Suppr超能文献

建立一个垂直整合的基因组学学习健康系统:科罗拉多个性化医学中心的生物银行。

Building a vertically integrated genomic learning health system: The biobank at the Colorado Center for Personalized Medicine.

机构信息

Colorado Center for Personalized Medicine, University of Colorado Anschutz Medical Campus, Aurora, CO 80045, USA; Department of Biomedical Informatics, University of Colorado School of Medicine, University of Colorado Anschutz Medical Campus, Aurora, CO 80045, USA.

Colorado Center for Personalized Medicine, University of Colorado Anschutz Medical Campus, Aurora, CO 80045, USA.

出版信息

Am J Hum Genet. 2024 Jan 4;111(1):11-23. doi: 10.1016/j.ajhg.2023.12.001.

Abstract

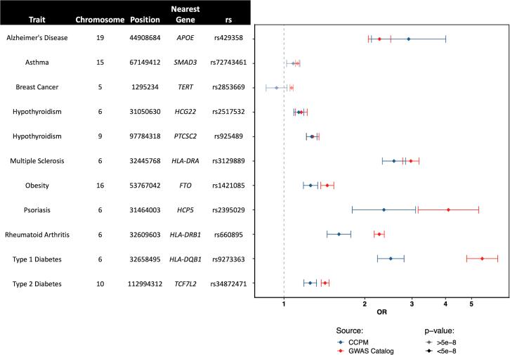
Precision medicine initiatives across the globe have led to a revolution of repositories linking large-scale genomic data with electronic health records, enabling genomic analyses across the entire phenome. Many of these initiatives focus solely on research insights, leading to limited direct benefit to patients. We describe the biobank at the Colorado Center for Personalized Medicine (CCPM Biobank) that was jointly developed by the University of Colorado Anschutz Medical Campus and UCHealth to serve as a unique, dual-purpose research and clinical resource accelerating personalized medicine. This living resource currently has more than 200,000 participants with ongoing recruitment. We highlight the clinical, laboratory, regulatory, and HIPAA-compliant informatics infrastructure along with our stakeholder engagement, consent, recontact, and participant engagement strategies. We characterize aspects of genetic and geographic diversity unique to the Rocky Mountain region, the primary catchment area for CCPM Biobank participants. We leverage linked health and demographic information of the CCPM Biobank participant population to demonstrate the utility of the CCPM Biobank to replicate complex trait associations in the first 33,674 genotyped individuals across multiple disease domains. Finally, we describe our current efforts toward return of clinical genetic test results, including high-impact pathogenic variants and pharmacogenetic information, and our broader goals as the CCPM Biobank continues to grow. Bringing clinical and research interests together fosters unique clinical and translational questions that can be addressed from the large EHR-linked CCPM Biobank resource within a HIPAA- and CLIA-certified environment.

摘要

全球范围内的精准医学计划导致了存储库的革命,这些存储库将大规模基因组数据与电子健康记录联系起来,使整个表型的基因组分析成为可能。许多此类计划仅专注于研究见解,导致患者直接受益有限。我们描述了科罗拉多个性化医学中心(CCPM 生物库)的生物库,该生物库由科罗拉多大学安舒茨医疗校区和 UCHealth 共同开发,用作独特的、双重用途的研究和临床资源,加速个性化医学的发展。这个活跃的资源目前拥有超过 200,000 名参与者,并在持续招募。我们强调了临床、实验室、监管和符合 HIPAA 的信息学基础设施,以及我们的利益相关者参与、同意、重新联系和参与者参与策略。我们描述了落基山地区独特的遗传和地理多样性方面,该地区是 CCPM 生物库参与者的主要集水区。我们利用 CCPM 生物库参与者人群的关联健康和人口统计信息,展示了 CCPM 生物库在复制多个疾病领域的前 33,674 名个体中复杂特征关联的效用。最后,我们描述了我们目前在返回临床遗传测试结果方面的努力,包括高影响的致病性变异和药物遗传学信息,以及随着 CCPM 生物库的不断发展,我们更广泛的目标。将临床和研究兴趣结合起来,可以从符合 HIPAA 和 CLIA 认证的环境中的大型 EHR 链接的 CCPM 生物库资源中解决独特的临床和转化问题。

https://cdn.ncbi.nlm.nih.gov/pmc/blobs/f006/10806731/8883947267cf/gr1.jpg

文献检索

告别复杂PubMed语法,用中文像聊天一样搜索,搜遍4000万医学文献。AI智能推荐,让科研检索更轻松。

立即免费搜索

文件翻译

保留排版,准确专业,支持PDF/Word/PPT等文件格式,支持 12+语言互译。

免费翻译文档

深度研究

AI帮你快速写综述,25分钟生成高质量综述,智能提取关键信息,辅助科研写作。

立即免费体验