• 文献检索
  • 文档翻译
  • 深度研究
  • 学术资讯
  • Suppr Zotero 插件Zotero 插件
  • 邀请有礼
  • 套餐&价格
  • 历史记录
应用&插件
Suppr Zotero 插件Zotero 插件浏览器插件Mac 客户端Windows 客户端微信小程序
定价
高级版会员购买积分包购买API积分包
服务
文献检索文档翻译深度研究API 文档MCP 服务
关于我们
关于 Suppr公司介绍联系我们用户协议隐私条款
关注我们

Suppr 超能文献

核心技术专利:CN118964589B侵权必究
粤ICP备2023148730 号-1Suppr @ 2026

文献检索

告别复杂PubMed语法,用中文像聊天一样搜索,搜遍4000万医学文献。AI智能推荐,让科研检索更轻松。

立即免费搜索

文件翻译

保留排版,准确专业,支持PDF/Word/PPT等文件格式,支持 12+语言互译。

免费翻译文档

深度研究

AI帮你快速写综述,25分钟生成高质量综述,智能提取关键信息,辅助科研写作。

立即免费体验

重新定义地下生物圈:从能量受限的海洋深层地下沉积物中分离出的真菌的特征描述。

Redefining the Subsurface Biosphere: Characterization of Fungi Isolated From Energy-Limited Marine Deep Subsurface Sediment.

作者信息

Kiel Reese Brandi, Sobol Morgan S, Bowles Marshall Wayne, Hinrichs Kai-Uwe

机构信息

Dauphin Island Sea Lab, Dauphin Island, AL, United States.

School of Marine and Environmental Sciences, University of South Alabama, Mobile, AL, United States.

出版信息

Front Fungal Biol. 2021 Sep 24;2:727543. doi: 10.3389/ffunb.2021.727543. eCollection 2021.

DOI:10.3389/ffunb.2021.727543
PMID:37744089
原文链接:https://pmc.ncbi.nlm.nih.gov/articles/PMC10512353/
Abstract

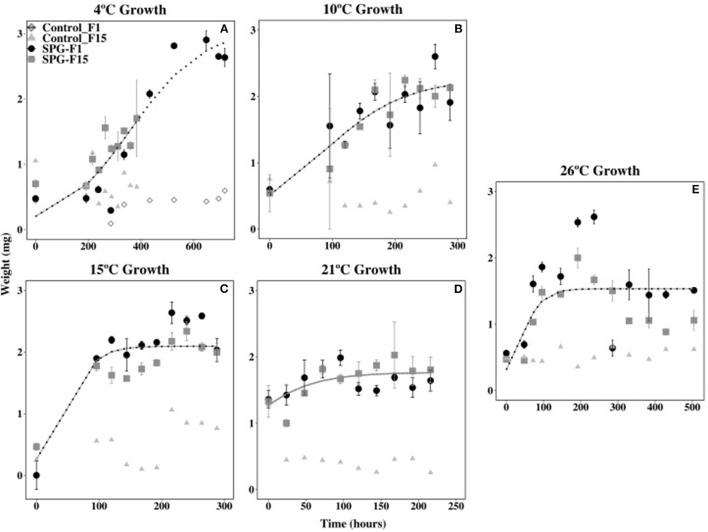
The characterization of metabolically active fungal isolates within the deep marine subsurface will alter current ecosystem models and living biomass estimates that are limited to bacterial and archaeal populations. Although marine fungi have been studied for over fifty years, a detailed description of fungal populations within the deep subsurface is lacking. Fungi possess metabolic pathways capable of utilizing previously considered non-bioavailable energy reserves. Therefore, metabolically active fungi would occupy a unique niche within subsurface ecosystems, with the potential to provide an organic carbon source for heterotrophic prokaryotic populations from the transformation of non-bioavailable energy into substrates, as well as from the fungal necromass itself. These organic carbon sources are not currently being considered in subsurface energy budgets. Sediments from South Pacific Gyre subsurface, one of the most energy-limited environments on Earth, were collected during the Integrated Ocean Drilling Program Expedition 329. Anoxic and oxic sediment slurry enrichments using fresh sediment were used to isolate multiple fungal strains in media types that varied in organic carbon substrates and concentration. Metabolically active and dormant fungal populations were also determined from nucleic acids extracted from cryopreserved South Pacific Gyre sediments. For further characterization of physical growth parameters, two isolates were chosen based on their representation of the whole South Pacific Gyre fungal community. Results from this study show that fungi have adapted to be metabolically active and key community members in South Pacific Gyre sediments and potentially within global biogeochemical cycles.

