Suppr超能文献

一项关于 Lymfit 的单臂概念验证研究:一种个性化的虚拟运动干预措施,旨在改善大流行期间淋巴瘤幸存者的健康结果。

A single-armed proof-of-concept study of Lymfit: A personalized, virtual exercise intervention to improve health outcomes in lymphoma survivors in the pandemic.

机构信息

Department of Kinesiology and Physical Education, Faculty of Medicine and Health Sciences, McGill University, Montreal, Quebec, Canada.

Ingram School of Nursing, Faculty of Medicine and Health Sciences, McGill University, Montreal, Quebec, Canada.

出版信息

PLoS One. 2024 Jan 5;19(1):e0275038. doi: 10.1371/journal.pone.0275038. eCollection 2024.

Abstract

BACKGROUND AND OBJECTIVE

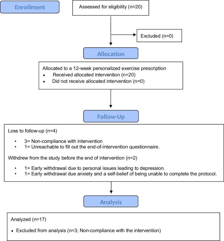
Treatments of lymphoma can lead to reduced physical functioning, cancer-related fatigue, depression, anxiety, and insomnia. These side effects can negatively impact the cancer survivor's quality of life. Mounting evidence indicates that physical activities are highly therapeutic in mitigating the short- and long-term side effects of cancer treatments. Yet, lymphoma survivors' participation in physical activities remains suboptimal, which has been further exacerbated by the deleterious effects of isolation during the COVID-19 pandemic. The Lymfit intervention aims to offer motivational support, expert guidance, and a personalized exercise prescription to optimize physical activities among lymphoma survivors. This proof-of-concept study explores implementation feasibility (retention, technical and safety), and the preliminary effects of Lymfit on various health outcomes.

METHOD

This was a single-armed trial with a pre-and post-test design. Twenty lymphoma survivors were recruited to participate in the 12-week Lymfit intervention. Wearable activity trackers (Fitbit) were given to participants as a motivational tool and for data collection purposes. Participants received a personalized exercise prescription designed by a kinesiologist. Physiologic metrics were collected by the Fitbit monitors and were stored in the Lymfit database. Self-reported questionnaires measuring health outcomes were collected at baseline and post-intervention.

RESULTS

The retention rate of this trial was 70%. Minimal technical issues and no adverse effects were reported. Lymfit led to significant improvements in sleep disturbances and the ability to participate in social activities and decreased fear of cancer recurrence. It also increased daily steps and decreased sedentary time in participants who did not meet the recommended physical activity guidelines.

SIGNIFICANCE

With access to resources and fitness centers being limited during the pandemic, the Lymfit intervention filled an immediate need to provide physical activity guidance to lymphoma survivors. Findings provide preliminary support that implementing the Lymfit intervention is feasible and demonstrated promising results.

摘要

背景与目的

淋巴瘤的治疗会导致身体机能下降、癌因性疲劳、抑郁、焦虑和失眠。这些副作用会对癌症幸存者的生活质量产生负面影响。越来越多的证据表明,身体活动在缓解癌症治疗的短期和长期副作用方面具有高度的治疗作用。然而,淋巴瘤幸存者参与身体活动的程度仍然不理想,而在 COVID-19 大流行期间隔离的不利影响进一步加剧了这种情况。Lymfit 干预旨在为淋巴瘤幸存者提供动机支持、专家指导和个性化的运动处方,以优化身体活动。这项概念验证研究探讨了 Lymfit 的实施可行性(保留率、技术和安全性),以及对各种健康结果的初步影响。

方法

这是一项单臂试验,采用前后测试设计。招募了 20 名淋巴瘤幸存者参加为期 12 周的 Lymfit 干预。为参与者提供可穿戴活动追踪器(Fitbit)作为激励工具和数据收集目的。参与者收到了由运动生理学家设计的个性化运动处方。生理指标由 Fitbit 监测器收集,并存储在 Lymfit 数据库中。在基线和干预后收集自我报告的问卷,以衡量健康结果。

结果

该试验的保留率为 70%。报告的技术问题很少,没有不良反应。Lymfit 显著改善了睡眠障碍以及参与社会活动和降低对癌症复发恐惧的能力。它还增加了每天的步数,减少了不符合推荐的身体活动指南的参与者的久坐时间。

意义

在大流行期间,资源和健身中心的获取受到限制,Lymfit 干预填补了为淋巴瘤幸存者提供身体活动指导的即时需求。研究结果初步支持实施 Lymfit 干预是可行的,并显示出有希望的结果。

https://cdn.ncbi.nlm.nih.gov/pmc/blobs/3dea/10769060/f790b709aa4f/pone.0275038.g001.jpg

文献检索

告别复杂PubMed语法,用中文像聊天一样搜索,搜遍4000万医学文献。AI智能推荐,让科研检索更轻松。

立即免费搜索

文件翻译

保留排版,准确专业,支持PDF/Word/PPT等文件格式,支持 12+语言互译。

免费翻译文档

深度研究

AI帮你快速写综述,25分钟生成高质量综述,智能提取关键信息,辅助科研写作。

立即免费体验