf Essential Oil against Wood-Rotting Fungi.叶精油中的抗真菌倍半萜类化合物对腐朽真菌的防治作用。
Molecules. 2022 Mar 25;27(7):2136. doi: 10.3390/molecules27072136.
6
Not Only a Weed Plant-Biological Activities of Essential Oil and Hydrosol of (L.) Greuter.不仅仅是一种杂草植物——(L.)Greuter的精油和纯露的生物活性
Plants (Basel). 2021 Sep 4;10(9):1837. doi: 10.3390/plants10091837.
7
Biological Insights and NMR Metabolic Profiling of Different Extracts of Spermacoce verticillata (L.) G. Mey.不同提取方法下垂序蝎尾蕉(Spermacoce verticillata(L.)G. Mey.)的生物学见解和 NMR 代谢分析
Chem Biodivers. 2021 Oct;18(10):e2100371. doi: 10.1002/cbdv.202100371. Epub 2021 Sep 21.
8
Comparison of Chemical Composition and Bioactivities of Essential Oils from Fresh and Dry Rhizomes of (L.) Smith.鲜、干姜黄根茎精油的化学成分和生物活性比较。
Biomed Res Int. 2020 Feb 11;2020:9641284. doi: 10.1155/2020/9641284. eCollection 2020.
9
Quantification of the Antioxidant Activity of Plant Extracts: Analysis of Sensitivity and Hierarchization Based on the Method Used.植物提取物抗氧化活性的定量分析:基于所用方法的灵敏度分析和层次化分析
Antioxidants (Basel). 2020 Jan 15;9(1):76. doi: 10.3390/antiox9010076.
10
Relationship between volatile components, antimicrobial and antioxidant properties of the essential oil, hydrosol and extracts of Citrus aurantium L. flowers.甜橙花精油、水提物及提取物的挥发性成分、抗菌和抗氧化性能之间的关系。
J Infect Public Health. 2020 Jan;13(1):58-67. doi: 10.1016/j.jiph.2019.06.017. Epub 2019 Jul 8.