Suppr超能文献

精子线粒体含量及线粒体DNA与核DNA的比率与体重指数和进行性运动能力相关。

Sperm Mitochondrial Content and Mitochondrial DNA to Nuclear DNA Ratio Are Associated with Body Mass Index and Progressive Motility.

作者信息

Moustakli Efthalia, Zikopoulos Athanasios, Skentou Charikleia, Bouba Ioanna, Tsirka Georgia, Stavros Sofoklis, Vrachnis Dionysios, Vrachnis Nikolaos, Potiris Anastasios, Georgiou Ioannis, Zachariou Athanasios

机构信息

Laboratory of Medical Genetics, Faculty of Medicine, School of Health Sciences, University of Ioannina, 45110 Ioannina, Greece.

Obstetrics and Gynecology, Royal Cornwall Hospital, Truro TR1 3LJ, UK.

出版信息

Biomedicines. 2023 Nov 9;11(11):3014. doi: 10.3390/biomedicines11113014.

Abstract

BACKGROUND

Mitochondrial dysfunction is a risk factor in the pathogenesis of metabolic disorders. According to the energy requirements, oxidative phosphorylation and the electron transport chain work together to produce ATP in sufficient quantities in the mitochondria of eukaryotic cells. Abnormal mitochondrial activity causes fat accumulation and insulin resistance as cells require a balance between the production of ATP by oxidative phosphorylation (OXPHOS) in the mitochondria and the dissipation of the proton gradient to reduce damage from reactive oxygen species (ROS). This study aims to explore the relationship between the mitochondrial content of sperm and the ratio of mitochondrial DNA to nuclear DNA in relation to body mass index (BMI) and how it may affect the progressive motility of sperm cell. Understanding the relationships between these important variables will help us better understand the possible mechanisms that could connect sperm motility and quality to BMI, as well as further our understanding of male fertility and reproductive health.

METHODS

Data were collected from 100 men who underwent IVF/ICSI at the University Hospital of Ioannina's IVF Unit in the Obstetrics and Gynecology Department. The body mass index (BMI) of the males tested was used to classify them as normal weight; overweight; and obese. Evaluations included sperm morphology; sperm count; sperm motility; and participant history.

RESULTS

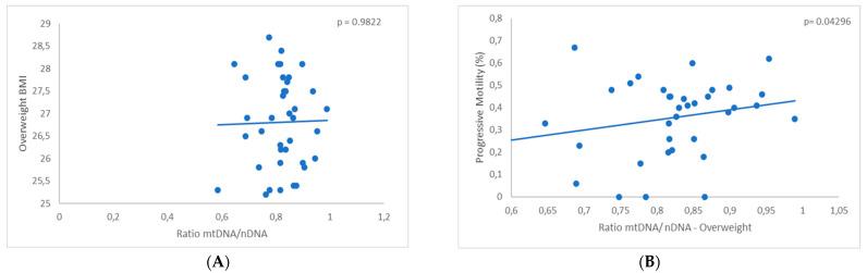
In the group of men with normal BMI, both BMI and progressive motility displayed a statistically significant association ( < 0.05) with mitochondrial DNA content, relative mitochondrial DNA copy number, and the mtDNA/nDNA ratio. Similar to this, there was a positive association between BMI and motility in the groups of men who were overweight and obese, as well as between the expression of mitochondrial DNA and the mtDNA/nDNA ratio, with statistically significant differences ( < 0.05). There was not a statistically significant difference observed in the association between the relative mtDNA copy number and BMI or motility for the overweight group. Finally, the relative mtDNA copy number in the obese group was only associated with motility ( = 0.034) and not with BMI ( = 0.24).

CONCLUSIONS

We found that in all three groups, BMI and progressive motility exhibited comparable relationships with mitochondrial DNA expression and the mtDNA/nDNA ratio. However, only in the normal group and in the obese group, the relative mitochondrial DNA copy number showed a positive association with BMI and progressive motility.

摘要

背景

线粒体功能障碍是代谢紊乱发病机制中的一个危险因素。根据能量需求,氧化磷酸化和电子传递链协同作用,在真核细胞的线粒体中产生足够数量的三磷酸腺苷(ATP)。线粒体活性异常会导致脂肪堆积和胰岛素抵抗,因为细胞需要在通过线粒体氧化磷酸化(OXPHOS)产生ATP与质子梯度消散之间取得平衡,以减少活性氧(ROS)造成的损伤。本研究旨在探讨精子线粒体含量与线粒体DNA与核DNA的比率与体重指数(BMI)之间的关系,以及它如何影响精子细胞的前向运动能力。了解这些重要变量之间的关系将有助于我们更好地理解可能将精子活力和质量与BMI联系起来的潜在机制,以及加深我们对男性生育能力和生殖健康的理解。

方法

收集了在约阿尼纳大学医院妇产科体外受精(IVF)/卵胞浆内单精子注射(ICSI)单元接受治疗的100名男性的数据。所测试男性的体重指数(BMI)用于将他们分类为正常体重、超重和肥胖。评估包括精子形态、精子计数、精子活力和参与者病史。

结果

在BMI正常的男性组中,BMI和前向运动能力与线粒体DNA含量、相对线粒体DNA拷贝数以及线粒体DNA与核DNA的比率均呈现出统计学上的显著关联(P<0.05)。与此类似,在超重和肥胖男性组中,BMI与运动能力之间以及线粒体DNA表达与线粒体DNA与核DNA的比率之间存在正相关,具有统计学显著差异(P<0.05)。在超重组中,相对线粒体DNA拷贝数与BMI或运动能力之间的关联未观察到统计学显著差异。最后,肥胖组中的相对线粒体DNA拷贝数仅与运动能力相关(P = 0.034),而与BMI无关(P = 0.24)。

结论

我们发现,在所有三组中,BMI和前向运动能力与线粒体DNA表达和线粒体DNA与核DNA的比率呈现出可比的关系。然而,只有在正常组和肥胖组中,相对线粒体DNA拷贝数与BMI和前向运动能力呈现出正相关。

https://cdn.ncbi.nlm.nih.gov/pmc/blobs/4ad4/10669626/d6bade3db2f7/biomedicines-11-03014-sch001.jpg

文献AI研究员

20分钟写一篇综述,助力文献阅读效率提升50倍。

立即体验

用中文搜PubMed

大模型驱动的PubMed中文搜索引擎

马上搜索

文档翻译

学术文献翻译模型,支持多种主流文档格式。

立即体验