• 文献检索
  • 文档翻译
  • 深度研究
  • 学术资讯
  • Suppr Zotero 插件Zotero 插件
  • 邀请有礼
  • 套餐&价格
  • 历史记录
应用&插件
Suppr Zotero 插件Zotero 插件浏览器插件Mac 客户端Windows 客户端微信小程序
定价
高级版会员购买积分包购买API积分包
服务
文献检索文档翻译深度研究API 文档MCP 服务
关于我们
关于 Suppr公司介绍联系我们用户协议隐私条款
关注我们

Suppr 超能文献

核心技术专利:CN118964589B侵权必究
粤ICP备2023148730 号-1Suppr @ 2026

文献检索

告别复杂PubMed语法,用中文像聊天一样搜索,搜遍4000万医学文献。AI智能推荐,让科研检索更轻松。

立即免费搜索

文件翻译

保留排版,准确专业,支持PDF/Word/PPT等文件格式,支持 12+语言互译。

免费翻译文档

深度研究

AI帮你快速写综述,25分钟生成高质量综述,智能提取关键信息,辅助科研写作。

立即免费体验

具有氧化电位的等离子体活化自来水对水悬浮液中的微生物污染物具有灭活作用。

Plasma-Activated Tap Water with Oxidative Potential Has an Inactivating Effect on Microbiological Contaminants in Aqueous Suspensions.

作者信息

Droste Nahla C, Hummert Mareike, Leenders Paul, Mellmann Alexander, Becker Karsten, Kuczius Thorsten

机构信息

Institute of Hygiene, University Hospital Münster, Robert Koch-Straße 41, 48149 Münster, Germany.

VitalFluid BV, High Tech Campus 25-5, 5656 AE Eindhoven, The Netherlands.

出版信息

Pathogens. 2024 Jun 24;13(7):535. doi: 10.3390/pathogens13070535.

DOI:10.3390/pathogens13070535
PMID:39057762
原文链接:https://pmc.ncbi.nlm.nih.gov/articles/PMC11280176/
Abstract

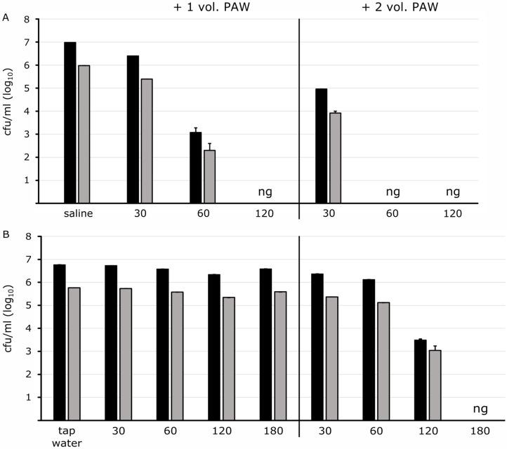
Plasma-activated water (PAW) generated from tap water has gained attention as a disinfectant when used directly in its pure form. Little is known about the application of PAW for bacterial inactivation in aqueous environments because its use in fluids results in dilutions. We investigated the effect of PAW in aqueous suspensions simulating such dilutions, and we focused on the minimal addition of PAW volumes to bacterial aqueous suspensions still resulting in high inactivation rates. The antimicrobial effect was highly dependent on the activation of PAW. An increase in activation power from 90 to 100 W resulted in a greater microbial reduction with an identical 10 min activation time. The susceptibility to PAW dilutions was analyzed in detail regarding nine Gram-negative species out of and other waterborne microorganisms as well as four Gram-positive species present in two different matrices, in saline and in tap water, at high concentrations simulating massive contamination situations. For this purpose, the PAW activation setting of 90 W and 30 min was defined in order to be able to differentiate the limitations of inactivation in individual bacterial species. The Gram-negatives in saline demonstrated susceptibility when one volume unit of PAW was added. However, twice the PAW volume was necessary for inactivation when bacteria were present in tap water. Gram-positive microorganisms were more robust, indicated by prolonged contact times before inactivation. Our results indicate that PAW can be used for bacterial decontamination processes in aqueous environments when added in surplus. Optimized activation settings such as electric power to generate PAW and the contact times to the samples increase the effect of the inactivation a wide range of bacteria, regardless of their resistance profiles.

