• 文献检索
  • 文档翻译
  • 深度研究
  • 学术资讯
  • Suppr Zotero 插件Zotero 插件
  • 邀请有礼
  • 套餐&价格
  • 历史记录
应用&插件
Suppr Zotero 插件Zotero 插件浏览器插件Mac 客户端Windows 客户端微信小程序
定价
高级版会员购买积分包购买API积分包
服务
文献检索文档翻译深度研究API 文档MCP 服务
关于我们
关于 Suppr公司介绍联系我们用户协议隐私条款
关注我们

Suppr 超能文献

核心技术专利:CN118964589B侵权必究
粤ICP备2023148730 号-1Suppr @ 2026

文献检索

告别复杂PubMed语法,用中文像聊天一样搜索,搜遍4000万医学文献。AI智能推荐,让科研检索更轻松。

立即免费搜索

文件翻译

保留排版,准确专业,支持PDF/Word/PPT等文件格式,支持 12+语言互译。

免费翻译文档

深度研究

AI帮你快速写综述,25分钟生成高质量综述,智能提取关键信息,辅助科研写作。

立即免费体验

石香薷嫩枝化学成分的抗病毒和抗炎活性

Antiviral and anti-inflammatory activities of chemical constituents from twigs of Mosla chinensis Maxim.

作者信息

Feng Shi-Yan, Jiang Na, Yang Jia-Ying, Yang Lin-Yao, Du Jiang-Chao, Chen Xuan-Qin, Liu Dan, Li Rong-Tao, Zhong Jin-Dong

机构信息

Faculty of Life Science and Technology, Kunming University of Science and Technology, Kunming, 650500, Yunnan, People's Republic of China.

出版信息

Nat Prod Bioprospect. 2024 May 1;14(1):26. doi: 10.1007/s13659-024-00448-w.

DOI:10.1007/s13659-024-00448-w
PMID:38691189
原文链接:https://pmc.ncbi.nlm.nih.gov/articles/PMC11063020/
Abstract

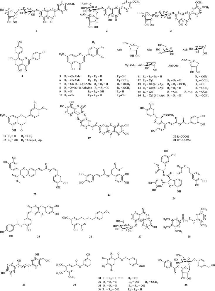
Seven undescribed compounds, including three flavones (1-3), one phenylpropanoid (19), three monoaromatic hydrocarbons (27-29), were isolated from the twigs of Mosla chinensis Maxim together with twenty-eight known compounds. The structures were characterized by HRESIMS, 1D and 2D NMR, and ECD spectroscopic techniques. Compound 20 displayed the most significant activity against A/WSN/33/2009 (H1N1) virus (IC = 20.47 μM) compared to the positive control oseltamivir (IC = 6.85 µM). Further research on the anti-influenza mechanism showed that compound 20 could bind to H1N1 virus surface antigen HA1 and inhibit the early attachment stage of the virus. Furthermore, compounds 9, 22, 23, and 25 displayed moderate inhibitory effects on the NO expression in LPS inducing Raw 264.7 cells with IC values of 22.78, 20.47, 27.66, and 30.14 µM, respectively.

摘要

从石香薷嫩枝中分离得到7个未描述的化合物,包括3个黄酮类化合物(1-3)、1个苯丙素类化合物(19)、3个单芳香烃类化合物(27-29),以及28个已知化合物。通过高分辨电喷雾电离质谱(HRESIMS)、一维和二维核磁共振(1D和2D NMR)以及电子圆二色谱(ECD)光谱技术对其结构进行了表征。与阳性对照药奥司他韦(IC = 6.85 μM)相比,化合物20对A/WSN/33/2009(H1N1)病毒表现出最显著的活性(IC = 20.47 μM)。对其抗流感机制的进一步研究表明,化合物20可与H1N1病毒表面抗原HA1结合,并抑制病毒的早期附着阶段。此外,化合物9、22、23和25对脂多糖诱导的Raw 264.7细胞中NO的表达显示出中等程度的抑制作用,IC值分别为22.78、20.47、27.66和30.14 μM。

