Suppr超能文献

增强型体外反搏治疗新冠后综合征相关症状

Enhanced external counterpulsation for management of symptoms associated with long COVID.

作者信息

Sathyamoorthy Mohanakrishnan, Verduzco-Gutierrez Monica, Varanasi Swathi, Ward Robyn, Spertus John, Shah Sachin

机构信息

Department of Internal Medicine, Texas Christian University and University of North Texas Health Science Center School of Medicine, Fort Worth, TX, USA.

Department of Physical Medicine and Rehabilitation, Joe R. and Teresa Lozano Long School of Medicine, San Antonio, TX, USA.

出版信息

Am Heart J Plus. 2022 Feb 12;13:100105. doi: 10.1016/j.ahjo.2022.100105. eCollection 2022 Jan.

Abstract

STUDY OBJECTIVE

Enhanced external counterpulsation (EECP) as a possible therapy for Long COVID.

DESIGN

Retrospective analysis of a contemporary, consecutive patient cohort.

SETTING

7 outpatient treatment centers.

PARTICIPANTS

Long COVID patients.

INTERVENTION

15-35 EECP treatments.

MAIN OUTCOME MEASURES

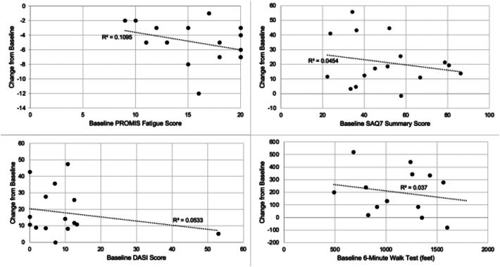
The change from baseline in 1) Patient Reported Outcome Measurement Information System (PROMIS) Fatigue; 2) Seattle Angina Questionnaire (SAQ); 3) Duke Activity Status Index (DASI); 4) 6-Minute Walk Test (6MWT); 5) Canadian Cardiovascular Society (CCS) Angina Grade; 6) Rose Dyspnea Scale (RDS); and 7) Patient Health Questionnaire (PHQ-9).

RESULTS

Compared to baseline, the PROMIS Fatigue, SAQ, DASI, and 6MWT improved by 4.63 ± 3.42 (p < 0.001), 21.44 ± 16.54 (p < 0.001), 18.08 ± 13.82 (p < 0.001), and 200.00 ± 180.14 (p = 0.002), respectively. CCS and RDS improved in 63% and 44% of patients, respectively. All patients unable to work prior to EECP were able to return post-therapy.

CONCLUSIONS AND RELEVANCE

EECP significantly improved validated fatigue and cardiovascular-related markers in patients with Long COVID.

摘要

研究目的

增强型体外反搏(EECP)作为治疗新冠后综合征的一种可能疗法。

设计

对一个当代连续患者队列进行回顾性分析。

地点

7个门诊治疗中心。

参与者

新冠后综合征患者。

干预措施

15 - 35次EECP治疗。

主要观察指标

1)患者报告结局测量信息系统(PROMIS)疲劳量表;2)西雅图心绞痛问卷(SAQ);3)杜克活动状态指数(DASI);4)6分钟步行试验(6MWT);5)加拿大心血管学会(CCS)心绞痛分级;6)罗斯呼吸困难量表(RDS);7)患者健康问卷(PHQ - 9)从基线的变化。

结果

与基线相比,PROMIS疲劳量表、SAQ、DASI和6MWT分别改善了4.63±3.42(p < 0.001)、21.44±16.54(p < 0.001)、18.08±13.82(p < 0.001)和200.00±180.14(p = 0.002)。CCS和RDS分别在63%和44%的患者中得到改善。所有在EECP治疗前无法工作的患者在治疗后都能够恢复工作。

结论及意义

EECP显著改善了新冠后综合征患者经过验证的疲劳和心血管相关指标。

https://cdn.ncbi.nlm.nih.gov/pmc/blobs/acdc/10978164/efae7948b08a/gr1.jpg

文献AI研究员

20分钟写一篇综述,助力文献阅读效率提升50倍。

立即体验

用中文搜PubMed

大模型驱动的PubMed中文搜索引擎

马上搜索

文档翻译

学术文献翻译模型,支持多种主流文档格式。

立即体验