• 文献检索
  • 文档翻译
  • 深度研究
  • 学术资讯
  • Suppr Zotero 插件Zotero 插件
  • 邀请有礼
  • 套餐&价格
  • 历史记录
应用&插件
Suppr Zotero 插件Zotero 插件浏览器插件Mac 客户端Windows 客户端微信小程序
定价
高级版会员购买积分包购买API积分包
服务
文献检索文档翻译深度研究API 文档MCP 服务
关于我们
关于 Suppr公司介绍联系我们用户协议隐私条款
关注我们

Suppr 超能文献

核心技术专利:CN118964589B侵权必究
粤ICP备2023148730 号-1Suppr @ 2026

文献检索

告别复杂PubMed语法,用中文像聊天一样搜索,搜遍4000万医学文献。AI智能推荐,让科研检索更轻松。

立即免费搜索

文件翻译

保留排版,准确专业,支持PDF/Word/PPT等文件格式,支持 12+语言互译。

免费翻译文档

深度研究

AI帮你快速写综述,25分钟生成高质量综述,智能提取关键信息,辅助科研写作。

立即免费体验

用于在初级保健中检测40岁及以上患者中度或重度阻塞性睡眠呼吸暂停的柏林问卷的有效性和可靠性。

Validity and reliability of the Berlin questionnaire for the detection of moderate or severe obstructive sleep apnea in patients aged 40 years or older detected from primary care.

作者信息

Navarrete-Martínez Esther, Muñoz-Gómez Rafaela, Serrano-Merino Jesús, Perula-de Torres Luis Angel, Vaquero-Abellán Manuel, Silva-Gil Fátima, Roldán-Villalobos Ana, Martín-Rioboó Enrique, Ruiz-Moruno Javier, Romero-Rodríguez Esperanza, González-Lama Jesús, Montes-Redondo Gertrudis

机构信息

Marchena Health Center, Osuna Sanitary Area, Seville, Spain.

Maimonides Institute for Biomedical Research of Córdoba (IMIBIC)/Reina Sofía Hospital/University of Córdoba, Córdoba, Spain.

出版信息

Front Med (Lausanne). 2023 Aug 14;10:1229972. doi: 10.3389/fmed.2023.1229972. eCollection 2023.

DOI:10.3389/fmed.2023.1229972
PMID:37644989
原文链接:https://pmc.ncbi.nlm.nih.gov/articles/PMC10461081/
Abstract

BACKGROUND

The obstructive sleep apnea syndrome (OSA) is a highly prevalent condition. In Spain and other countries, only 5%-9% of patients with OSA have been diagnosed and treated. The lack of accessibility to diagnosis is considered the main cause of this situation through easy-to-use screening instruments, it is necessary to check their validity and reliability in the context where they are to be used.

OBJECTIVE

To validate the Spanish translation of the Berlin questionnaire for screening for moderate or severe OSA in patients aged 40 years or more detected in primary care.

METHODS

A descriptive observational study, with a first qualitative phase of transcultural adaptation to Spanish using the translation-back-translation method. Setting: primary care level of the Spanish National Health System. A total of 255 patients recruited from 7 healthcare centers completed the study. The Berlin questionnaire was administered to the recruited patients, and subsequently, a respiratory polygraphy was performed to confirm the diagnosis of OSA. The concurrent criterion validity of the questionnaire and its reliability in terms of internal consistency and reproducibility (intra-observer agreement) were analyzed.

