Suppr超能文献

离焦一体化多节段设计对减缓儿童近视进展的效果随年龄变化的三年随访研究

Effectiveness of Defocus Incorporated Multiple Segments in Slowing Myopia Progression in Pediatric Patients as a Function of Age: Three-Year Follow-Up.

作者信息

Buzzonetti Luca, Petroni Sergio, Federici Matteo, Valente Paola, Iarossi Giancarlo

机构信息

Ophthalmology Unit, Bambino Gesù IRCCS Children's Hospital, Via Torre di Palidoro snc, Passoscuro, 00050 Rome, Italy.

出版信息

Diseases. 2024 Sep 18;12(9):222. doi: 10.3390/diseases12090222.

Abstract

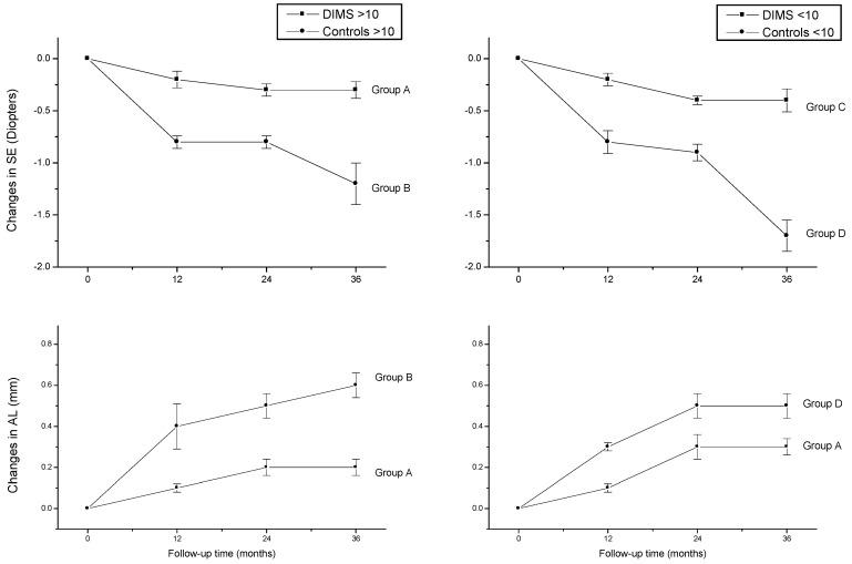
: The purpose of this study is to evaluate the effectiveness of Defocus Incorporated Multiple Segments (DIMSs) in slowing myopia progression in pediatric patients as a function of age. : This was a non-randomized experimenter-masked retrospective controlled observational study of European individuals aged 6-16 years with progressive myopia but no ocular pathology. We retrospectively reviewed the charts of the participants allocated to receive DIMS spectacles (Hoya MiyoSmart) or single-vision spectacle lenses (control group). Cycloplegic spherical equivalent (SE) and axial length (AL) were measured at baseline and at 12-, 24-, and 36-month follow-ups. The results were stratified by age into four groups: patients wearing DIMS spectacles older or younger than 10 years of age (group A, 20 patients mean age 13.6 ± 2.2, and group C, 20 patients mean age 9.0 ± 1.2) and age-matched control groups (group B, 18 patients mean age 13.2 ± 2.5, and group D, 22 patients mean age 8.5 ± 0.9). : At 36 months, SE and AL increase were significantly reduced in groups A and C, respectively, compared to groups B and D ( < 0.05). Linear regression analysis showed a significant correlation ( < 0.05) between patient age and myopia progression for SE in groups A and C, but only in group A for AL. Groups B and D did not show any significant correlation ( > 0.05). : DIMS spectacles seem to slow myopia progression in pediatric patients; however, their effectiveness shows the greatest results in children older than 10 years of age. Moreover, our findings suggest that AL may be the more reliable parameter for evaluating myopia progression.

