Suppr超能文献

基于混沌反向学习灰狼优化算法-比例积分微分控制的四轮驱动电动汽车轮毂电机控制系统

In-Wheel Motor Control System for Four-Wheel Drive Electric Vehicle Based on CR-GWO-PID Control.

作者信息

Xu Xiaoguang, Wang Miao, Xiao Ping, Ding Jiale, Zhang Xiaoyu

机构信息

School of Electrical Engineering, Anhui Polytechnic University, Wuhu 241000, China.

School of Engineering, University of Bridgeport, Bridgeport, CT 06604, USA.

出版信息

Sensors (Basel). 2023 Oct 8;23(19):8311. doi: 10.3390/s23198311.

Abstract

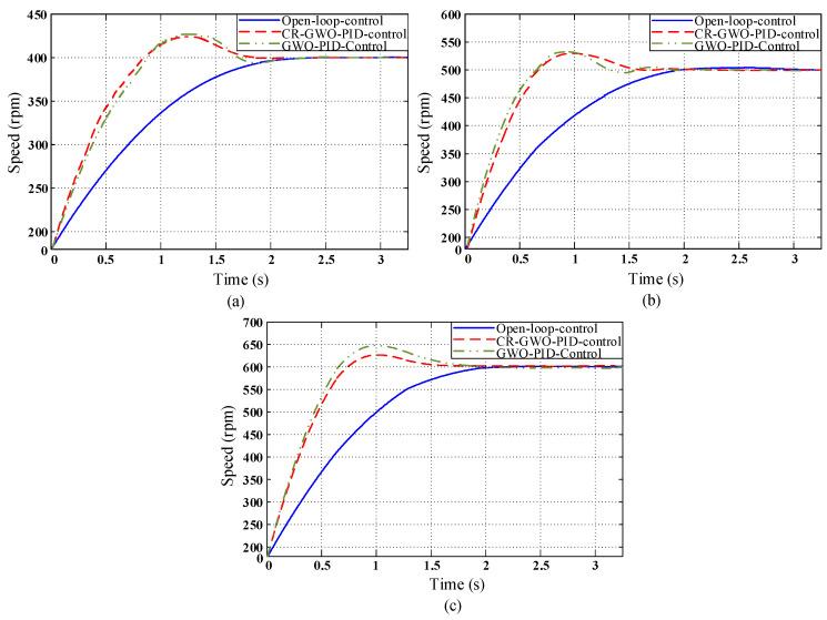
In order to improve the driving performance of four-wheel drive electric vehicles and realize precise control of their speed, a Chaotic Random Grey Wolf Optimization-based PID in-wheel motor control algorithm is proposed in this paper. Based on an analysis of the structural principles of electric vehicles, mathematical and simulation models for the whole vehicle are established. In order to improve the control performance of the hub motor, the traditional Grey Wolf Optimization algorithm is improved. In particular, an enhanced population initialization strategy integrating sine and cosine random distribution factors into a Kent chaotic map is proposed, the weight factor of the algorithm is improved using a sine-based non-linear decreasing strategy, and the population position is improved using the random proportional movement strategy. These strategies effectively enhance the global optimization ability, convergence speed, and optimization accuracy of the traditional Grey Wolf Optimization algorithm. On this basis, the CR-GWO-PID control algorithm is established. Then, the software and hardware of an in-wheel motor controller are designed and an in-wheel motor bench test system is built. The simulation and bench test results demonstrate the significantly improved response speed and control accuracy of the proposed in-wheel motor control system.

摘要

为了提高四轮驱动电动汽车的驱动性能并实现其速度的精确控制,本文提出了一种基于混沌随机灰狼优化的PID轮毂电机控制算法。在分析电动汽车结构原理的基础上,建立了整车的数学模型和仿真模型。为了提高轮毂电机的控制性能,对传统的灰狼优化算法进行了改进。具体而言,提出了一种将正弦和余弦随机分布因子融入肯特混沌映射的增强型种群初始化策略,采用基于正弦的非线性递减策略改进算法的权重因子,并采用随机比例移动策略改进种群位置。这些策略有效地提高了传统灰狼优化算法的全局优化能力、收敛速度和优化精度。在此基础上,建立了CR-GWO-PID控制算法。然后,设计了轮毂电机控制器的软硬件,并搭建了轮毂电机台架试验系统。仿真和台架试验结果表明,所提出的轮毂电机控制系统的响应速度和控制精度有显著提高。

https://cdn.ncbi.nlm.nih.gov/pmc/blobs/374a/10575220/4871b8c8b310/sensors-23-08311-g001.jpg

相似文献

1
In-Wheel Motor Control System for Four-Wheel Drive Electric Vehicle Based on CR-GWO-PID Control.
Sensors (Basel). 2023 Oct 8;23(19):8311. doi: 10.3390/s23198311.
3
Grey Wolf Optimization algorithm based on Cauchy-Gaussian mutation and improved search strategy.
Sci Rep. 2022 Nov 8;12(1):18961. doi: 10.1038/s41598-022-23713-9.
5
Improved Grey Wolf Optimization Algorithm and Application.
Sensors (Basel). 2022 May 17;22(10):3810. doi: 10.3390/s22103810.
9
A Novel Hybrid Algorithm Based on Grey Wolf Optimizer and Fireworks Algorithm.
Sensors (Basel). 2020 Apr 10;20(7):2147. doi: 10.3390/s20072147.
10
Highly Robust Adaptive Sliding Mode Trajectory Tracking Control of Autonomous Vehicles.
Sensors (Basel). 2023 Mar 25;23(7):3454. doi: 10.3390/s23073454.

本文引用的文献

1
Particle Swarm Optimization aided PID gait controller design for a humanoid robot.
ISA Trans. 2021 Aug;114:306-330. doi: 10.1016/j.isatra.2020.12.033. Epub 2020 Dec 19.

文献AI研究员

20分钟写一篇综述,助力文献阅读效率提升50倍。

立即体验

用中文搜PubMed

大模型驱动的PubMed中文搜索引擎

马上搜索

文档翻译

学术文献翻译模型,支持多种主流文档格式。

立即体验