https://cdn.ncbi.nlm.nih.gov/pmc/blobs/1802/11063020/4f63bfc54136/13659_2024_448_Fig8_HTML.jpg
https://cdn.ncbi.nlm.nih.gov/pmc/blobs/1802/11063020/21525a68cf42/13659_2024_448_Fig1_HTML.jpg
https://cdn.ncbi.nlm.nih.gov/pmc/blobs/1802/11063020/a40edf287eac/13659_2024_448_Fig2_HTML.jpg
https://cdn.ncbi.nlm.nih.gov/pmc/blobs/1802/11063020/ce76674647a6/13659_2024_448_Fig3_HTML.jpg
https://cdn.ncbi.nlm.nih.gov/pmc/blobs/1802/11063020/0787911f1d4a/13659_2024_448_Fig4_HTML.jpg
https://cdn.ncbi.nlm.nih.gov/pmc/blobs/1802/11063020/78814c869bbb/13659_2024_448_Fig5_HTML.jpg
https://cdn.ncbi.nlm.nih.gov/pmc/blobs/1802/11063020/38e0dfdd8dd2/13659_2024_448_Fig6_HTML.jpg
https://cdn.ncbi.nlm.nih.gov/pmc/blobs/1802/11063020/02b6da361f1c/13659_2024_448_Fig7_HTML.jpg
https://cdn.ncbi.nlm.nih.gov/pmc/blobs/1802/11063020/4f63bfc54136/13659_2024_448_Fig8_HTML.jpg
https://cdn.ncbi.nlm.nih.gov/pmc/blobs/1802/11063020/21525a68cf42/13659_2024_448_Fig1_HTML.jpg
https://cdn.ncbi.nlm.nih.gov/pmc/blobs/1802/11063020/a40edf287eac/13659_2024_448_Fig2_HTML.jpg
https://cdn.ncbi.nlm.nih.gov/pmc/blobs/1802/11063020/ce76674647a6/13659_2024_448_Fig3_HTML.jpg
https://cdn.ncbi.nlm.nih.gov/pmc/blobs/1802/11063020/0787911f1d4a/13659_2024_448_Fig4_HTML.jpg
https://cdn.ncbi.nlm.nih.gov/pmc/blobs/1802/11063020/78814c869bbb/13659_2024_448_Fig5_HTML.jpg
https://cdn.ncbi.nlm.nih.gov/pmc/blobs/1802/11063020/38e0dfdd8dd2/13659_2024_448_Fig6_HTML.jpg
https://cdn.ncbi.nlm.nih.gov/pmc/blobs/1802/11063020/02b6da361f1c/13659_2024_448_Fig7_HTML.jpg
https://cdn.ncbi.nlm.nih.gov/pmc/blobs/1802/11063020/4f63bfc54136/13659_2024_448_Fig8_HTML.jpg

相似文献

1
Antiviral and anti-inflammatory activities of chemical constituents from twigs of Mosla chinensis Maxim.石香薷嫩枝化学成分的抗病毒和抗炎活性
Nat Prod Bioprospect. 2024 May 1;14(1):26. doi: 10.1007/s13659-024-00448-w.
2
Anti-H1N1 virus, cytotoxic and Nrf2 activation activities of chemical constituents from Scutellaria baicalensis.黄芩化学成分的抗甲型H1N1病毒、细胞毒性及Nrf2激活活性
J Ethnopharmacol. 2015 Dec 24;176:475-84. doi: 10.1016/j.jep.2015.11.018. Epub 2015 Nov 11.
3
Inhibitory effects and related molecular mechanisms of total flavonoids in Mosla chinensis Maxim against H1N1 influenza virus.荆芥总黄酮抗 H1N1 流感病毒的作用及相关分子机制研究
Inflamm Res. 2018 Feb;67(2):179-189. doi: 10.1007/s00011-017-1109-4. Epub 2017 Nov 24.
4
Phenolic glycosides and indole alkaloids isolated from the roots and rhizomes of Clematis chinensis and their anti-inflammatory activity.从威灵仙根及根茎中分离得到的酚苷和吲哚生物碱及其抗炎活性。
Phytochemistry. 2023 Nov;215:113832. doi: 10.1016/j.phytochem.2023.113832. Epub 2023 Aug 19.
5
Chemical Constituents of Euonymus glabra.苦皮藤的化学成分。
Nat Prod Commun. 2015 Dec;10(12):2101-3.
6
Three undescribed isosteroidal alkaloids from the bulbs of Fritillaria ussuriensis maxim: Anti-inflammatory activities, docking studies and molecular dynamic.三种产自乌苏里贝母鳞茎的异甾体生物碱:抗炎活性、对接研究和分子动力学。
Fitoterapia. 2024 Dec;179:106246. doi: 10.1016/j.fitote.2024.106246. Epub 2024 Oct 10.
7
Anti-inflammatory activities of compounds from twigs of Morus alba.桑树枝条中化合物的抗炎活性
Fitoterapia. 2017 Jul;120:17-24. doi: 10.1016/j.fitote.2017.05.004. Epub 2017 May 18.
8
Chemical constituents from Melicope pteleifolia leaves.阔叶臭黄荆叶的化学成分。
Phytochemistry. 2016 Oct;130:291-300. doi: 10.1016/j.phytochem.2016.06.011. Epub 2016 Jun 30.
9
Structures and Anti-Inflammatory Evaluation of Phenylpropanoid Derivatives from the Aerial Parts of .从. 的地上部分中分离得到的苯丙素衍生物的结构与抗炎活性评价。
Int J Mol Sci. 2022 Sep 19;23(18):10954. doi: 10.3390/ijms231810954.
10
Non-alkaloid components with inhibitory activity against LPS induced NO production in RAW 264.7 cells isolated from the roots of Sophora flavescens.从苦参根部分离得到的对RAW 264.7细胞中脂多糖诱导的一氧化氮生成具有抑制活性的非生物碱成分。
Phytochemistry. 2025 Jan;229:114288. doi: 10.1016/j.phytochem.2024.114288. Epub 2024 Sep 19.