RESULTS

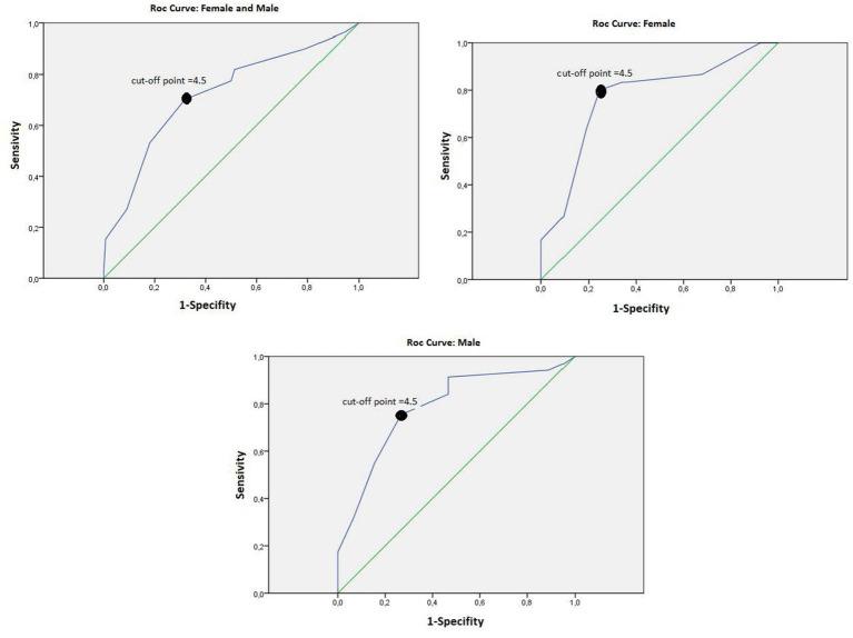
The patients' mean age was 54.76 years (SD: 6.57; 95% CI: 53.53-54.99), and 54.12% were men (95% CI: 47.96-60.27). We found that 61.57% (95% CI: 55.57-67.57) presented OSA (apnea-hypopnea index-AHI >5), and 45.5% (95% CI: 17.05-57.92) presented moderate or severe (AHI >15) OSA. The Berlin questionnaire, with a cut-off point of 4.5, showed a sensitivity of 76.77% (95% CI: 67.94-85.59), a specificity of 74.49% (95% CI: 65.35-83.63), a positive predictive value of 75.25% (95% CI: 66.34-84.16), a negative predictive value of 76.04% (95% CI: 66.98-85.10), and an area under the curve of 0.786 (95% CI: 0.721-0.851). Cronbach's alpha coefficient was 0.730 (95% CI: 0.668-0.784), and the Kappa index was 0.739 (95% CI, 0.384-1.000).

CONCLUSION

The Spanish adaptation of the Berlin questionnaire has good validity and reliability as a test for the diagnostic screening of moderate or severe OSA in patients aged 40 years or older. The findings of our study confirm that primary care physicians should use such screening tools to predict OSA.

摘要

背景

阻塞性睡眠呼吸暂停综合征(OSA)是一种高度流行的疾病。在西班牙和其他国家,只有5%-9%的OSA患者得到了诊断和治疗。诊断途径难以获取被认为是造成这种情况的主要原因,通过易于使用的筛查工具来检查其在使用环境中的有效性和可靠性是很有必要的。

目的

验证用于在初级保健中筛查40岁及以上患者中度或重度OSA的柏林问卷的西班牙语翻译版本。

方法

一项描述性观察性研究,首先采用翻译-回译法对西班牙语进行跨文化适应性的定性阶段。研究地点:西班牙国家卫生系统的初级保健层面。从7个医疗中心招募的255名患者完成了该研究。对招募的患者进行柏林问卷测试,随后进行呼吸多导睡眠监测以确诊OSA。分析了问卷的并行标准效度及其在内部一致性和可重复性(观察者间一致性)方面的可靠性。

结果

患者的平均年龄为54.76岁(标准差:6.57;95%置信区间:53.53-54.99),54.12%为男性(95%置信区间:47.96-60.27)。我们发现61.57%(95%置信区间:55.57-67.57)的患者患有OSA(呼吸暂停低通气指数-AHI>5),45.5%(95%置信区间:17.05-57.92)的患者患有中度或重度(AHI>15)OSA。截断值为4.5的柏林问卷显示,敏感性为76.77%(95%置信区间:67.94-85.59),特异性为74.49%(95%置信区间:65.35-83.63),阳性预测值为75.25%(95%置信区间:66.34-84.16),阴性预测值为76.04%(95%置信区间:66.98-85.10),曲线下面积为0.786(95%置信区间:0.721-0.851)。克朗巴哈α系数为0.730(95%置信区间:0.668-0.784),卡帕指数为0.739(95%置信区间:0.384-1.000)。