摘要

对深海次表层具有代谢活性的真菌分离株的特性描述,将改变目前仅限于细菌和古菌种群的生态系统模型和生物量估计。尽管对海洋真菌的研究已有五十多年,但仍缺乏对深海次表层真菌种群的详细描述。真菌拥有能够利用以前被认为不可生物利用的能量储备的代谢途径。因此,具有代谢活性的真菌将在次表层生态系统中占据独特的生态位,有可能通过将不可生物利用的能量转化为底物,以及通过真菌自身的坏死物质,为异养原核生物种群提供有机碳源。目前在次表层能量预算中尚未考虑这些有机碳源。在综合大洋钻探计划第329航次期间收集了来自南太平洋环流次表层的沉积物,南太平洋环流是地球上能量最有限的环境之一。使用新鲜沉积物进行缺氧和有氧沉积物浆液富集,以在有机碳底物和浓度不同的培养基类型中分离多种真菌菌株。还从冷冻保存的南太平洋环流沉积物中提取的核酸中确定了具有代谢活性和休眠的真菌种群。为了进一步表征物理生长参数,根据它们对整个南太平洋环流真菌群落的代表性选择了两个分离株。这项研究的结果表明,真菌已经适应在南太平洋环流沉积物中以及潜在地在全球生物地球化学循环中具有代谢活性并成为关键的群落成员。

https://cdn.ncbi.nlm.nih.gov/pmc/blobs/390c/10512353/d3f6b877437d/ffunb-02-727543-g0008.jpg
https://cdn.ncbi.nlm.nih.gov/pmc/blobs/390c/10512353/0923d808567a/ffunb-02-727543-g0001.jpg
https://cdn.ncbi.nlm.nih.gov/pmc/blobs/390c/10512353/ad15f7ce7698/ffunb-02-727543-g0002.jpg
https://cdn.ncbi.nlm.nih.gov/pmc/blobs/390c/10512353/2157e423a39b/ffunb-02-727543-g0003.jpg
https://cdn.ncbi.nlm.nih.gov/pmc/blobs/390c/10512353/67f7ac803fe9/ffunb-02-727543-g0004.jpg
https://cdn.ncbi.nlm.nih.gov/pmc/blobs/390c/10512353/ad2be0e31c32/ffunb-02-727543-g0005.jpg
https://cdn.ncbi.nlm.nih.gov/pmc/blobs/390c/10512353/b0743c0bb4d7/ffunb-02-727543-g0006.jpg
https://cdn.ncbi.nlm.nih.gov/pmc/blobs/390c/10512353/81cde47e5520/ffunb-02-727543-g0007.jpg
https://cdn.ncbi.nlm.nih.gov/pmc/blobs/390c/10512353/d3f6b877437d/ffunb-02-727543-g0008.jpg
https://cdn.ncbi.nlm.nih.gov/pmc/blobs/390c/10512353/0923d808567a/ffunb-02-727543-g0001.jpg
https://cdn.ncbi.nlm.nih.gov/pmc/blobs/390c/10512353/ad15f7ce7698/ffunb-02-727543-g0002.jpg
https://cdn.ncbi.nlm.nih.gov/pmc/blobs/390c/10512353/2157e423a39b/ffunb-02-727543-g0003.jpg
https://cdn.ncbi.nlm.nih.gov/pmc/blobs/390c/10512353/67f7ac803fe9/ffunb-02-727543-g0004.jpg
https://cdn.ncbi.nlm.nih.gov/pmc/blobs/390c/10512353/ad2be0e31c32/ffunb-02-727543-g0005.jpg
https://cdn.ncbi.nlm.nih.gov/pmc/blobs/390c/10512353/b0743c0bb4d7/ffunb-02-727543-g0006.jpg
https://cdn.ncbi.nlm.nih.gov/pmc/blobs/390c/10512353/81cde47e5520/ffunb-02-727543-g0007.jpg
https://cdn.ncbi.nlm.nih.gov/pmc/blobs/390c/10512353/d3f6b877437d/ffunb-02-727543-g0008.jpg

