Suppr超能文献

胸部CT影像特征模型在鉴别肺鳞状细胞癌和腺癌中的应用

Application of Chest CT Imaging Feature Model in Distinguishing Squamous Cell Carcinoma and Adenocarcinoma of the Lung.

作者信息

Liu Chunmei, He Yuzheng, Luo Jianmin

机构信息

Department of Radiation Oncology, The Second Hospital of Hebei Medical University, Shijiazhuang, Hebei Province, People's Republic of China.

Department of Thoracic Surgery, The Second Hospital of Hebei Medical University, Shijiazhuang, Hebei Province, People's Republic of China.

出版信息

Cancer Manag Res. 2024 Jun 4;16:547-557. doi: 10.2147/CMAR.S462951. eCollection 2024.

Abstract

PURPOSE

In situations where pathological acquisition is difficult, there is a lack of consensus on distinguishing between adenocarcinoma and squamous cell carcinoma from imaging images, and each doctor can only make judgments based on their own experience. This study aims to extract imaging features of chest CT, extract sensitive factors through logistic univariate and multivariate analysis, and model to distinguish between lung squamous cell carcinoma and lung adenocarcinoma.

METHODS

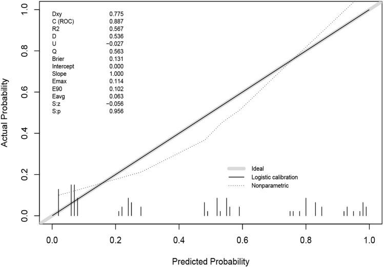
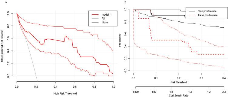
We downloaded chest CT scans with clear diagnosis of adenocarcinoma and squamous cell carcinoma from The Cancer Imaging Archive (TCIA), extracted 19 imaging features by a radiologist and a thoracic surgeon, including location, spicule, lobulation, cavity, vacuolar sign, necrosis, pleural traction sign, vascular bundle sign, air bronchogram sign, calcification, enhancement degree, distance from pulmonary hilum, atelectasis, pulmonary hilum and bronchial lymph nodes, mediastinal lymph nodes, interlobular septal thickening, pulmonary metastasis, adjacent structures invasion, pleural effusion. Firstly, we apply the glm function of R language to perform logistic univariate analysis on all variables to select variables with P < 0.1. Then, perform logistic multivariate analysis on the selected variables to obtain a predictive model. Next, use the roc function in R language to calculate the AUC value and draw the ROC curve, use the val.prob function in R language to draw the Calibrat curve, and use the rmda package in R language to draw the DCA curve and clinical impact curve. At the same time, 45 patients diagnosed with lung squamous cell carcinoma and lung adenocarcinoma through surgery or biopsy in the Radiotherapy Department and Thoracic Surgery Department of our hospital from 2023 to 2024 were included in the validation group. The chest CT features were jointly determined and recorded by the two doctors mentioned above and included in the validation group. The included image feature data are complete and does not require preprocessing, so directly entering statistical calculations. Perform ROC curves, calibration curves, DCA, and clinical impact curves in the validation group to further validate the predictive model. If the predictive model performs well in the validation group, further draw a nomogram to demonstrate.

RESULTS

This study extracted 19 imaging features from the chest CT scans of 75 patients downloaded from TCIA and finally selected 18 complete data for analysis. First, univariate analysis and multivariate analysis were performed, and a total of 5 variables were obtained: spicule, necrosis, air bronchogram Sign, atelectasis, pulmonary hilum and bronchial lymph nodes. After conducting modeling analysis with AUC = 0.887, a validation group was established using clinical cases from our hospital, Draw ROC curve with AUC = 0.865 in the validation group, evaluate the accuracy of the model through Calibrate calibration curve, evaluate the reliability of the model in clinical practice through DCA curve, and further evaluate the practicality of the model in clinical practice through clinical impact curve.

CONCLUSION

It is possible to extract influential features from ordinary chest CT scans to determine lung adenocarcinoma and squamous cell carcinoma. The model we have set up performs well in terms of discrimination, accuracy, reliability, and practicality.

摘要

目的

在病理获取困难的情况下,对于从影像学图像区分腺癌和鳞状细胞癌缺乏共识,每位医生只能根据自身经验进行判断。本研究旨在提取胸部CT的影像学特征,通过逻辑单因素和多因素分析提取敏感因素,并建立模型以区分肺鳞状细胞癌和肺腺癌。

方法

我们从癌症影像存档库(TCIA)下载了明确诊断为腺癌和鳞状细胞癌的胸部CT扫描图像,由一名放射科医生和一名胸外科医生提取19项影像学特征,包括位置、毛刺征、分叶征、空洞、空泡征、坏死、胸膜牵拉征、血管束征、空气支气管征、钙化、强化程度、距肺门距离、肺不张、肺门及支气管淋巴结、纵隔淋巴结、小叶间隔增厚、肺转移、邻近结构侵犯、胸腔积液。首先,应用R语言的glm函数对所有变量进行逻辑单因素分析,以选择P<0.1的变量。然后,对所选变量进行逻辑多因素分析以获得预测模型。接下来,使用R语言中的roc函数计算AUC值并绘制ROC曲线,使用R语言中的val.prob函数绘制校准曲线,使用R语言中的rmda包绘制DCA曲线和临床影响曲线。同时,纳入2023年至2024年在我院放疗科和胸外科通过手术或活检确诊为肺鳞状细胞癌和肺腺癌的45例患者作为验证组。上述两名医生共同确定并记录胸部CT特征并纳入验证组。纳入的图像特征数据完整,无需预处理,可直接进行统计计算。在验证组中进行ROC曲线、校准曲线、DCA和临床影响曲线分析,以进一步验证预测模型。如果预测模型在验证组中表现良好,则进一步绘制列线图进行展示。

结果

本研究从从TCIA下载的75例患者的胸部CT扫描图像中提取了19项影像学特征,最终选择18个完整数据进行分析。首先进行单因素分析和多因素分析,共获得5个变量:毛刺征、坏死、空气支气管征、肺不张、肺门及支气管淋巴结。在进行AUC=0.887的建模分析后,使用我院临床病例建立验证组,在验证组中绘制AUC=0.865的ROC曲线,通过校准校准曲线评估模型的准确性,通过DCA曲线评估模型在临床实践中的可靠性,并通过临床影响曲线进一步评估模型在临床实践中的实用性。

结论

从普通胸部CT扫描中提取有影响的特征来确定肺腺癌和鳞状细胞癌是可行的。我们建立的模型在区分度、准确性、可靠性和实用性方面表现良好。

https://cdn.ncbi.nlm.nih.gov/pmc/blobs/e34d/11162187/fcfcff5af0ac/CMAR-16-547-g0001.jpg

文献AI研究员

20分钟写一篇综述,助力文献阅读效率提升50倍。

立即体验

用中文搜PubMed

大模型驱动的PubMed中文搜索引擎

马上搜索

文档翻译

学术文献翻译模型,支持多种主流文档格式。

立即体验