Suppr超能文献

利用量子运动方程和信息完备测量估计分子热平均值

Estimating Molecular Thermal Averages with the Quantum Equation of Motion and Informationally Complete Measurements.

作者信息

Morrone Daniele, Talarico N Walter, Cattaneo Marco, Rossi Matteo A C

机构信息

Quantum Technology Lab, Dipartimento di Fisica Aldo Pontremoli, Università degli Studi di Milano, I-20133 Milano, Italy.

Algorithmiq Ltd., Kanavakatu 3C, FI-00160 Helsinki, Finland.

出版信息

Entropy (Basel). 2024 Aug 23;26(9):722. doi: 10.3390/e26090722.

Abstract

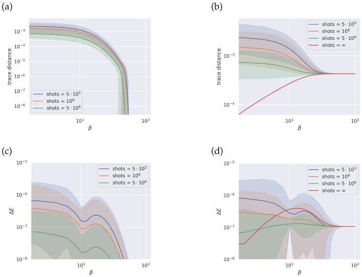
By leveraging the Variational Quantum Eigensolver (VQE), the "quantum equation of motion" (qEOM) method established itself as a promising tool for quantum chemistry on near-term quantum computers and has been used extensively to estimate molecular excited states. Here, we explore a novel application of this method, employing it to compute thermal averages of quantum systems, specifically molecules like ethylene and butadiene. A drawback of qEOM is that it requires measuring the expectation values of a large number of observables on the ground state of the system, and the number of necessary measurements can become a bottleneck of the method. In this work, we focus on measurements through informationally complete positive operator-valued measures (IC-POVMs) to achieve a reduction in the measurement overheads by estimating different observables of interest through the measurement of a single set of POVMs. We show with numerical simulations that the qEOM combined with IC-POVM measurements ensures satisfactory accuracy in the reconstruction of the thermal state with a reasonable number of shots.

摘要

通过利用变分量子本征求解器(VQE),“量子运动方程”(qEOM)方法已成为近期量子计算机上量子化学的一种有前途的工具,并已被广泛用于估计分子激发态。在此,我们探索该方法的一种新应用,即利用它来计算量子系统的热平均值,特别是像乙烯和丁二烯这样的分子。qEOM的一个缺点是它需要测量系统基态上大量可观测量的期望值,而所需测量的数量可能成为该方法的瓶颈。在这项工作中,我们专注于通过信息完备的正算子值测量(IC - POVM)进行测量,以通过测量一组单一的POVM来估计不同的感兴趣的可观测量,从而减少测量开销。我们通过数值模拟表明,qEOM与IC - POVM测量相结合,在合理的测量次数下能确保热态重构具有令人满意的精度。

https://cdn.ncbi.nlm.nih.gov/pmc/blobs/4fb2/11431056/15d398cceefe/entropy-26-00722-g001.jpg

文献检索

告别复杂PubMed语法,用中文像聊天一样搜索,搜遍4000万医学文献。AI智能推荐,让科研检索更轻松。

立即免费搜索

文件翻译

保留排版,准确专业,支持PDF/Word/PPT等文件格式,支持 12+语言互译。

免费翻译文档

深度研究

AI帮你快速写综述,25分钟生成高质量综述,智能提取关键信息,辅助科研写作。

立即免费体验