• 文献检索
  • 文档翻译
  • 深度研究
  • 学术资讯
  • Suppr Zotero 插件Zotero 插件
  • 邀请有礼
  • 套餐&价格
  • 历史记录
应用&插件
Suppr Zotero 插件Zotero 插件浏览器插件Mac 客户端Windows 客户端微信小程序
定价
高级版会员购买积分包购买API积分包
服务
文献检索文档翻译深度研究API 文档MCP 服务
关于我们
关于 Suppr公司介绍联系我们用户协议隐私条款
关注我们

Suppr 超能文献

核心技术专利:CN118964589B侵权必究
粤ICP备2023148730 号-1Suppr @ 2026

文献检索

告别复杂PubMed语法,用中文像聊天一样搜索,搜遍4000万医学文献。AI智能推荐,让科研检索更轻松。

立即免费搜索

文件翻译

保留排版,准确专业,支持PDF/Word/PPT等文件格式,支持 12+语言互译。

免费翻译文档

深度研究

AI帮你快速写综述,25分钟生成高质量综述,智能提取关键信息,辅助科研写作。

立即免费体验

验证 BOADICEA 模型在致病性变异携带者的前瞻性队列中的应用。

Validation of the BOADICEA model in a prospective cohort of pathogenic variant carriers.

机构信息

Centre for Cancer Genetic Epidemiology, Department of Public Health and Primary Care, University of Cambridge, Strangeways Research Laboratory, Cambridge, UK

Department of Epidemiology, The Netherlands Cancer Institute, Amsterdam, The Netherlands.

出版信息

J Med Genet. 2024 Jul 19;61(8):803-809. doi: 10.1136/jmg-2024-109943.

DOI:10.1136/jmg-2024-109943
PMID:38834293
原文链接:https://pmc.ncbi.nlm.nih.gov/articles/PMC11287562/
Abstract

BACKGROUND

No validation has been conducted for the BOADICEA multifactorial breast cancer risk prediction model specifically in pathogenic variant (PV) carriers to date. Here, we evaluated the performance of BOADICEA in predicting 5-year breast cancer risks in a prospective cohort of PV carriers ascertained through clinical genetic centres.

METHODS

We evaluated the model calibration and discriminatory ability in the prospective TRANsIBCCS cohort study comprising 1614 and 1365 PV carriers (209 incident cases). Study participants had lifestyle, reproductive, hormonal, anthropometric risk factor information, a polygenic risk score based on 313 SNPs and family history information.

RESULTS

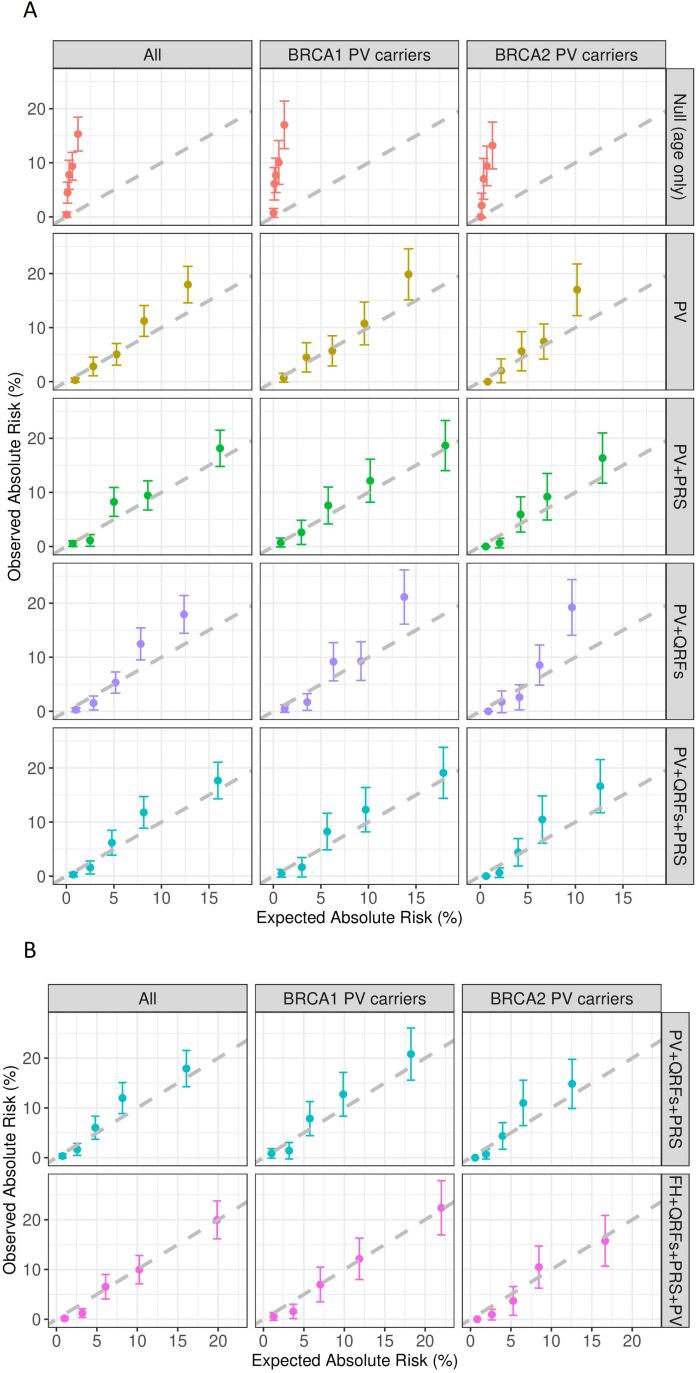
The full multifactorial model considering family history together with all other risk factors was well calibrated overall (E/O=1.07, 95% CI: 0.92 to 1.24) and in quintiles of predicted risk. Discrimination was maximised when all risk factors were considered (Harrell's C-index=0.70, 95% CI: 0.67 to 0.74; area under the curve=0.79, 95% CI: 0.76 to 0.82). The model performance was similar when evaluated separately in or PV carriers. The full model identified 5.8%, 12.9% and 24.0% of PV carriers with 5-year breast cancer risks of <1.65%, <3% and <5%, respectively, risk thresholds commonly used for different management and risk-reduction options.

