• 文献检索
  • 文档翻译
  • 深度研究
  • 学术资讯
  • Suppr Zotero 插件Zotero 插件
  • 邀请有礼
  • 套餐&价格
  • 历史记录
应用&插件
Suppr Zotero 插件Zotero 插件浏览器插件Mac 客户端Windows 客户端微信小程序
定价
高级版会员购买积分包购买API积分包
服务
文献检索文档翻译深度研究API 文档MCP 服务
关于我们
关于 Suppr公司介绍联系我们用户协议隐私条款
关注我们

Suppr 超能文献

核心技术专利:CN118964589B侵权必究
粤ICP备2023148730 号-1Suppr @ 2026

文献检索

告别复杂PubMed语法,用中文像聊天一样搜索,搜遍4000万医学文献。AI智能推荐,让科研检索更轻松。

立即免费搜索

文件翻译

保留排版,准确专业,支持PDF/Word/PPT等文件格式,支持 12+语言互译。

免费翻译文档

深度研究

AI帮你快速写综述,25分钟生成高质量综述,智能提取关键信息,辅助科研写作。

立即免费体验

牙髓生物陶瓷在人牙周膜来源细胞中的细胞相容性评价

An Evaluation of the Cytocompatibility of Endodontic Bioceramics in Human Periodontal-Ligament-Derived Cells.

作者信息

Aka Asuka, Matsuura Takashi, Yoshimura Atsutoshi

机构信息

Department of Periodontology and Endodontology, Nagasaki University Graduate School of Biomedical Sciences, Nagasaki City 852-8588, Nagasaki, Japan.

出版信息

J Funct Biomater. 2024 Aug 19;15(8):231. doi: 10.3390/jfb15080231.

DOI:10.3390/jfb15080231
PMID:39194670
原文链接:https://pmc.ncbi.nlm.nih.gov/articles/PMC11355906/
Abstract

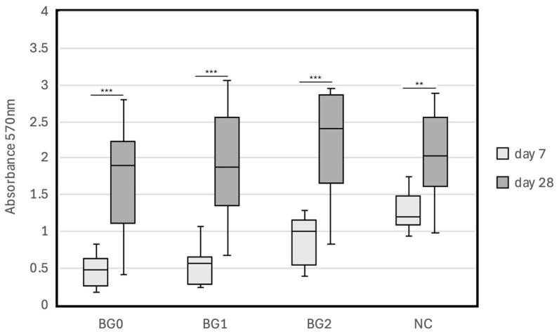
The present study evaluated the cytocompatibility of three endodontic bioceramics in human periodontal-ligament-derived cells (hPDLCs): MTA Repair HP (HP), MTA Flow White (F), and Nishika Canal Sealer BG multi (BG). In addition, we also evaluated the effect of the powder-liquid (paste) ratio of F and BG on cytocompatibility. Discs of endodontic bioceramics (diameter = 8 mm, thickness = 1 mm) were prepared with HP, F, and BG. hPDLCs obtained from extracted teeth and cultured for three to five passages were used in the experiment. The prepared discs were placed at the bottom of a 48-well plate, seeded with hPDLCs at 100,000 cells/well, cultured for 7 or 28 days, and subjected to a 3-[4,5-dimethylthiazol-2-yl]-2,5 diphenyl tetrazolium bromide assay. hPDLCs cultured without any discs were used as a negative control (NC) group. Discs made of F or BG mixed in three different consistencies were also used in this experiment. The absorbance values at days 7 and 28 were high in the order of HP > NC > BG > F. Furthermore, F or BG with higher consistency showed higher absorbance values. MTA Repair HP had the highest cytocompatibility among the three materials. Furthermore, it also showed that higher consistency improved cytocompatibility.

摘要

本研究评估了三种牙髓生物陶瓷材料在人牙周膜来源细胞(hPDLCs)中的细胞相容性:MTA Repair HP(HP)、MTA Flow White(F)和Nishika Canal Sealer BG multi(BG)。此外,我们还评估了F和BG的粉液(糊剂)比例对细胞相容性的影响。用HP、F和BG制备牙髓生物陶瓷圆盘(直径 = 8 mm,厚度 = 1 mm)。实验使用从拔除牙齿中获取并培养三至五代的hPDLCs。将制备好的圆盘置于48孔板底部,每孔接种100,000个hPDLCs,培养7天或28天,然后进行3-[4,5-二甲基噻唑-2-基]-2,5-二苯基溴化四氮唑测定。未放置任何圆盘培养的hPDLCs用作阴性对照(NC)组。本实验还使用了由F或BG以三种不同稠度混合制成的圆盘。在第7天和第28天的吸光度值按HP > NC > BG > F的顺序排列。此外,稠度较高的F或BG显示出较高的吸光度值。MTA Repair HP在这三种材料中具有最高的细胞相容性。此外,结果还表明较高的稠度可改善细胞相容性。

