• 文献检索
  • 文档翻译
  • 深度研究
  • 学术资讯
  • Suppr Zotero 插件Zotero 插件
  • 邀请有礼
  • 套餐&价格
  • 历史记录
应用&插件
Suppr Zotero 插件Zotero 插件浏览器插件Mac 客户端Windows 客户端微信小程序
定价
高级版会员购买积分包购买API积分包
服务
文献检索文档翻译深度研究API 文档MCP 服务
关于我们
关于 Suppr公司介绍联系我们用户协议隐私条款
关注我们

Suppr 超能文献

核心技术专利:CN118964589B侵权必究
粤ICP备2023148730 号-1Suppr @ 2026

文献检索

告别复杂PubMed语法,用中文像聊天一样搜索,搜遍4000万医学文献。AI智能推荐,让科研检索更轻松。

立即免费搜索

文件翻译

保留排版,准确专业,支持PDF/Word/PPT等文件格式,支持 12+语言互译。

免费翻译文档

深度研究

AI帮你快速写综述,25分钟生成高质量综述,智能提取关键信息,辅助科研写作。

立即免费体验

一种基于自适应邻接矩阵的图卷积循环网络用于空气质量预测。

An adaptive adjacency matrix-based graph convolutional recurrent network for air quality prediction.

作者信息

Chen Quanchao, Ding Ruyan, Mo Xinyue, Li Huan, Xie Linxuan, Yang Jiayu

机构信息

School of Cyberspace Security/School of Cryptology, Hainan University, Haikou, China.

出版信息

Sci Rep. 2024 Feb 22;14(1):4408. doi: 10.1038/s41598-024-55060-2.

DOI:10.1038/s41598-024-55060-2
PMID:38388632
原文链接:https://pmc.ncbi.nlm.nih.gov/articles/PMC10883962/
Abstract

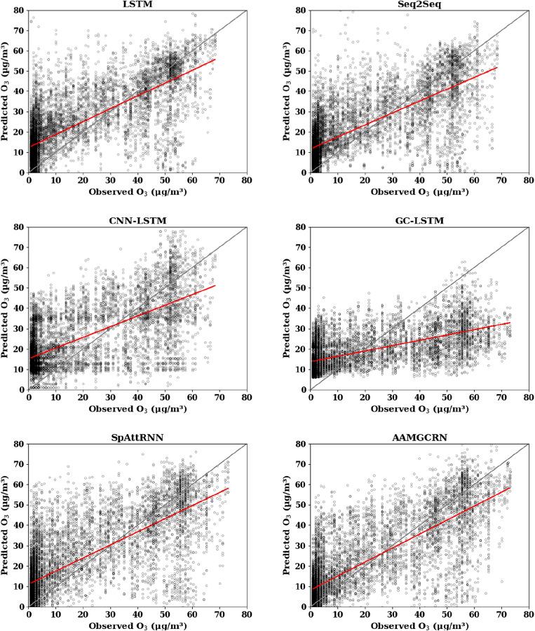
In recent years, air pollution has become increasingly serious and poses a great threat to human health. Timely and accurate air quality prediction is crucial for air pollution early warning and control. Although data-driven air quality prediction methods are promising, there are still challenges in studying spatial-temporal correlations of air pollutants to design effective predictors. To address this issue, a novel model called adaptive adjacency matrix-based graph convolutional recurrent network (AAMGCRN) is proposed in this study. The model inputs Point of Interest (POI) data and meteorological data into a fully connected neural network to learn the weights of the adjacency matrix thereby constructing the self-ringing adjacency matrix and passes the pollutant data with this matrix as input to the Graph Convolutional Network (GCN) unit. Then, the GCN unit is embedded into LSTM units to learn spatio-temporal dependencies. Furthermore, temporal features are extracted using Long Short-Term Memory network (LSTM). Finally, the outputs of these two components are merged and air quality predictions are generated through a hidden layer. To evaluate the performance of the model, we conducted multi-step predictions for the hourly concentration of PM, PM and O at Fangshan, Tiantan and Dongsi monitoring stations in Beijing. The experimental results show that our method achieves better predicted effects compared with other baseline models based on deep learning. In general, we designed a novel air quality prediction method and effectively addressed the shortcomings of existing studies in learning the spatio-temporal correlations of air pollutants. This method can provide more accurate air quality predictions and is expected to provide support for public health protection and government environmental decision-making.