CONCLUSION

BOADICEA may be used to aid personalised cancer risk management and decision-making for and PV carriers. It is implemented in the free-access CanRisk tool (https://www.canrisk.org/).

摘要

背景

迄今为止,尚未针对携带致病突变(PV)的个体对 BOADICEA 多因素乳腺癌风险预测模型进行验证。在此,我们通过临床遗传中心确定的前瞻性 PV 携带者队列研究,评估了 BOADICEA 预测 5 年乳腺癌风险的性能。

方法

我们评估了前瞻性 TRANsIBCCS 队列研究中模型的校准和区分能力,该研究包括 1614 名和 1365 名 PV 携带者(209 例发病病例)。研究参与者具有生活方式、生殖、激素、人体测量风险因素信息、基于 313 个 SNP 的多基因风险评分和家族史信息。

结果

总体而言,同时考虑家族史和所有其他风险因素的完整多因素模型校准良好(E/O=1.07,95%CI:0.92 至 1.24),且在预测风险的五分位数中也是如此。当考虑所有风险因素时,区分度达到最大值(Harrell's C 指数=0.70,95%CI:0.67 至 0.74;曲线下面积=0.79,95%CI:0.76 至 0.82)。当分别在 或 PV 携带者中进行评估时,该模型的性能相似。完整模型确定了 5.8%、12.9%和 24.0%的 PV 携带者的 5 年乳腺癌风险<1.65%、<3%和<5%,这些风险阈值常用于不同的管理和风险降低选择。

结论

BOADICEA 可用于辅助 和 PV 携带者的个性化癌症风险管理和决策。它被实施在免费的 CanRisk 工具中(https://www.canrisk.org/)。

https://cdn.ncbi.nlm.nih.gov/pmc/blobs/ae8b/11287562/9ae720732cfe/jmg-2024-109943f01.jpg
https://cdn.ncbi.nlm.nih.gov/pmc/blobs/ae8b/11287562/9ae720732cfe/jmg-2024-109943f01.jpg
https://cdn.ncbi.nlm.nih.gov/pmc/blobs/ae8b/11287562/9ae720732cfe/jmg-2024-109943f01.jpg