摘要

由自来水产生的等离子体活化水(PAW)以其纯净形式直接用作消毒剂时受到了关注。由于PAW在液体中的使用会导致稀释,因此对于其在水性环境中用于细菌灭活的应用了解甚少。我们研究了PAW在模拟此类稀释的水性悬浮液中的效果,并专注于向细菌水性悬浮液中添加最少体积的PAW仍能产生高灭活率的情况。抗菌效果高度依赖于PAW的活化。在相同的10分钟活化时间下,活化功率从90瓦增加到100瓦会导致更大程度的微生物减少。我们详细分析了在模拟大量污染情况的高浓度下,两种不同基质(盐水和自来水)中存在的9种革兰氏阴性菌和其他水传播微生物以及4种革兰氏阳性菌对PAW稀释的敏感性。为此,定义了90瓦和30分钟的PAW活化设置,以便能够区分各个细菌物种灭活的局限性。在盐水中添加一个体积单位的PAW时,革兰氏阴性菌表现出敏感性。然而,当细菌存在于自来水中时,灭活需要两倍体积的PAW。革兰氏阳性微生物更具抗性,这表现为灭活前需要更长的接触时间。我们的结果表明,当过量添加时PAW可用于水性环境中的细菌去污过程。优化的活化设置,如产生PAW的电功率和与样品的接触时间,可提高对多种细菌的灭活效果,而不论它们的抗性特征如何。

https://cdn.ncbi.nlm.nih.gov/pmc/blobs/6f62/11280176/956fbe0ebacc/pathogens-13-00535-g003.jpg
https://cdn.ncbi.nlm.nih.gov/pmc/blobs/6f62/11280176/16a493daedcf/pathogens-13-00535-g001.jpg
https://cdn.ncbi.nlm.nih.gov/pmc/blobs/6f62/11280176/b9b235148101/pathogens-13-00535-g002.jpg
https://cdn.ncbi.nlm.nih.gov/pmc/blobs/6f62/11280176/956fbe0ebacc/pathogens-13-00535-g003.jpg
https://cdn.ncbi.nlm.nih.gov/pmc/blobs/6f62/11280176/16a493daedcf/pathogens-13-00535-g001.jpg
https://cdn.ncbi.nlm.nih.gov/pmc/blobs/6f62/11280176/b9b235148101/pathogens-13-00535-g002.jpg
https://cdn.ncbi.nlm.nih.gov/pmc/blobs/6f62/11280176/956fbe0ebacc/pathogens-13-00535-g003.jpg

相似文献

1
Plasma-Activated Tap Water with Oxidative Potential Has an Inactivating Effect on Microbiological Contaminants in Aqueous Suspensions.具有氧化电位的等离子体活化自来水对水悬浮液中的微生物污染物具有灭活作用。
Pathogens. 2024 Jun 24;13(7):535. doi: 10.3390/pathogens13070535.
2
Inactivation efficacy and mechanisms of plasma activated water on bacteria in planktonic state.等离子体激活水对浮游状态细菌的灭活效果及机制。
J Appl Microbiol. 2020 Nov;129(5):1248-1260. doi: 10.1111/jam.14677. Epub 2020 Jun 9.
3
Off-site production of plasma-activated water for efficient disinfection: The crucial role of high valence NO and new chemical pathways.用于高效消毒的等离子体活化水的场外生产:高价态氮氧化物的关键作用及新的化学途径
Water Res. 2024 Dec 1;267:122541. doi: 10.1016/j.watres.2024.122541. Epub 2024 Sep 27.
4
Reactive species of plasma-activated water for murine norovirus 1 inactivation.等离子体激活水的反应性物种对鼠诺如病毒 1 的灭活作用。
Food Res Int. 2024 Oct;194:114877. doi: 10.1016/j.foodres.2024.114877. Epub 2024 Aug 6.
5
Insights on bacteria inactivation in water by cold plasma: Effect of water matrix and pulsed plasmas waveform on physicochemical water properties, species formation and inactivation efficiency of Escherichia coli.冷等离子体对水中细菌灭活的见解:水基质和脉冲等离子体波形对水的物理化学性质、物种形成及大肠杆菌灭活效率的影响
Environ Res. 2025 Feb 1;266:120467. doi: 10.1016/j.envres.2024.120467. Epub 2024 Nov 28.
6
An Effective Sanitizer for Fresh Produce Production: Plasma-Activated Water Treatment Inactivates Pathogenic Bacteria and Maintains the Quality of Cucurbit Fruit.一种有效的农产品生产用消毒剂:等离子体激活水可有效灭活病原菌并保持瓜果品质。
Microbiol Spectr. 2023 Aug 17;11(4):e0003423. doi: 10.1128/spectrum.00034-23. Epub 2023 Jul 10.
7
Plasma-activated water: Physicochemical properties, microbial inactivation mechanisms, factors influencing antimicrobial effectiveness, and applications in the food industry.等离子体激活水:理化性质、微生物失活动力学、影响抗菌效果的因素及在食品工业中的应用。
Compr Rev Food Sci Food Saf. 2020 Nov;19(6):3951-3979. doi: 10.1111/1541-4337.12644. Epub 2020 Oct 16.
8
Relationship between antibiotic- and disinfectant-resistance profiles in bacteria harvested from tap water.从自来水中采集的细菌的抗生素和消毒剂耐药谱之间的关系。
Chemosphere. 2016 Jun;152:132-41. doi: 10.1016/j.chemosphere.2016.02.086. Epub 2016 Mar 8.
9
Inactivation kinetics of Bacillus cereus spores by Plasma activated water (PAW).等离子体激活水(PAW)对蜡样芽孢杆菌孢子的灭活动力学。
Food Res Int. 2020 May;131:109041. doi: 10.1016/j.foodres.2020.109041. Epub 2020 Jan 27.
10
Microbial inactivation using plasma-activated water obtained by gliding electric discharges.利用滑动电弧放电产生的等离子体活化水进行微生物灭活。
Lett Appl Microbiol. 2009 Jan;48(1):13-8. doi: 10.1111/j.1472-765X.2008.02476.x.

