• 文献检索
  • 文档翻译
  • 深度研究
  • 学术资讯
  • Suppr Zotero 插件Zotero 插件
  • 邀请有礼
  • 套餐&价格
  • 历史记录
应用&插件
Suppr Zotero 插件Zotero 插件浏览器插件Mac 客户端Windows 客户端微信小程序
定价
高级版会员购买积分包购买API积分包
服务
文献检索文档翻译深度研究API 文档MCP 服务
关于我们
关于 Suppr公司介绍联系我们用户协议隐私条款
关注我们

Suppr 超能文献

核心技术专利:CN118964589B侵权必究
粤ICP备2023148730 号-1Suppr @ 2026

文献检索

告别复杂PubMed语法,用中文像聊天一样搜索,搜遍4000万医学文献。AI智能推荐,让科研检索更轻松。

立即免费搜索

文件翻译

保留排版,准确专业,支持PDF/Word/PPT等文件格式,支持 12+语言互译。

免费翻译文档

深度研究

AI帮你快速写综述,25分钟生成高质量综述,智能提取关键信息,辅助科研写作。

立即免费体验

布局顺序对界面复杂度的影响:仪表盘设计的眼动追踪研究

The Effects of Layout Order on Interface Complexity: An Eye-Tracking Study for Dashboard Design.

作者信息

Zhang Nuowen, Zhang Jing, Jiang Shangsong, Ge Weijia

机构信息

College of Furnishings and Industrial Design, Nanjing Forestry University, Nanjing 210037, China.

出版信息

Sensors (Basel). 2024 Sep 14;24(18):5966. doi: 10.3390/s24185966.

DOI:10.3390/s24185966
PMID:39338711
原文链接:https://pmc.ncbi.nlm.nih.gov/articles/PMC11435723/
Abstract

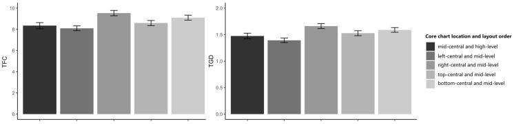
This study investigated the effect of layout order on the complexity of the dashboard interface based on screen-based eye trackers. By simplifying and abstracting dashboard interfaces and incorporating subjective ratings (symmetry and unity calculations), we successfully manipulated the levels of complexity and layout order of the interface materials. Using four types of eye movement data (total fixation count, total gaze duration, scanning paths, and hotspot maps) and behavioral data, we compared participants' visual search behavior on interfaces with different layout orders and complexity levels. Experiment 1 revealed a significant interaction between layout order and interface complexity, with participants performing significantly better in the high-level layout order condition. Experiment 2 confirmed that the position of the core chart plays a crucial role in users' visual search behavior and that the optimal layout order for the dashboard is to place the core chart on the left side of the interface's horizontal axis, with partial symmetry in the no-core chart areas. This study highlights the effectiveness of eye-tracking techniques in user interface design research and provides valuable insights into optimizing dashboard interface design. Designers should adopt the design principle of "order is more" in addition to "less is more" and consider designing the core chart in the left-center position.

摘要

本研究基于屏幕眼动仪,调查了布局顺序对仪表盘界面复杂度的影响。通过简化和抽象仪表盘界面,并纳入主观评分(对称性和整体性计算),我们成功地操控了界面材料的复杂度水平和布局顺序。使用四种眼动数据类型(总注视次数、总注视持续时间、扫描路径和热点图)以及行为数据,我们比较了参与者在具有不同布局顺序和复杂度水平的界面上的视觉搜索行为。实验1揭示了布局顺序与界面复杂度之间存在显著交互作用,参与者在高级布局顺序条件下表现明显更好。实验2证实,核心图表的位置在用户视觉搜索行为中起着关键作用,并且仪表盘的最佳布局顺序是将核心图表置于界面横轴左侧,在无核心图表区域具有部分对称性。本研究突出了眼动追踪技术在用户界面设计研究中的有效性,并为优化仪表盘界面设计提供了有价值的见解。设计师除了采用“少即是多”的设计原则外,还应采用“秩序更重要”的设计原则,并考虑将核心图表设计在左中位置。