相似文献

1
Redefining the Subsurface Biosphere: Characterization of Fungi Isolated From Energy-Limited Marine Deep Subsurface Sediment.重新定义地下生物圈:从能量受限的海洋深层地下沉积物中分离出的真菌的特征描述。
Front Fungal Biol. 2021 Sep 24;2:727543. doi: 10.3389/ffunb.2021.727543. eCollection 2021.
2
Genome characterization of two novel deep-sea sediment fungi, Penicillium pacificagyrus sp. nov. and Penicillium pacificasedimenti sp. nov., from South Pacific Gyre subseafloor sediments, highlights survivability.从南太平洋 Gyre 海底沉积物中分离到的两株深海沉积物真菌,太平洋青霉(Penicillium pacificagyrus sp. nov.)和太平洋沉积物青霉(Penicillium pacificasedimenti sp. nov.)的基因组特征突出了其生存能力。
BMC Genomics. 2023 May 10;24(1):249. doi: 10.1186/s12864-023-09320-6.
3
Phylogenetic Characterization of Marine Benthic Archaea in Organic-Poor Sediments of the Eastern Equatorial Pacific Ocean (ODP Site 1225).东赤道太平洋贫有机沉积物(大洋钻探计划1225站)中海洋底栖古菌的系统发育特征
Microorganisms. 2016 Sep 6;4(3):32. doi: 10.3390/microorganisms4030032.
4
Comparative Single-Cell Genomics of Chloroflexi from the Okinawa Trough Deep-Subsurface Biosphere.冲绳海槽深部次表层生物圈中绿弯菌门的比较单细胞基因组学
Appl Environ Microbiol. 2016 May 2;82(10):3000-3008. doi: 10.1128/AEM.00624-16. Print 2016 May 15.
5
Microbial Diversity and Function in Shallow Subsurface Sediment and Oceanic Lithosphere of the Atlantis Massif.亚特兰蒂斯浅海海底沉积物和大洋岩石圈中的微生物多样性和功能。
mBio. 2021 Aug 31;12(4):e0049021. doi: 10.1128/mBio.00490-21. Epub 2021 Aug 3.
6
Draft Genome Sequences of spp. from Deeply Buried Oligotrophic Marine Sediments.来自深埋贫营养海洋沉积物中的[物种名称]的基因组序列草图 。 (注:原文中“ spp.”指代不明,推测是某种物种的复数形式,但具体物种未知,所以翻译时保留“[物种名称]”)
Microbiol Resour Announc. 2019 Feb 7;8(6). doi: 10.1128/MRA.01613-18. eCollection 2019 Feb.
7
Potential Mechanisms for Microbial Energy Acquisition in Oxic Deep-Sea Sediments.有氧深海沉积物中微生物获取能量的潜在机制
Appl Environ Microbiol. 2016 Jun 30;82(14):4232-43. doi: 10.1128/AEM.01023-16. Print 2016 Jul 15.
8
Single-cell analysis reveals an active and heterotrophic microbiome in the Guaymas Basin deep subsurface with significant inorganic carbon fixation by heterotrophs.单细胞分析揭示了古亚玛斯盆地深部地下活跃的异养微生物组,其中异养生物通过固定大量无机碳。
Appl Environ Microbiol. 2024 Jun 18;90(6):e0044624. doi: 10.1128/aem.00446-24. Epub 2024 May 6.
9
Marine subsurface eukaryotes: the fungal majority.海洋底层真核生物:真菌占多数。
Environ Microbiol. 2011 Jan;13(1):172-183. doi: 10.1111/j.1462-2920.2010.02318.x.
10
High virus-to-cell ratios indicate ongoing production of viruses in deep subsurface sediments.高病毒与细胞比值表明深层地下沉积物中病毒仍在不断产生。
ISME J. 2014 Jul;8(7):1503-9. doi: 10.1038/ismej.2013.245. Epub 2014 Jan 16.