https://cdn.ncbi.nlm.nih.gov/pmc/blobs/1823/11355906/7046bf01472c/jfb-15-00231-g005.jpg
https://cdn.ncbi.nlm.nih.gov/pmc/blobs/1823/11355906/6ee829ef3515/jfb-15-00231-g001.jpg
https://cdn.ncbi.nlm.nih.gov/pmc/blobs/1823/11355906/dd2f51854450/jfb-15-00231-g002.jpg
https://cdn.ncbi.nlm.nih.gov/pmc/blobs/1823/11355906/b278e6732432/jfb-15-00231-g003.jpg
https://cdn.ncbi.nlm.nih.gov/pmc/blobs/1823/11355906/2b94a959313a/jfb-15-00231-g004.jpg
https://cdn.ncbi.nlm.nih.gov/pmc/blobs/1823/11355906/7046bf01472c/jfb-15-00231-g005.jpg
https://cdn.ncbi.nlm.nih.gov/pmc/blobs/1823/11355906/6ee829ef3515/jfb-15-00231-g001.jpg
https://cdn.ncbi.nlm.nih.gov/pmc/blobs/1823/11355906/dd2f51854450/jfb-15-00231-g002.jpg
https://cdn.ncbi.nlm.nih.gov/pmc/blobs/1823/11355906/b278e6732432/jfb-15-00231-g003.jpg
https://cdn.ncbi.nlm.nih.gov/pmc/blobs/1823/11355906/2b94a959313a/jfb-15-00231-g004.jpg
https://cdn.ncbi.nlm.nih.gov/pmc/blobs/1823/11355906/7046bf01472c/jfb-15-00231-g005.jpg

相似文献

1
An Evaluation of the Cytocompatibility of Endodontic Bioceramics in Human Periodontal-Ligament-Derived Cells.牙髓生物陶瓷在人牙周膜来源细胞中的细胞相容性评价
J Funct Biomater. 2024 Aug 19;15(8):231. doi: 10.3390/jfb15080231.
2
Evaluation of interfacial adaptation and penetration of bioceramic-based sealers in oval root canals: A confocal laser scanning microscope study.评价基于生物陶瓷的封闭剂在椭圆形根管中的界面适应性和渗透性:激光共聚焦扫描显微镜研究。
Microsc Res Tech. 2023 Jul;86(7):754-761. doi: 10.1002/jemt.24323. Epub 2023 Apr 20.
3
Evaluation of cytocompatibility of calcium silicate-based endodontic sealers and their effects on the biological responses of mesenchymal dental stem cells.硅酸钙基根管封闭剂的细胞相容性及其对间充质牙干细胞生物学反应的影响评估。
Int Endod J. 2017 Jan;50(1):67-76. doi: 10.1111/iej.12596. Epub 2016 Jan 22.
4
Biocompatibility of three new calcium silicate-based endodontic sealers on human periodontal ligament stem cells.三种新型硅酸钙基根管封闭剂对人牙周膜干细胞的生物相容性。
Int Endod J. 2017 Sep;50(9):875-884. doi: 10.1111/iej.12703. Epub 2016 Oct 22.
5
Characterization of a clonal human periodontal ligament stem cell line exposed to methacrylate resin-, bioactive glass-, or silicon-based root canal sealers.鉴定一株经甲基丙烯酸树脂、生物活性玻璃或硅基根管封闭剂处理的克隆人牙周膜干细胞系。
Odontology. 2022 Jan;110(1):127-137. doi: 10.1007/s10266-021-00648-7. Epub 2021 Aug 11.
6
Interfacial adaptation of newly prepared nano-tricalcium silicate-58s bioactive glass-based endodontic sealer.新制备的纳米硅酸三钙-58S生物活性玻璃基根管封闭剂的界面适应性
J Dent Res Dent Clin Dent Prospects. 2024 Spring;18(2):115-122. doi: 10.34172/joddd.40729. Epub 2024 Jun 24.
7
Biological effects of acid-eroded MTA Repair HP and ProRoot MTA on human periodontal ligament stem cells.酸蚀 MTA Repair HP 和 ProRoot MTA 对人牙周膜干细胞的生物学效应。
Clin Oral Investig. 2019 Oct;23(10):3915-3924. doi: 10.1007/s00784-019-02822-2. Epub 2019 Jan 25.
8
Comparative evaluation of the effect of calcium silicate and epoxy resinbased root canal sealers on postoperative pain in patients with primary endodontic lesion: A randomized clinical study.硅酸钙和环氧树脂类根管封闭剂对原发性牙髓病变患者术后疼痛影响的比较评价:一项随机临床研究。
J Conserv Dent. 2023 Mar-Apr;26(2):194-198. doi: 10.4103/jcd.jcd_602_22. Epub 2023 Mar 16.
9
Comparative Evaluation of Cytotoxicity of Root Canal Sealers on Cultured Human Periodontal Fibroblasts: In vitro Study.根管封闭剂对培养的人牙周膜成纤维细胞细胞毒性的比较评价:体外研究
J Contemp Dent Pract. 2018 Jul 1;19(7):847-852.
10
In vitro cytotoxicity of white MTA, MTA Fillapex® and Portland cement on human periodontal ligament fibroblasts.白色MTA、MTA Fillapex®和波特兰水泥对人牙周膜成纤维细胞的体外细胞毒性
Braz Dent J. 2013;24(2):111-6. doi: 10.1590/0103-6440201302115.

