Suppr超能文献

2003 年至 2019 年期间,德国基于地区的癌症死亡率的社会经济不平等状况不断扩大。

Widening area-based socioeconomic inequalities in cancer mortality in Germany between 2003 and 2019.

机构信息

Division of Social Determinants of Health, Department of Epidemiology and Health Monitoring, Robert Koch Institute, Nordufer 20, 13302, Berlin, Germany.

German Cancer Research Center (DKFZ), Epidemiological Cancer Registry Baden-Württemberg, Heidelberg, Germany.

出版信息

Sci Rep. 2023 Oct 19;13(1):17833. doi: 10.1038/s41598-023-45254-5.

Abstract

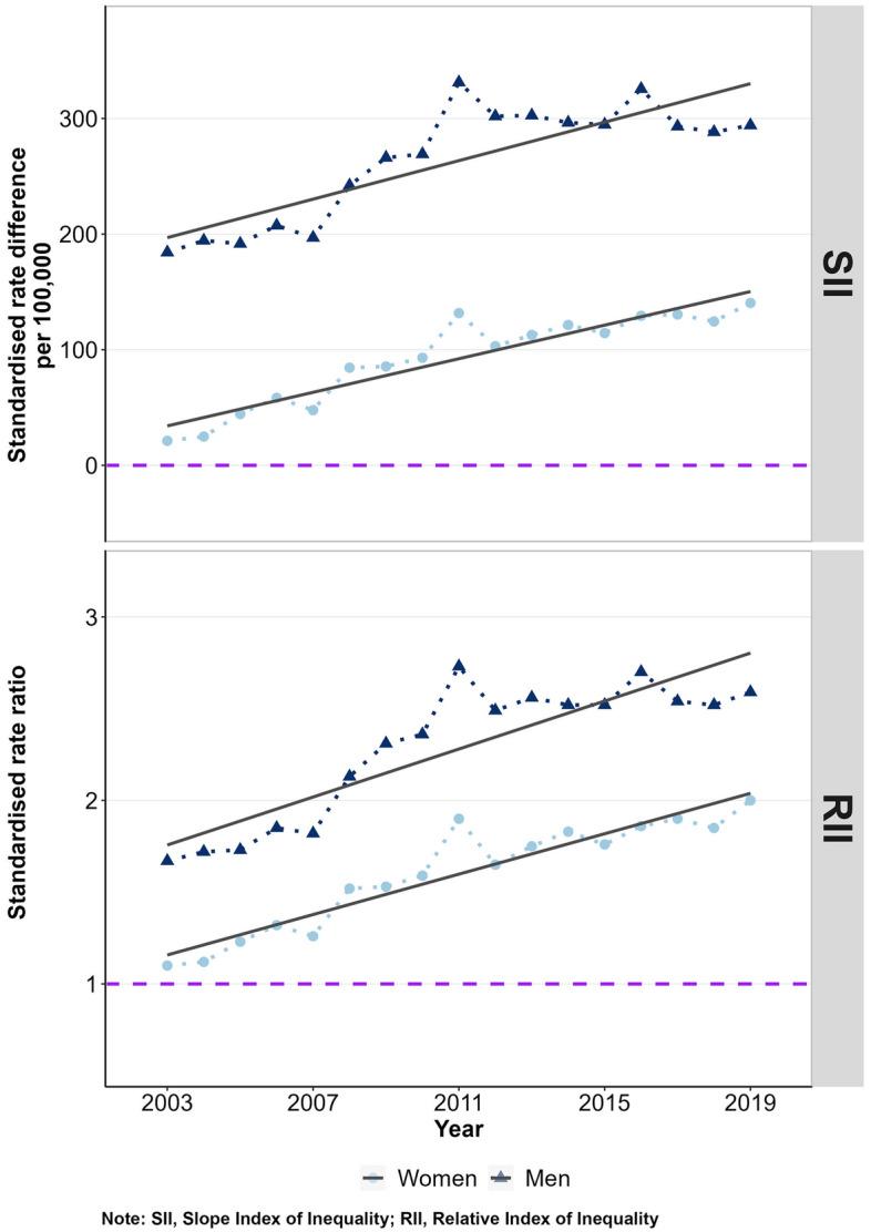
Cancer mortality has declined in recent decades, but-due to a lack of national individual-level data-it remains unclear whether this applies equally to all socioeconomic groups in Germany. Using an area-based approach, this study investigated socioeconomic inequalities in cancer mortality and their secular trends on a German nationwide scale for the first time. Official cause-of-death data from 2003 to 2019 were linked to the district-level German Index of Socioeconomic Deprivation. Age-standardised mortality rates for all cancers combined and the most common site-specific cancers were calculated according to the level of regional socioeconomic deprivation. To quantify the extent of area-based socioeconomic inequalities in cancer mortality, absolute (SII) and relative (RII) indices of inequality were estimated using multilevel Poisson models. On average, cancer mortality was 50% (women) and 80% (men) higher in Germany's most deprived than least deprived districts (absolute difference: 84 deaths per 100,000 in women and 185 deaths per 100,000 in men). As declines in cancer mortality were larger in less deprived districts, the socioeconomic gap in cancer mortality widened over time. This trend was observed for various common cancers. Exceptions were cancers of the lung in women and of the pancreas in both sexes, for which mortality rates increased over time, especially in highly deprived districts. Our study provides first evidence on increasing socioeconomic inequalities in cancer mortality on a nationwide scale for Germany. Area-based linkage allows to examine socioeconomic inequalities in cancer mortality across Germany and identify regions with high needs for cancer prevention and control.

摘要

近年来,癌症死亡率有所下降,但由于缺乏全国个人层面的数据,尚不清楚这是否同样适用于德国的所有社会经济群体。本研究采用基于区域的方法,首次在德国全国范围内调查了癌症死亡率的社会经济不平等及其长期趋势。2003 年至 2019 年的官方死因数据与区级德国社会经济剥夺指数相关联。根据区域社会经济剥夺程度,计算了所有癌症综合和最常见的特定部位癌症的年龄标准化死亡率。为了量化癌症死亡率的基于区域的社会经济不平等程度,使用多水平泊松模型估计了绝对(SII)和相对(RII)不平等指数。平均而言,德国最贫困地区的癌症死亡率比最富裕地区高出 50%(女性)和 80%(男性)(绝对差异:女性每 10 万人中有 84 人死亡,男性每 10 万人中有 185 人死亡)。由于癌症死亡率在较不贫困的地区下降幅度更大,因此癌症死亡率的社会经济差距随着时间的推移而扩大。这种趋势在各种常见癌症中都有观察到。例外是女性的肺癌和男女的胰腺癌,这些癌症的死亡率随着时间的推移而增加,尤其是在高度贫困的地区。本研究首次提供了德国全国范围内癌症死亡率社会经济不平等程度增加的证据。基于区域的关联允许在德国范围内检查癌症死亡率的社会经济不平等,并确定需要癌症预防和控制的高需求地区。

https://cdn.ncbi.nlm.nih.gov/pmc/blobs/bbd0/10587166/9aa1fefce751/41598_2023_45254_Fig1_HTML.jpg

文献检索

告别复杂PubMed语法,用中文像聊天一样搜索,搜遍4000万医学文献。AI智能推荐,让科研检索更轻松。

立即免费搜索

文件翻译

保留排版,准确专业,支持PDF/Word/PPT等文件格式,支持 12+语言互译。

免费翻译文档

深度研究

AI帮你快速写综述,25分钟生成高质量综述,智能提取关键信息,辅助科研写作。

立即免费体验