摘要

本研究的目的是评估离焦整合多区(DIMS)镜片在减缓儿童近视进展方面随年龄变化的效果。这是一项针对6至16岁患有进行性近视但无眼部病变的欧洲个体的非随机、实验者设盲的回顾性对照观察研究。我们回顾性地查阅了分配接受DIMS眼镜(豪雅MiyoSmart)或单焦点眼镜镜片(对照组)的参与者的病历。在基线以及12个月、24个月和36个月随访时测量睫状肌麻痹后的等效球镜度(SE)和眼轴长度(AL)。结果按年龄分为四组:佩戴DIMS眼镜的10岁以上或以下患者(A组,20例,平均年龄13.6±2.2,C组,20例,平均年龄9.0±1.2)以及年龄匹配的对照组(B组,18例,平均年龄13.2±2.5,D组,22例,平均年龄8.5±0.9)。在36个月时,与B组和D组相比,A组和C组的SE和AL增加量分别显著降低(<0.05)。线性回归分析显示,A组和C组中患者年龄与SE近视进展之间存在显著相关性(<0.05),但仅在A组中年龄与AL近视进展存在显著相关性。B组和D组未显示任何显著相关性(>0.05)。DIMS眼镜似乎能减缓儿童近视进展;然而,其效果在10岁以上儿童中最为显著。此外,我们的研究结果表明,AL可能是评估近视进展更可靠的参数。

https://cdn.ncbi.nlm.nih.gov/pmc/blobs/17cc/11431822/ea01e1768e88/diseases-12-00222-g001.jpg

相似文献

3
Astigmatism and maternal myopia as important factors affecting success rate of DIMS lens treatment.
BMJ Open Ophthalmol. 2024 Mar 7;9(1):e001499. doi: 10.1136/bmjophth-2023-001499.
4
The Efficacy of Defocus Incorporated Multiple Segments Lenses in Slowing Myopia Progression: Results from Diverse Clinical Circumstances.
Ophthalmology. 2023 May;130(5):542-550. doi: 10.1016/j.ophtha.2023.01.007. Epub 2023 Jan 13.
5
Defocus Incorporated Multiple Segments (DIMS) spectacle lenses slow myopia progression: a 2-year randomised clinical trial.
Br J Ophthalmol. 2020 Mar;104(3):363-368. doi: 10.1136/bjophthalmol-2018-313739. Epub 2019 May 29.
9
The Impact of Vergence Dysfunction on Myopia Control in Children Wearing Defocus Spectacle Lenses.
Clin Ophthalmol. 2024 Mar 12;18:799-807. doi: 10.2147/OPTH.S453731. eCollection 2024.
10
Myopia control effect of defocus incorporated multiple segments (DIMS) spectacle lens in Chinese children: results of a 3-year follow-up study.
Br J Ophthalmol. 2022 Aug;106(8):1110-1114. doi: 10.1136/bjophthalmol-2020-317664. Epub 2021 Mar 17.

本文引用的文献

1
Advances in myopia control strategies for children.
Br J Ophthalmol. 2025 Jan 28;109(2):165-176. doi: 10.1136/bjo-2023-323887.
2
Myopia Control: Are We Ready for an Evidence Based Approach?
Ophthalmol Ther. 2024 Jun;13(6):1453-1477. doi: 10.1007/s40123-024-00951-w. Epub 2024 May 7.
4
Interventions for myopia control in children: a living systematic review and network meta-analysis.
Cochrane Database Syst Rev. 2023 Feb 16;2(2):CD014758. doi: 10.1002/14651858.CD014758.pub2.
6
One-year Efficacy of the Defocus Incorporated Multiple Segment Lens in Chinese Myopic Children.
Optom Vis Sci. 2023 Jan 1;100(1):111-116. doi: 10.1097/OPX.0000000000001976. Epub 2022 Dec 13.
7
Who needs myopia control?
Int J Ophthalmol. 2021 Sep 18;14(9):1297-1301. doi: 10.18240/ijo.2021.09.01. eCollection 2021.
8
Progression of myopia in children and teenagers: a nationwide longitudinal study.
Br J Ophthalmol. 2022 Aug;106(8):1104-1109. doi: 10.1136/bjophthalmol-2020-318256. Epub 2021 Mar 12.
9
Efficacy in myopia control.
Prog Retin Eye Res. 2021 Jul;83:100923. doi: 10.1016/j.preteyeres.2020.100923. Epub 2020 Nov 27.
10
Defocus Incorporated Multiple Segments (DIMS) spectacle lenses slow myopia progression: a 2-year randomised clinical trial.
Br J Ophthalmol. 2020 Mar;104(3):363-368. doi: 10.1136/bjophthalmol-2018-313739. Epub 2019 May 29.

文献AI研究员

20分钟写一篇综述,助力文献阅读效率提升50倍。

立即体验

用中文搜PubMed

大模型驱动的PubMed中文搜索引擎

马上搜索

文档翻译

学术文献翻译模型,支持多种主流文档格式。

立即体验