引用本文的文献

1
Ethyl Acetate Extract of Vaniot Attenuates Oxidative Stress in ALI Mice.南烛叶乙酸乙酯提取物减轻急性肺损伤小鼠的氧化应激
J Inflamm Res. 2025 Jun 6;18:7323-7336. doi: 10.2147/JIR.S522638. eCollection 2025.
2
Anti-Inflammatory Effects and Human Skin Safety of the Eastern Traditional Herb .东方传统草药的抗炎作用及对人体皮肤的安全性
Life (Basel). 2025 Mar 7;15(3):418. doi: 10.3390/life15030418.

本文引用的文献

1
Ionones and lignans from the fresh roots of Rehmannia glutinosa.地黄新鲜根中的紫罗兰酮和木脂素。
Phytochemistry. 2022 Nov;203:113423. doi: 10.1016/j.phytochem.2022.113423. Epub 2022 Aug 31.
2
Aspulvins A-H, Aspulvinone Analogues with SARS-CoV-2 M Inhibitory and Anti-inflammatory Activities from an Endophytic sp.曲霉红素A-H,来自一种内生菌的具有抑制新型冠状病毒M蛋白及抗炎活性的曲霉红素类似物
J Nat Prod. 2022 Apr 22;85(4):878-887. doi: 10.1021/acs.jnatprod.1c01003. Epub 2022 Mar 16.
3
Phenylpropanoids from Brachybotrys paridiformis Maxim. ex Oliv. and their anti-HBV activities.
八角莲属植物中的苯丙素类成分及其抗乙型肝炎病毒活性。
Phytochemistry. 2022 May;197:113114. doi: 10.1016/j.phytochem.2022.113114. Epub 2022 Feb 8.
4
Bodiniosides S-Y, Seven New Triterpenoid Saponins from and Their Anti-Influenza Activities.博迪尼苷 S-Y,从 中分离得到的七种新三萜皂苷及其抗流感活性。
Molecules. 2021 Oct 29;26(21):6535. doi: 10.3390/molecules26216535.
5
Chemical Constituents from the Aerial Parts of and Their Protective Activities on Glutamate-Induced HT22 Cell Death.某植物地上部分的化学成分及其对谷氨酸诱导的HT22细胞死亡的保护活性 。 (注:原文中“from the Aerial Parts of ”后面缺少具体植物名称)
J Nat Prod. 2020 Oct 23;83(10):3149-3155. doi: 10.1021/acs.jnatprod.0c00756. Epub 2020 Sep 29.
6
Three 11,12-seco-tanshinone derivatives from the rhizomes of .来自……根茎的三种11,12-断丹参酮衍生物。 (你提供的原文不完整,缺少具体植物名称)
J Asian Nat Prod Res. 2020 Oct;22(10):935-940. doi: 10.1080/10286020.2020.1799988. Epub 2020 Aug 6.
7
A new prenylated 3-benzoxepin derivative with anti-influenza A virus activity from .从.中分离得到具有抗流感 A 病毒活性的新的prenylated 3-benzoxepin 衍生物。
Nat Prod Res. 2022 Feb;36(3):719-725. doi: 10.1080/14786419.2020.1799360. Epub 2020 Jul 30.
8
Bioactive ent-isopimarane diterpenoids from Euphorbia neriifolia.从大戟属植物中分离得到的具有生物活性的对映-新松香烷二萜。
Phytochemistry. 2020 Jul;175:112373. doi: 10.1016/j.phytochem.2020.112373. Epub 2020 Apr 16.
9
Study on the Antiviral Activities and Hemagglutinin-Based Molecular Mechanism of Novel Chlorogenin 3--β-Chacotrioside Derivatives Against H5N1 Subtype Viruses.新型绿原酸 3--β-三糖苷衍生物抗 H5N1 亚型病毒的抗病毒活性及血凝素基分子机制研究。
Viruses. 2020 Mar 11;12(3):304. doi: 10.3390/v12030304.
10
An Oleanolic Acid Derivative Inhibits Hemagglutinin-Mediated Entry of Influenza A Virus.一种齐墩果酸衍生物抑制流感 A 病毒的血凝素介导的进入。
Viruses. 2020 Feb 18;12(2):225. doi: 10.3390/v12020225.