相似文献

1
Validation of the BOADICEA model in a prospective cohort of pathogenic variant carriers.验证 BOADICEA 模型在致病性变异携带者的前瞻性队列中的应用。
J Med Genet. 2024 Jul 19;61(8):803-809. doi: 10.1136/jmg-2024-109943.
2
Validation of the BOADICEA model for epithelial tubo-ovarian cancer risk prediction in UK Biobank.验证 BOADICEA 模型在英国生物库中预测上皮性输卵管-卵巢癌风险的能力。
Br J Cancer. 2024 Nov;131(9):1473-1479. doi: 10.1038/s41416-024-02851-z. Epub 2024 Sep 18.
3
Prospective validation of the BOADICEA multifactorial breast cancer risk prediction model in a large prospective cohort study.前瞻性验证 BOADICEA 多因素乳腺癌风险预测模型在大型前瞻性队列研究中的应用。
J Med Genet. 2022 Dec;59(12):1196-1205. doi: 10.1136/jmg-2022-108806. Epub 2022 Sep 26.
4
Evaluating the performance of the breast cancer genetic risk models BOADICEA, IBIS, BRCAPRO and Claus for predicting BRCA1/2 mutation carrier probabilities: a study based on 7352 families from the German Hereditary Breast and Ovarian Cancer Consortium.评估乳腺癌遗传风险模型 BOADICEA、IBIS、BRCAPRO 和 Claus 预测 BRCA1/2 突变携带者概率的性能:一项基于德国遗传性乳腺癌和卵巢癌联合会 7352 个家族的研究。
J Med Genet. 2013 Jun;50(6):360-7. doi: 10.1136/jmedgenet-2012-101415. Epub 2013 Apr 6.
5
Population frequencies of pathogenic alleles of BRCA1 and BRCA2: analysis of 173 Danish breast cancer pedigrees using the BOADICEA model.BRCA1 和 BRCA2 致病性等位基因的人群频率:使用 BOADICEA 模型对 173 个丹麦乳腺癌家系进行的分析。
Fam Cancer. 2019 Oct;18(4):381-388. doi: 10.1007/s10689-019-00141-9.
6
Distribution of age at natural menopause, age at menarche, menstrual cycle length, height and BMI in BRCA1 and BRCA2 pathogenic variant carriers and non-carriers: results from EMBRACE.携带和未携带BRCA1及BRCA2致病变异者的自然绝经年龄、初潮年龄、月经周期长度、身高和体重指数分布:EMBRACE研究结果
Breast Cancer Res. 2025 May 21;27(1):87. doi: 10.1186/s13058-025-02030-9.
7
Cancer risks for BRCA1 and BRCA2 mutation carriers: results from prospective analysis of EMBRACE.BRCA1 和 BRCA2 突变携带者的癌症风险:EMBRACE 前瞻性分析的结果。
J Natl Cancer Inst. 2013 Jun 5;105(11):812-22. doi: 10.1093/jnci/djt095. Epub 2013 Apr 29.
8
Association of a Polygenic Risk Score With Breast Cancer Among Women Carriers of High- and Moderate-Risk Breast Cancer Genes.多基因风险评分与携带高风险和中风险乳腺癌基因的女性乳腺癌的相关性研究。
JAMA Netw Open. 2020 Jul 1;3(7):e208501. doi: 10.1001/jamanetworkopen.2020.8501.
9
Breast and Prostate Cancer Risks for Male BRCA1 and BRCA2 Pathogenic Variant Carriers Using Polygenic Risk Scores.使用多基因风险评分评估携带BRCA1和BRCA2致病变异的男性患乳腺癌和前列腺癌的风险。
J Natl Cancer Inst. 2022 Jan 11;114(1):109-122. doi: 10.1093/jnci/djab147.
10
Second Primary Cancer Risks After Breast Cancer in and Pathogenic Variant Carriers.BRCA1和BRCA2致病变异携带者患乳腺癌后的第二原发性癌症风险。
J Clin Oncol. 2025 Feb 20;43(6):651-661. doi: 10.1200/JCO.24.01146. Epub 2024 Oct 29.

引用本文的文献

1
Inherited Susceptibility to Cancer: Past, Present and Future.癌症的遗传易感性:过去、现在与未来
Ann Hum Genet. 2025 Sep;89(5):354-365. doi: 10.1111/ahg.70013. Epub 2025 Jul 21.
2
Adapting the BOADICEA breast and ovarian cancer risk models for the ethnically diverse UK population.使BOADICEA乳腺癌和卵巢癌风险模型适用于种族多样化的英国人群。
Br J Cancer. 2025 Jul 17. doi: 10.1038/s41416-025-03117-y.
3
Implementing Integrated Genomic Risk Assessments for Breast Cancer: Lessons Learned from the eMERGE Study.实施乳腺癌综合基因组风险评估:从eMERGE研究中吸取的经验教训。