结论

柏林问卷的西班牙语改编版本作为40岁及以上患者中度或重度OSA诊断筛查测试具有良好的效度和信度。我们的研究结果证实,初级保健医生应使用此类筛查工具来预测OSA。

https://cdn.ncbi.nlm.nih.gov/pmc/blobs/0c22/10461081/11e1110b3d61/fmed-10-1229972-g001.jpg
https://cdn.ncbi.nlm.nih.gov/pmc/blobs/0c22/10461081/11e1110b3d61/fmed-10-1229972-g001.jpg
https://cdn.ncbi.nlm.nih.gov/pmc/blobs/0c22/10461081/11e1110b3d61/fmed-10-1229972-g001.jpg

相似文献

1
Validity and reliability of the Berlin questionnaire for the detection of moderate or severe obstructive sleep apnea in patients aged 40 years or older detected from primary care.用于在初级保健中检测40岁及以上患者中度或重度阻塞性睡眠呼吸暂停的柏林问卷的有效性和可靠性。
Front Med (Lausanne). 2023 Aug 14;10:1229972. doi: 10.3389/fmed.2023.1229972. eCollection 2023.
2
The usefulness of the Spanish version of the STOP-Bang questionnaire for screening for moderate or severe sleep apnea syndrome in primary care.西班牙语版 STOP-Bang 问卷在初级保健中筛查中重度睡眠呼吸暂停综合征的效用。
Front Public Health. 2022 Sep 9;10:975114. doi: 10.3389/fpubh.2022.975114. eCollection 2022.
3
Screening commercial drivers for obstructive sleep apnea: translation and validation of Serbian version of Berlin Questionnaire.筛查商业驾驶员的阻塞性睡眠呼吸暂停:柏林问卷塞尔维亚语版本的翻译与验证
Qual Life Res. 2016 Feb;25(2):343-349. doi: 10.1007/s11136-015-1087-3. Epub 2015 Aug 1.
4
Validation of the Malay version of Berlin questionaire to identify Malaysian patients for obstructive sleep apnea.验证马来语版柏林问卷以识别马来西亚阻塞性睡眠呼吸暂停患者。
Malays Fam Physician. 2013 Apr 30;8(1):5-11. eCollection 2013.
5
Examining the diagnostic validity of the Berlin Questionnaire in a low-income Black American sample.在低收入的美国黑人样本中检验柏林问卷的诊断有效性。
J Clin Sleep Med. 2021 Oct 1;17(10):1987-1994. doi: 10.5664/jcsm.9388.
6
Validity and reliability of the Thai version of the pediatric obstructive sleep apnea screening tool.泰国版儿科阻塞性睡眠呼吸暂停筛查工具的有效性和可靠性。
Pediatr Pulmonol. 2021 Sep;56(9):2979-2986. doi: 10.1002/ppul.25534. Epub 2021 Jun 23.
7
Using the Berlin Questionnaire to Predict Obstructive Sleep Apnea in the General Population.使用柏林问卷预测普通人群中的阻塞性睡眠呼吸暂停。
J Clin Sleep Med. 2017 Mar 15;13(3):427-432. doi: 10.5664/jcsm.6496.
8
Development of Arabic version of Berlin questionnaire to identify obstructive sleep apnea at risk patients.柏林问卷阿拉伯文版的开发,用于识别有阻塞性睡眠呼吸暂停风险的患者。
Ann Thorac Med. 2011 Oct;6(4):212-6. doi: 10.4103/1817-1737.84775.
9
[Accuracy of Berlin questionnaire with different body mass index cutoff values in the screening of patients with obstructive sleep apnea].[不同体重指数临界值的柏林问卷在阻塞性睡眠呼吸暂停患者筛查中的准确性]
Zhonghua Yi Xue Za Zhi. 2017 Mar 28;97(12):911-914. doi: 10.3760/cma.j.issn.0376-2491.2017.12.007.
10
Comparison of six assessment tools to screen for obstructive sleep apnea in patients with hypertension.比较六种评估工具以筛查高血压患者中的阻塞性睡眠呼吸暂停。
Clin Cardiol. 2021 Nov;44(11):1526-1534. doi: 10.1002/clc.23714. Epub 2021 Sep 14.

