Suppr超能文献

一种用于解决函数优化和工程设计问题的改进灰狼优化算法。

An improved gray wolf optimization algorithm solving to functional optimization and engineering design problems.

作者信息

Qiu Yihui, Yang Xiaoxiao, Chen Shuixuan

机构信息

School of Economics and Management, Xiamen University of Technology, Xiamen, 361024, China.

School of Mechanical and Automotive Engineering, Xiamen University of Technology, Xiamen, 361024, China.

出版信息

Sci Rep. 2024 Jun 20;14(1):14190. doi: 10.1038/s41598-024-64526-2.

Abstract

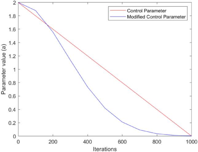
As a newly proposed optimization algorithm based on the social hierarchy and hunting behavior of gray wolves, grey wolf algorithm (GWO) has gradually become a popular method for solving the optimization problems in various engineering fields. In order to further improve the convergence speed, solution accuracy, and local minima escaping ability of the traditional GWO algorithm, this work proposes a multi-strategy fusion improved gray wolf optimization (IGWO) algorithm. First, the initial population is optimized using the lens imaging reverse learning algorithm for laying the foundation for global search. Second, a nonlinear control parameter convergence strategy based on cosine variation is proposed to coordinate the global exploration and local exploitation ability of the algorithm. Finally, inspired by the tunicate swarm algorithm (TSA) and the particle swarm algorithm (PSO), a nonlinear tuning strategy for the parameters, and a correction based on the individual historical optimal positions and the global optimal positions are added in the position update equations to speed up the convergence of the algorithm. The proposed algorithm is assessed using 23 benchmark test problems, 15 CEC2014 test problems, and 2 well-known constraint engineering problems. The results show that the proposed IGWO has a balanced E&P capability in coping with global optimization as analyzed by the Wilcoxon rank sum and Friedman tests, and has a clear advantage over other state-of-the-art algorithms.

摘要

作为一种基于灰狼社会等级和狩猎行为新提出的优化算法,灰狼算法(GWO)已逐渐成为解决各工程领域优化问题的常用方法。为进一步提高传统灰狼算法的收敛速度、求解精度和跳出局部极小值的能力,本文提出一种多策略融合改进灰狼优化(IGWO)算法。首先,采用透镜成像反向学习算法对初始种群进行优化,为全局搜索奠定基础。其次,提出一种基于余弦变化的非线性控制参数收敛策略,以协调算法的全局探索和局部开发能力。最后,受樽海鞘群算法(TSA)和粒子群算法(PSO)的启发,在位置更新方程中加入参数非线性调整策略以及基于个体历史最优位置和全局最优位置的修正,以加速算法收敛。使用23个基准测试问题、15个CEC2014测试问题和2个著名的约束工程问题对所提算法进行评估。结果表明,通过威尔科克森秩和检验和弗里德曼检验分析得出,所提IGWO在应对全局优化时具有平衡的勘探与开发能力,且相对于其他现有最优算法具有明显优势。

https://cdn.ncbi.nlm.nih.gov/pmc/blobs/daaf/11639730/39214123509c/41598_2024_64526_Fig1_HTML.jpg

文献AI研究员

20分钟写一篇综述,助力文献阅读效率提升50倍。

立即体验

用中文搜PubMed

大模型驱动的PubMed中文搜索引擎

马上搜索

文档翻译

学术文献翻译模型,支持多种主流文档格式。

立即体验