本文引用的文献

1
Effect of radiopacifier and liquid in the physicochemical and biological properties of calcium silicate clinker Angelus: A laboratory investigation.硫酸钡和液体对硅酸钙熟料 Angelus 理化性能及生物学性能的影响:实验室研究。
Aust Endod J. 2024 Apr;50(1):52-59. doi: 10.1111/aej.12808. Epub 2023 Oct 30.
2
Biocompatibility, bioactive potential, porosity, and interface analysis calcium silicate repair cements in a dentin tube model.牙本质小管模型中硅酸钙修复水泥的生物相容性、生物活性潜力、孔隙率及界面分析
Clin Oral Investig. 2023 Jul;27(7):3839-3853. doi: 10.1007/s00784-023-05002-5. Epub 2023 Apr 4.
3
Calcitriol and enamel matrix derivative differentially regulated cemento-induction and mineralization in human periodontal ligament-derived cells.
骨化三醇和釉基质衍生物对人牙周膜源性细胞的类骨质诱导和成骨分化有不同的调节作用。
J Periodontol. 2022 Oct;93(10):1553-1565. doi: 10.1002/JPER.21-0435. Epub 2022 Jan 19.
4
PRILE 2021 guidelines for reporting laboratory studies in Endodontology: explanation and elaboration.PRILE 2021 牙髓病学中实验室研究报告指南:说明和详述。
Int Endod J. 2021 Sep;54(9):1491-1515. doi: 10.1111/iej.13565. Epub 2021 Jul 10.
5
PRILE 2021 guidelines for reporting laboratory studies in Endodontology: A consensus-based development.PRILE 2021 牙髓病学中报告实验室研究的指南:基于共识的制定。
Int Endod J. 2021 Sep;54(9):1482-1490. doi: 10.1111/iej.13542. Epub 2021 Jun 13.
6
Comparison of Biocompatibility of Calcium Silicate-Based Sealers and Epoxy Resin-Based Sealer on Human Periodontal Ligament Stem Cells.硅酸钙基封闭剂与环氧树脂基封闭剂对人牙周膜干细胞生物相容性的比较
Materials (Basel). 2020 Nov 20;13(22):5242. doi: 10.3390/ma13225242.
7
Physical Properties and Biofunctionalities of Bioactive Root Canal Sealers In Vitro.生物活性根管封闭剂的物理性质和体外生物功能
Nanomaterials (Basel). 2020 Sep 4;10(9):1750. doi: 10.3390/nano10091750.
8
Physicochemical, antimicrobial, and biological properties of White-MTAFlow.White-MTAFlow 的理化性能、抗菌性能和生物学性能。
Clin Oral Investig. 2021 Feb;25(2):663-672. doi: 10.1007/s00784-020-03543-7. Epub 2020 Aug 31.
9
A laboratory evaluation of cell viability, radiopacity and tooth discoloration induced by regenerative endodontic materials.一种再生牙髓材料的细胞活力、射线可透性和致牙齿变色的实验室评估。
Int Endod J. 2020 Aug;53(8):1140-1152. doi: 10.1111/iej.13308. Epub 2020 May 21.
10
Comparative Cytocompatibility and Mineralization Potential of Bio-C Sealer and TotalFill BC Sealer.生物C封闭剂与TotalFill BC封闭剂的细胞相容性和矿化潜力比较
Materials (Basel). 2019 Sep 22;12(19):3087. doi: 10.3390/ma12193087.