引用本文的文献

1
Plasma-Activated Water Against Carbapenem-Resistant and Vancomycin-Resistant .等离子体活化水对抗耐碳青霉烯类和耐万古霉素类(细菌)
Pathogens. 2025 Apr 24;14(5):410. doi: 10.3390/pathogens14050410.

本文引用的文献

1
Advancements in Plasma Agriculture: A Review of Recent Studies.等离子体农业的进展:近期研究综述。
Int J Mol Sci. 2023 Oct 11;24(20):15093. doi: 10.3390/ijms242015093.
2
Effect of the pH on the Antibacterial Potential and Cytotoxicity of Different Plasma-Activated Liquids.不同等离子体激活液的 pH 值对其抑菌活性和细胞毒性的影响。
Int J Mol Sci. 2022 Nov 11;23(22):13893. doi: 10.3390/ijms232213893.
3
The antimicrobial efficacy of plasma-activated water against Listeria and E. coli is modulated by reactor design and water composition.
等离子体活化水对李斯特菌和大肠杆菌的抗菌效果受反应器设计和水成分的调节。
J Appl Microbiol. 2022 Apr;132(4):2490-2500. doi: 10.1111/jam.15429. Epub 2022 Jan 10.
4
The Feasibility Study of Plasma-activated Water as a Physical Therapy to Induce Apoptosis in Melanoma Cancer Cells .等离子体活化水作为一种诱导黑色素瘤癌细胞凋亡的物理疗法的可行性研究
Iran J Pharm Res. 2021 Summer;20(3):337-350. doi: 10.22037/ijpr.2021.114493.14882.
5
Metagenomic evidence for co-occurrence of antibiotic, biocide and metal resistance genes in pigs.元基因组证据表明抗生素、杀生物剂和金属耐药基因在猪中同时存在。
Environ Int. 2022 Jan;158:106899. doi: 10.1016/j.envint.2021.106899. Epub 2021 Sep 28.
6
From the soil to the clinic: the impact of microbial secondary metabolites on antibiotic tolerance and resistance.从土壤到临床:微生物次生代谢物对抗生素耐药性的影响。
Nat Rev Microbiol. 2022 Mar;20(3):129-142. doi: 10.1038/s41579-021-00620-w. Epub 2021 Sep 16.
7
Plasma Activated Oil: Fast Production, Reactivity, Stability, and Wound Healing Application.等离子体活化油:快速生产、反应性、稳定性及伤口愈合应用
ACS Biomater Sci Eng. 2019 Mar 11;5(3):1611-1622. doi: 10.1021/acsbiomaterials.9b00125. Epub 2019 Mar 1.
8
Plasma-activated water: Physicochemical properties, microbial inactivation mechanisms, factors influencing antimicrobial effectiveness, and applications in the food industry.等离子体激活水:理化性质、微生物失活动力学、影响抗菌效果的因素及在食品工业中的应用。
Compr Rev Food Sci Food Saf. 2020 Nov;19(6):3951-3979. doi: 10.1111/1541-4337.12644. Epub 2020 Oct 16.
9
Inactivation efficacy and mechanisms of plasma activated water on bacteria in planktonic state.等离子体激活水对浮游状态细菌的灭活效果及机制。
J Appl Microbiol. 2020 Nov;129(5):1248-1260. doi: 10.1111/jam.14677. Epub 2020 Jun 9.
10
Critical reviews and recent advances of novel non-thermal processing techniques on the modification of food allergens.新型非热加工技术对食品过敏原改性的研究进展与评价。
Crit Rev Food Sci Nutr. 2021;61(2):196-210. doi: 10.1080/10408398.2020.1722942. Epub 2020 Feb 12.