引用本文的文献

1
Insomnia remission and improvement of bodily pain in older adults: a randomized clinical trial.老年人失眠缓解与身体疼痛改善:一项随机临床试验。
Pain Rep. 2025 Feb 5;10(2):e1243. doi: 10.1097/PR9.0000000000001243. eCollection 2025 Apr.
2
Sleep Apnea Risk, Subjective Cognitive Decline, and Cognitive Performance: Findings from the Boston Latino Aging Study.睡眠呼吸暂停风险、主观认知衰退与认知表现:来自波士顿拉丁裔衰老研究的结果
Dement Geriatr Cogn Disord. 2024 Nov 25:1-7. doi: 10.1159/000542691.

本文引用的文献

1
The usefulness of the Spanish version of the STOP-Bang questionnaire for screening for moderate or severe sleep apnea syndrome in primary care.西班牙语版 STOP-Bang 问卷在初级保健中筛查中重度睡眠呼吸暂停综合征的效用。
Front Public Health. 2022 Sep 9;10:975114. doi: 10.3389/fpubh.2022.975114. eCollection 2022.
2
International Consensus Document on Obstructive Sleep Apnea.阻塞性睡眠呼吸暂停国际共识文件
Arch Bronconeumol. 2022 Jan;58(1):52-68. doi: 10.1016/j.arbres.2021.03.017. Epub 2021 Mar 24.
3
Estimation of the global prevalence and burden of obstructive sleep apnoea: a literature-based analysis.
基于文献的分析估计全球阻塞性睡眠呼吸暂停的患病率和负担。
Lancet Respir Med. 2019 Aug;7(8):687-698. doi: 10.1016/S2213-2600(19)30198-5. Epub 2019 Jul 9.
4
The Danish translation and validation of the Berlin Questionnaire for sleep apnoea.用于睡眠呼吸暂停的柏林问卷的丹麦语翻译与验证。
Dan Med J. 2018 Sep;65(9).
5
[Diagnostic accuracy of STOP-Bang questionnaire on moderate sleep apnoea in primary care].[初级保健中 STOP-Bang 问卷对中度睡眠呼吸暂停的诊断准确性]
Gac Sanit. 2019 Sep-Oct;33(5):421-426. doi: 10.1016/j.gaceta.2018.05.003. Epub 2018 Jul 20.
6
Screening Questionnaires for Obstructive Sleep Apnea: An Updated Systematic Review.阻塞性睡眠呼吸暂停的筛查问卷:一项更新的系统评价
Oman Med J. 2018 May;33(3):184-192. doi: 10.5001/omj.2018.36.
7
Impact of CPAP therapy on health-related quality of life in elderly patients with apnoea-hypopnea syndrome: a systematic review of randomised clinical trials.持续气道正压通气治疗对老年睡眠呼吸暂停低通气综合征患者健康相关生活质量的影响:一项随机临床试验的系统评价
Eur Respir J. 2017 Jan 18;49(1). doi: 10.1183/13993003.01644-2016. Print 2017 Jan.
8
Diagnostic accuracy of the Berlin questionnaire, STOP-BANG, STOP, and Epworth sleepiness scale in detecting obstructive sleep apnea: A bivariate meta-analysis.柏林问卷、STOP-BANG 问卷、STOP 问卷和 Epworth 嗜睡量表诊断阻塞性睡眠呼吸暂停的准确性:双变量荟萃分析。
Sleep Med Rev. 2017 Dec;36:57-70. doi: 10.1016/j.smrv.2016.10.004. Epub 2016 Nov 5.
9
Translation and validation of Berlin questionnaire in primary health care in Greece.柏林问卷在希腊基层医疗中的翻译与验证。
BMC Pulm Med. 2013 Jan 24;13:6. doi: 10.1186/1471-2466-13-6.
10
Diagnosis and treatment of sleep apnea-hypopnea syndrome. Spanish Society of Pulmonology and Thoracic Surgery.睡眠呼吸暂停低通气综合征的诊断与治疗。西班牙肺科与胸外科协会
Arch Bronconeumol. 2011 Mar;47(3):143-56. doi: 10.1016/j.arbres.2011.01.001.