摘要

近年来,空气污染日益严重,对人类健康构成了巨大威胁。及时、准确的空气质量预测对于空气污染预警和控制至关重要。尽管数据驱动的空气质量预测方法前景广阔,但在研究空气污染物的时空相关性以设计有效的预测器方面仍存在挑战。为了解决这个问题,本研究提出了一种名为基于自适应邻接矩阵的图卷积循环网络(AAMGCRN)的新型模型。该模型将兴趣点(POI)数据和气象数据输入到全连接神经网络中,以学习邻接矩阵的权重,从而构建自环邻接矩阵,并将以该矩阵为输入的污染物数据传递给图卷积网络(GCN)单元。然后,将GCN单元嵌入到长短期记忆(LSTM)单元中,以学习时空依赖性。此外,使用长短期记忆网络(LSTM)提取时间特征。最后,将这两个组件的输出进行合并,并通过隐藏层生成空气质量预测。为了评估模型的性能,我们对北京房山、天坛和东四监测站的PM、PM和O的每小时浓度进行了多步预测。实验结果表明,与其他基于深度学习的基线模型相比,我们的方法取得了更好的预测效果。总体而言,我们设计了一种新颖的空气质量预测方法,有效地解决了现有研究在学习空气污染物时空相关性方面的不足。该方法可以提供更准确的空气质量预测,有望为公共卫生保护和政府环境决策提供支持。

https://cdn.ncbi.nlm.nih.gov/pmc/blobs/63fa/10883962/09e20cc94f4c/41598_2024_55060_Fig8_HTML.jpg
https://cdn.ncbi.nlm.nih.gov/pmc/blobs/63fa/10883962/4abbdf3f4d60/41598_2024_55060_Fig1_HTML.jpg
https://cdn.ncbi.nlm.nih.gov/pmc/blobs/63fa/10883962/83fe3ba0cdac/41598_2024_55060_Fig2_HTML.jpg
https://cdn.ncbi.nlm.nih.gov/pmc/blobs/63fa/10883962/de3e740302df/41598_2024_55060_Fig3_HTML.jpg
https://cdn.ncbi.nlm.nih.gov/pmc/blobs/63fa/10883962/86176831196b/41598_2024_55060_Fig4_HTML.jpg
https://cdn.ncbi.nlm.nih.gov/pmc/blobs/63fa/10883962/0b1d638c2070/41598_2024_55060_Fig5_HTML.jpg
https://cdn.ncbi.nlm.nih.gov/pmc/blobs/63fa/10883962/ff7960f3d197/41598_2024_55060_Fig6_HTML.jpg
https://cdn.ncbi.nlm.nih.gov/pmc/blobs/63fa/10883962/34e248af49fc/41598_2024_55060_Fig7_HTML.jpg
https://cdn.ncbi.nlm.nih.gov/pmc/blobs/63fa/10883962/09e20cc94f4c/41598_2024_55060_Fig8_HTML.jpg
https://cdn.ncbi.nlm.nih.gov/pmc/blobs/63fa/10883962/4abbdf3f4d60/41598_2024_55060_Fig1_HTML.jpg
https://cdn.ncbi.nlm.nih.gov/pmc/blobs/63fa/10883962/83fe3ba0cdac/41598_2024_55060_Fig2_HTML.jpg
https://cdn.ncbi.nlm.nih.gov/pmc/blobs/63fa/10883962/de3e740302df/41598_2024_55060_Fig3_HTML.jpg
https://cdn.ncbi.nlm.nih.gov/pmc/blobs/63fa/10883962/86176831196b/41598_2024_55060_Fig4_HTML.jpg
https://cdn.ncbi.nlm.nih.gov/pmc/blobs/63fa/10883962/0b1d638c2070/41598_2024_55060_Fig5_HTML.jpg
https://cdn.ncbi.nlm.nih.gov/pmc/blobs/63fa/10883962/ff7960f3d197/41598_2024_55060_Fig6_HTML.jpg
https://cdn.ncbi.nlm.nih.gov/pmc/blobs/63fa/10883962/34e248af49fc/41598_2024_55060_Fig7_HTML.jpg
https://cdn.ncbi.nlm.nih.gov/pmc/blobs/63fa/10883962/09e20cc94f4c/41598_2024_55060_Fig8_HTML.jpg

