Suppr超能文献

海鞘酰胺 A-C:来自深海来源真菌 W7 的具有抗炎活性的氨基化呋咱酸衍生物及相关代谢产物。

Hepialiamides A-C: Aminated Fusaric Acid Derivatives and Related Metabolites with Anti-Inflammatory Activity from the Deep-Sea-Derived Fungus W7.

机构信息

Center for Molecular Metabolism, School of Environmental and Biological Engineering, Nanjing University of Science and Technology, 200 Xiaolingwei Street, Nanjing 210094, China.

Key Laboratory of Marine Genetic Resources, Third Institute of Oceanography, Ministry of Natural Resources, 184 Daxue Road, Xiamen 361005, China.

出版信息

Mar Drugs. 2023 Nov 16;21(11):596. doi: 10.3390/md21110596.

Abstract

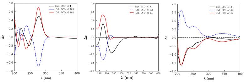
A systematic investigation combined with a Global Natural Products Social (GNPS) molecular networking approach, was conducted on the metabolites of the deep-sea-derived fungus W7, leading to the isolation of three new fusaric acid derivatives, hepialiamides A-C (-) and one novel hybrid polyketide hepialide (), together with 18 known miscellaneous compounds (-). The structures of the new compounds were elucidated through detailed spectroscopic analysis. as well as TD-DFT-based ECD calculation. All isolates were tested for anti-inflammatory activity in vitro. Under a concentration of 1 µM, compounds , , , , and showed potent inhibitory activity against nitric oxide production in lipopolysaccharide (LPS)-activated BV-2 microglia cells, with inhibition rates of 34.2%, 30.7%, 32.9%, 38.6%, and 58.2%, respectively. Of particularly note is compound which exhibited the most remarkable inhibitory activity, with an IC value of 426.2 nM.

摘要

采用系统研究与全球天然产物社会(GNPS)分子网络方法相结合的方法,对深海来源真菌 W7 的代谢产物进行了研究,分离得到了三个新的呋甾酸衍生物 hepialiamides A-C (-) 和一个新型杂合聚酮 hepialide ( ),以及 18 种已知的杂化合物 (-)。通过详细的光谱分析以及基于 TD-DFT 的 ECD 计算确定了新化合物的结构。所有分离物均在体外进行了抗炎活性测试。在 1 μM 浓度下,化合物 、 、 、 、 和 对脂多糖(LPS)激活的 BV-2 小胶质细胞中的一氧化氮产生具有很强的抑制活性,抑制率分别为 34.2%、30.7%、32.9%、38.6%和 58.2%。特别值得注意的是化合物 ,其抑制活性最显著,IC 值为 426.2 nM。

https://cdn.ncbi.nlm.nih.gov/pmc/blobs/0c56/10672582/bd2834d6ca5e/marinedrugs-21-00596-g001.jpg

文献AI研究员

20分钟写一篇综述,助力文献阅读效率提升50倍。

立即体验

用中文搜PubMed

大模型驱动的PubMed中文搜索引擎

马上搜索

文档翻译

学术文献翻译模型,支持多种主流文档格式。

立即体验