Suppr超能文献

仔细观察脂质纳米颗粒的特征:分析用于包裹 RNA 货物大小梯度的基准制剂。

A careful look at lipid nanoparticle characterization: analysis of benchmark formulations for encapsulation of RNA cargo size gradient.

机构信息

NUBAD LLC, Greer, 29650, USA.

Department of Chemistry, Clemson University, Clemson, 29631, USA.

出版信息

Sci Rep. 2024 Jan 29;14(1):2403. doi: 10.1038/s41598-024-52685-1.

Abstract

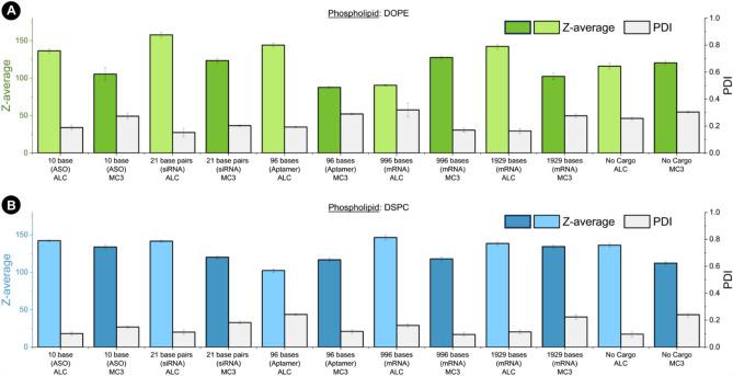
With the recent success of lipid nanoparticle (LNP) based SARS-CoV-2 mRNA vaccines, the potential for RNA therapeutics has gained widespread attention. LNPs are promising non-viral delivery vectors to protect and deliver delicate RNA therapeutics, which are ineffective and susceptible to degradation alone. While food and drug administration (FDA) approved formulations have shown significant promise, benchmark lipid formulations still require optimization and improvement. In addition, the translatability of these formulations for several different RNA cargo sizes has not been compared under the same conditions. Herein we analyze "gold standard" lipid formulations for encapsulation efficiency of various non-specific RNA cargo lengths representing antisense oligonucleotides (ASO), small interfering RNA (siRNA), RNA aptamers, and messenger RNA (mRNA), with lengths of 10 bases, 21 base pairs, 96 bases, 996 bases, and 1929 bases, respectively. We evaluate encapsulation efficiency as the percentage of input RNA encapsulated in the final LNP product (EE%), which shows discrepancy with the traditional calculation of encapsulation efficiency (EE%). EE% is shown to be < 50% for all formulations tested, when EE% is consistently > 85%. We also compared formulations for LNP size (Z-average) and polydispersity index (PDI). LNP size does not appear to be strongly influenced by cargo size, which is a counterintuitive finding. Thoughtful characterization of LNPs, in parallel with consideration of in vitro or in vivo behavior, will guide design and optimization for better understanding and improvement of future RNA therapeutics.

摘要

随着基于脂质纳米颗粒(LNP)的 SARS-CoV-2 mRNA 疫苗的最近成功,RNA 疗法的潜力引起了广泛关注。LNP 是有前途的非病毒递送载体,可以保护和递送至单独使用时无效且易降解的脆弱 RNA 疗法。虽然已获得食品和药物管理局(FDA)批准的制剂具有显著的应用前景,但基准脂质制剂仍需要优化和改进。此外,尚未在相同条件下比较这些制剂对几种不同 RNA 有效负载大小的可转化性。在此,我们分析了各种非特异性 RNA 有效负载长度的“金标准”脂质制剂的包封效率,这些 RNA 有效负载长度分别代表反义寡核苷酸(ASO)、小干扰 RNA(siRNA)、RNA 适体和信使 RNA(mRNA),长度分别为 10 个碱基、21 个碱基对、96 个碱基、996 个碱基和 1929 个碱基。我们评估了包封效率,即将输入的 RNA 封装在最终 LNP 产物中的百分比(EE%),这与传统的包封效率(EE%)计算方法不一致。当 EE%始终>85%时,所有测试制剂的 EE%均显示<50%。我们还比较了 LNP 大小(Z 均数)和多分散指数(PDI)的制剂。出乎意料的是,LNP 大小似乎不受有效负载大小的强烈影响。对 LNP 的深思熟虑的特征分析,以及对体外或体内行为的考虑,将指导设计和优化,以更好地理解和改进未来的 RNA 疗法。

https://cdn.ncbi.nlm.nih.gov/pmc/blobs/a22d/10824725/045ea120d824/41598_2024_52685_Fig1_HTML.jpg

文献AI研究员

20分钟写一篇综述,助力文献阅读效率提升50倍。

立即体验

用中文搜PubMed

大模型驱动的PubMed中文搜索引擎

马上搜索

文档翻译

学术文献翻译模型,支持多种主流文档格式。

立即体验