相似文献

1
An adaptive adjacency matrix-based graph convolutional recurrent network for air quality prediction.一种基于自适应邻接矩阵的图卷积循环网络用于空气质量预测。
Sci Rep. 2024 Feb 22;14(1):4408. doi: 10.1038/s41598-024-55060-2.
2
Long short-term memory neural network for air pollutant concentration predictions: Method development and evaluation.用于空气污染物浓度预测的长短期记忆神经网络:方法开发与评估。
Environ Pollut. 2017 Dec;231(Pt 1):997-1004. doi: 10.1016/j.envpol.2017.08.114. Epub 2017 Sep 25.
3
A hybrid deep learning model for regional O and NO concentrations prediction based on spatiotemporal dependencies in air quality monitoring network.基于空气质量监测网络时空相关性的区域 O 和 NO 浓度预测的混合深度学习模型。
Environ Pollut. 2023 Mar 1;320:121075. doi: 10.1016/j.envpol.2023.121075. Epub 2023 Jan 11.
4
Spatio-temporal fusion of meteorological factors for multi-site PM2.5 prediction: A deep learning and time-variant graph approach.气象因素的时空融合在多站点 PM2.5 预测中的应用:深度学习和时变图方法。
Environ Res. 2023 Dec 15;239(Pt 1):117286. doi: 10.1016/j.envres.2023.117286. Epub 2023 Oct 4.
5
Hourly PM concentration prediction for dry bulk port clusters considering spatiotemporal correlation: A novel deep learning blending ensemble model.考虑时空相关性的干散货港口群逐时 PM 浓度预测:一种新的深度学习混合集成模型。
J Environ Manage. 2024 Nov;370:122703. doi: 10.1016/j.jenvman.2024.122703. Epub 2024 Oct 1.
6
Domain knowledge-enhanced multi-spatial multi-temporal PM forecasting with integrated monitoring and reanalysis data.基于综合监测和再分析数据的增强型多空间多时间尺度 PM 预测的领域知识。
Environ Int. 2024 Oct;192:108997. doi: 10.1016/j.envint.2024.108997. Epub 2024 Sep 11.
7
A novel spatiotemporal convolutional long short-term neural network for air pollution prediction.一种用于空气污染预测的新型时空卷积长短时记忆神经网络。
Sci Total Environ. 2019 Mar 1;654:1091-1099. doi: 10.1016/j.scitotenv.2018.11.086. Epub 2018 Nov 9.
8
A dual-path dynamic directed graph convolutional network for air quality prediction.用于空气质量预测的双通道动态有向图卷积网络。
Sci Total Environ. 2022 Jun 25;827:154298. doi: 10.1016/j.scitotenv.2022.154298. Epub 2022 Mar 7.
9
Exploiting dynamic spatio-temporal graph convolutional neural networks for citywide traffic flows prediction.利用动态时空图卷积神经网络进行全市交通流预测。
Neural Netw. 2022 Jan;145:233-247. doi: 10.1016/j.neunet.2021.10.021. Epub 2021 Oct 28.
10
PM Prediction with a Novel Multi-Step-Ahead Forecasting Model Based on Dynamic Wind Field Distance.基于动态风场距离的新型多步超前预测模型的 PM 预测。
Int J Environ Res Public Health. 2019 Nov 14;16(22):4482. doi: 10.3390/ijerph16224482.

本文引用的文献

1
Machine learning-based country-level annual air pollutants exploration using Sentinel-5P and Google Earth Engine.基于机器学习的利用 Sentinel-5P 和谷歌地球引擎进行国家层面年度空气污染物探测
Sci Rep. 2023 May 17;13(1):7968. doi: 10.1038/s41598-023-34774-9.
2
How a winding-down oil refinery park impacts air quality nearby?一个正在关停的炼油厂园区如何影响附近的空气质量?
Environ Int. 2022 Nov;169:107533. doi: 10.1016/j.envint.2022.107533. Epub 2022 Sep 17.
3
A dual-path dynamic directed graph convolutional network for air quality prediction.
用于空气质量预测的双通道动态有向图卷积网络。
Sci Total Environ. 2022 Jun 25;827:154298. doi: 10.1016/j.scitotenv.2022.154298. Epub 2022 Mar 7.
4
[Three-dimensional Structure Variation of PM During Cold Front Advance in Eastern China].[中国东部冷锋推进过程中颗粒物的三维结构变化]
Huan Jing Ke Xue. 2022 Jan 8;43(1):85-92. doi: 10.13227/j.hjkx.202103116.
5
A novel multi-pollutant space-time learning network for air pollution inference.一种用于空气污染推断的新型多污染物时空学习网络。
Sci Total Environ. 2022 Mar 10;811:152254. doi: 10.1016/j.scitotenv.2021.152254. Epub 2021 Dec 10.
6
Forecasting Air Quality in Taiwan by Using Machine Learning.运用机器学习预测台湾地区空气质量。
Sci Rep. 2020 Mar 5;10(1):4153. doi: 10.1038/s41598-020-61151-7.
7
A Novel Air Quality Early-Warning System Based on Artificial Intelligence.基于人工智能的新型空气质量预警系统。
Int J Environ Res Public Health. 2019 Sep 20;16(19):3505. doi: 10.3390/ijerph16193505.
8
Deep learning architecture for air quality predictions.深度学习架构在空气质量预测中的应用。
Environ Sci Pollut Res Int. 2016 Nov;23(22):22408-22417. doi: 10.1007/s11356-016-7812-9. Epub 2016 Oct 13.