本文引用的文献

1
BOADICEA model: updates to the breast cancer risks for ages 60 years and older.BOADICEA模型:60岁及以上女性乳腺癌风险的更新
BJC Rep. 2024;2(1):53. doi: 10.1038/s44276-024-00079-1. Epub 2024 Jul 24.
2
Prospective validation of the BOADICEA multifactorial breast cancer risk prediction model in a large prospective cohort study.前瞻性验证 BOADICEA 多因素乳腺癌风险预测模型在大型前瞻性队列研究中的应用。
J Med Genet. 2022 Dec;59(12):1196-1205. doi: 10.1136/jmg-2022-108806. Epub 2022 Sep 26.
3
Enhancing the BOADICEA cancer risk prediction model to incorporate new data on , , updates to tumour pathology and cancer incidence.
medRxiv. 2025 May 23:2025.05.22.25328180. doi: 10.1101/2025.05.22.25328180.
4
Evaluating the performance of the Breast and Ovarian Analysis of Disease Incidence Algorithm model in predicting 10-year breast cancer risks in UK Biobank.评估疾病发病率算法模型的乳腺与卵巢分析在预测英国生物银行中10年乳腺癌风险方面的表现。
J Natl Cancer Inst. 2025 May 1;117(5):948-958. doi: 10.1093/jnci/djae335.
5
BOADICEA model: updates to the breast cancer risks for ages 60 years and older.BOADICEA模型:60岁及以上女性乳腺癌风险的更新
BJC Rep. 2024;2(1):53. doi: 10.1038/s44276-024-00079-1. Epub 2024 Jul 24.
增强 BOADICEA 癌症风险预测模型,纳入新的数据、、更新的肿瘤病理学和癌症发病率数据。
J Med Genet. 2022 Dec;59(12):1206-1218. doi: 10.1136/jmedgenet-2022-108471. Epub 2022 Sep 26.
4
Prospective Evaluation of the Addition of Polygenic Risk Scores to Breast Cancer Risk Models.前瞻性评估多基因风险评分在乳腺癌风险模型中的应用。
JNCI Cancer Spectr. 2021 Mar 2;5(3). doi: 10.1093/jncics/pkab021. eCollection 2021 Jun.
5
Comparative validation of the BOADICEA and Tyrer-Cuzick breast cancer risk models incorporating classical risk factors and polygenic risk in a population-based prospective cohort of women of European ancestry.基于欧洲血统女性的人群前瞻性队列中,纳入经典风险因素和多基因风险的 BOADICEA 和 Tyrer-Cuzick 乳腺癌风险模型的比较验证。
Breast Cancer Res. 2021 Feb 15;23(1):22. doi: 10.1186/s13058-021-01399-7.
6
Polygenic risk scores and breast and epithelial ovarian cancer risks for carriers of BRCA1 and BRCA2 pathogenic variants.多基因风险评分与携带 BRCA1 和 BRCA2 致病性变异的个体的乳腺癌和上皮性卵巢癌风险。
Genet Med. 2020 Oct;22(10):1653-1666. doi: 10.1038/s41436-020-0862-x. Epub 2020 Jul 15.
7
iCARE: An R package to build, validate and apply absolute risk models.iCARE:用于构建、验证和应用绝对风险模型的 R 包。
PLoS One. 2020 Feb 5;15(2):e0228198. doi: 10.1371/journal.pone.0228198. eCollection 2020.
8
Alcohol Consumption, Cigarette Smoking, and Risk of Breast Cancer for and Mutation Carriers: Results from The BRCA1 and BRCA2 Cohort Consortium.饮酒、吸烟与BRCA1和BRCA2突变携带者的乳腺癌风险:BRCA1和BRCA2队列联盟的结果
Cancer Epidemiol Biomarkers Prev. 2020 Feb;29(2):368-378. doi: 10.1158/1055-9965.EPI-19-0546. Epub 2019 Dec 2.
9
Medication Use to Reduce Risk of Breast Cancer: US Preventive Services Task Force Recommendation Statement.药物预防乳腺癌的使用:美国预防服务工作组推荐声明。
JAMA. 2019 Sep 3;322(9):857-867. doi: 10.1001/jama.2019.11885.
10
Oral Contraceptive Use and Breast Cancer Risk: Retrospective and Prospective Analyses From a BRCA1 and BRCA2 Mutation Carrier Cohort Study.口服避孕药的使用与乳腺癌风险:来自BRCA1和BRCA2突变携带者队列研究的回顾性和前瞻性分析
JNCI Cancer Spectr. 2018 Jun 28;2(2):pky023. doi: 10.1093/jncics/pky023. eCollection 2018 Apr.