Suppr超能文献

三级转诊中心儿童体重指数(BMI)升高与特应性皮炎之间的关联:一项病例对照研究

Association Between Increased Body Mass Index (BMI) and Atopic Dermatitis in Children Attending a Tertiary Referral Center: A Case-Control Study.

作者信息

Sendrea Adelina-Maria, Cristea Sinziana, Salavastru Carmen Maria

机构信息

Pediatric Dermatology, Carol Davila University of Medicine and Pharmacy, Bucharest, ROU.

Dermatology Reseach Unit, Colentina Clinical Hospital, Bucharest, ROU.

出版信息

Cureus. 2024 May 21;16(5):e60770. doi: 10.7759/cureus.60770. eCollection 2024 May.

Abstract

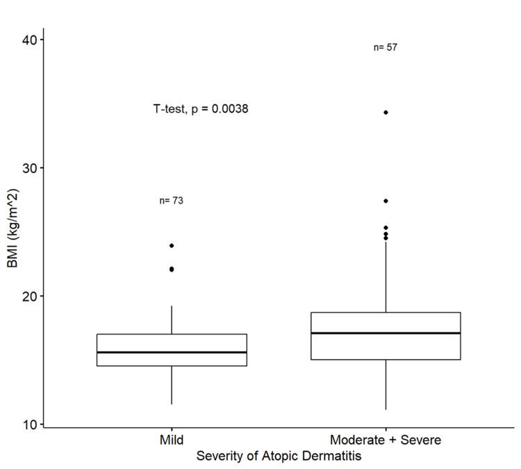
Background Atopic dermatitis (AD) and obesity represent chronic diseases, with growing worldwide prevalence, that rely on a common pathophysiological background: perpetual inflammation. Moreover, AD is considered more and more to be a beyond-the-skin disease with various associated comorbidities. This study aimed to investigate a potential link between overweight/obese status and AD in children. Methods A case-control study was performed on 130 AD patients and 130 exact age and sex match controls that attended the Pediatric Dermatology Department of Colentina Clinical Hospital. Based on the weight (in kilograms) and height (in centimeters), the body mass index (BMI), and the corresponding age and gender percentiles were assessed in both groups; study participants were divided as normal-weight, underweight, overweight, or obese. AD severity was evaluated using the Scoring Atopic Dermatitis Index (SCORAD), and quality of life impairment was assessed with the Dermatology Life Quality Index (DLQI). Descriptive statistics, t-tests, and logistic regression with odds ratios (OR) and associated 95% confidence intervals (CI) were used for data analysis. Results A statistically significantly higher BMI was identified in the AD group compared to controls (p=0.027). The relative risk for overweight/obese status in the AD group compared to controls was three times more frequent (OR 3.61, 95% CI 1.45-10.3, p<0.01). Additionally, the increased BMI in the AD group correlated significantly with disease severity as determined by SCORAD (p<0.05), with a relative risk for overweight/obese status in the moderate-severe AD subgroup being 20 times more frequent as compared to mild AD (OR 20.4, 95% CI 6.53-90.7, p<0.001). Conclusions To our knowledge, this is the first study to evaluate the correlation between AD and BMI in Romanian children. Statistically significant correlations between increased BMI, AD development, and AD severity in children were identified in our study population. This study's small sample size and single-center study design represent possible limitations. Additional, larger, multicentric studies are required to establish a more precise correlation between AD and obesity. Physicians should be aware of this potential association in order to perform obesity screening in AD children for more appropriate multidisciplinary management of such patients.

摘要

背景

特应性皮炎(AD)和肥胖是全球性患病率不断上升的慢性疾病,它们有着共同的病理生理背景:持续性炎症。此外,AD越来越被认为是一种伴有多种合并症的全身性疾病。本研究旨在调查儿童超重/肥胖状态与AD之间的潜在联系。方法:对科伦蒂纳临床医院儿科皮肤科就诊的130例AD患者和130例年龄及性别精确匹配的对照进行病例对照研究。根据体重(千克)和身高(厘米)评估两组的体重指数(BMI)以及相应的年龄和性别百分位数;研究参与者分为正常体重、体重过轻、超重或肥胖。使用特应性皮炎评分指数(SCORAD)评估AD严重程度,用皮肤病生活质量指数(DLQI)评估生活质量受损情况。数据分析采用描述性统计、t检验以及带有比值比(OR)和相关95%置信区间(CI)的逻辑回归。结果:与对照组相比,AD组的BMI在统计学上显著更高(p = 0.027)。AD组超重/肥胖状态的相对风险是对照组的三倍多(OR 3.61,95% CI 1.45 - 10.3,p < 0.01)。此外,AD组BMI的增加与SCORAD确定的疾病严重程度显著相关(p < 0.05),中重度AD亚组超重/肥胖状态的相对风险是轻度AD的20倍(OR 20.4,95% CI 6.53 - 90.7,p < 0.001)。结论:据我们所知,这是第一项评估罗马尼亚儿童AD与BMI之间相关性的研究。在我们的研究人群中,确定了儿童BMI增加、AD发生和AD严重程度之间存在统计学显著相关性。本研究的小样本量和单中心研究设计可能是局限性所在。需要更多更大规模的多中心研究来建立AD与肥胖之间更精确的相关性。医生应意识到这种潜在关联,以便对AD儿童进行肥胖筛查,从而对这类患者进行更合适的多学科管理。

https://cdn.ncbi.nlm.nih.gov/pmc/blobs/3d4c/11107859/bc9d6c9e389b/cureus-0016-00000060770-i01.jpg

文献检索

告别复杂PubMed语法,用中文像聊天一样搜索,搜遍4000万医学文献。AI智能推荐,让科研检索更轻松。

立即免费搜索

文件翻译

保留排版,准确专业,支持PDF/Word/PPT等文件格式,支持 12+语言互译。

免费翻译文档

深度研究

AI帮你快速写综述,25分钟生成高质量综述,智能提取关键信息,辅助科研写作。

立即免费体验