引用本文的文献

1
Fungi promote cross-domain interactions even in deep anoxic mangrove sediments.即使在深层缺氧的红树林沉积物中,真菌也能促进跨域相互作用。
Environ Microbiome. 2025 Mar 25;20(1):34. doi: 10.1186/s40793-025-00686-6.
2
Genome characterization of two novel deep-sea sediment fungi, Penicillium pacificagyrus sp. nov. and Penicillium pacificasedimenti sp. nov., from South Pacific Gyre subseafloor sediments, highlights survivability.从南太平洋 Gyre 海底沉积物中分离到的两株深海沉积物真菌,太平洋青霉(Penicillium pacificagyrus sp. nov.)和太平洋沉积物青霉(Penicillium pacificasedimenti sp. nov.)的基因组特征突出了其生存能力。
BMC Genomics. 2023 May 10;24(1):249. doi: 10.1186/s12864-023-09320-6.
3

本文引用的文献

1
Draft Genome Sequences of spp. from Deeply Buried Oligotrophic Marine Sediments.来自深埋贫营养海洋沉积物中的[物种名称]的基因组序列草图 。 (注:原文中“ spp.”指代不明,推测是某种物种的复数形式,但具体物种未知,所以翻译时保留“[物种名称]”)
Microbiol Resour Announc. 2019 Feb 7;8(6). doi: 10.1128/MRA.01613-18. eCollection 2019 Feb.
2
Zeta potential changes of Saccharomyces cerevisiae during fermentative and respiratory cycles.酿酒酵母在发酵和呼吸循环过程中的 ζ 电位变化。
Colloids Surf B Biointerfaces. 2019 Feb 1;174:63-69. doi: 10.1016/j.colsurfb.2018.11.001. Epub 2018 Nov 3.
3
The biomass distribution on Earth.
Disentangling the Functional Role of Fungi in Cold Seep Sediment.
解析真菌在冷泉沉积物中的功能作用
Microbiol Spectr. 2023 Mar 13;11(2):e0197822. doi: 10.1128/spectrum.01978-22.
地球上的生物质分布。
Proc Natl Acad Sci U S A. 2018 Jun 19;115(25):6506-6511. doi: 10.1073/pnas.1711842115. Epub 2018 May 21.
4
Lignin degradation: microorganisms, enzymes involved, genomes analysis and evolution.木质素降解:微生物、相关酶、基因组分析与进化
FEMS Microbiol Rev. 2017 Nov 1;41(6):941-962. doi: 10.1093/femsre/fux049.
5
Anaerobic consortia of fungi and sulfate reducing bacteria in deep granite fractures.深部花岗岩裂隙中真菌与硫酸盐还原菌的厌氧共生体
Nat Commun. 2017 Jul 4;8(1):55. doi: 10.1038/s41467-017-00094-6.
6
Characterization of lignocellulolytic activities from fungi isolated from the deep-sea sponge Stelletta normani.从深海海绵诺曼氏星骨海绵中分离出的真菌的木质纤维素分解活性的表征
PLoS One. 2017 Mar 24;12(3):e0173750. doi: 10.1371/journal.pone.0173750. eCollection 2017.
7
Fungal Ecology: Principles and Mechanisms of Colonization and Competition by Saprotrophic Fungi.真菌生态学:腐生真菌的定殖和竞争的原理与机制。
Microbiol Spectr. 2016 Dec;4(6). doi: 10.1128/microbiolspec.FUNK-0019-2016.
8
Exploration of cultivable fungal communities in deep coal-bearing sediments from ∼1.3 to 2.5 km below the ocean floor.深海海底 1.3 至 2.5 公里深的含煤沉积物中可培养真菌群落的探索。
Environ Microbiol. 2017 Feb;19(2):803-818. doi: 10.1111/1462-2920.13653. Epub 2017 Jan 25.
9
GenBank.基因银行
Nucleic Acids Res. 2017 Jan 4;45(D1):D37-D42. doi: 10.1093/nar/gkw1070. Epub 2016 Nov 28.
10
The ITS-based phylogeny of fungi associated with tarballs.基于内转录间隔区(ITS)的与焦油球相关真菌的系统发育学
Mar Pollut Bull. 2016 Dec 15;113(1-2):277-281. doi: 10.1016/j.marpolbul.2016.09.052. Epub 2016 Sep 28.