https://cdn.ncbi.nlm.nih.gov/pmc/blobs/09c4/11435723/f072bb3863b2/sensors-24-05966-g011.jpg
https://cdn.ncbi.nlm.nih.gov/pmc/blobs/09c4/11435723/c224682b8943/sensors-24-05966-g001.jpg
https://cdn.ncbi.nlm.nih.gov/pmc/blobs/09c4/11435723/cc139c3c84e0/sensors-24-05966-g002.jpg
https://cdn.ncbi.nlm.nih.gov/pmc/blobs/09c4/11435723/be15faedac67/sensors-24-05966-g003.jpg
https://cdn.ncbi.nlm.nih.gov/pmc/blobs/09c4/11435723/a28e4cdef61d/sensors-24-05966-g004.jpg
https://cdn.ncbi.nlm.nih.gov/pmc/blobs/09c4/11435723/b86a855335b7/sensors-24-05966-g005.jpg
https://cdn.ncbi.nlm.nih.gov/pmc/blobs/09c4/11435723/602301bf25b6/sensors-24-05966-g006.jpg
https://cdn.ncbi.nlm.nih.gov/pmc/blobs/09c4/11435723/34d7204fe388/sensors-24-05966-g007.jpg
https://cdn.ncbi.nlm.nih.gov/pmc/blobs/09c4/11435723/bf8b0e8f89db/sensors-24-05966-g008.jpg
https://cdn.ncbi.nlm.nih.gov/pmc/blobs/09c4/11435723/61f25f0a3d81/sensors-24-05966-g009.jpg
https://cdn.ncbi.nlm.nih.gov/pmc/blobs/09c4/11435723/d1dfc7991f75/sensors-24-05966-g010.jpg
https://cdn.ncbi.nlm.nih.gov/pmc/blobs/09c4/11435723/f072bb3863b2/sensors-24-05966-g011.jpg
https://cdn.ncbi.nlm.nih.gov/pmc/blobs/09c4/11435723/c224682b8943/sensors-24-05966-g001.jpg
https://cdn.ncbi.nlm.nih.gov/pmc/blobs/09c4/11435723/cc139c3c84e0/sensors-24-05966-g002.jpg
https://cdn.ncbi.nlm.nih.gov/pmc/blobs/09c4/11435723/be15faedac67/sensors-24-05966-g003.jpg
https://cdn.ncbi.nlm.nih.gov/pmc/blobs/09c4/11435723/a28e4cdef61d/sensors-24-05966-g004.jpg
https://cdn.ncbi.nlm.nih.gov/pmc/blobs/09c4/11435723/b86a855335b7/sensors-24-05966-g005.jpg
https://cdn.ncbi.nlm.nih.gov/pmc/blobs/09c4/11435723/602301bf25b6/sensors-24-05966-g006.jpg
https://cdn.ncbi.nlm.nih.gov/pmc/blobs/09c4/11435723/34d7204fe388/sensors-24-05966-g007.jpg
https://cdn.ncbi.nlm.nih.gov/pmc/blobs/09c4/11435723/bf8b0e8f89db/sensors-24-05966-g008.jpg
https://cdn.ncbi.nlm.nih.gov/pmc/blobs/09c4/11435723/61f25f0a3d81/sensors-24-05966-g009.jpg
https://cdn.ncbi.nlm.nih.gov/pmc/blobs/09c4/11435723/d1dfc7991f75/sensors-24-05966-g010.jpg
https://cdn.ncbi.nlm.nih.gov/pmc/blobs/09c4/11435723/f072bb3863b2/sensors-24-05966-g011.jpg

相似文献

1
The Effects of Layout Order on Interface Complexity: An Eye-Tracking Study for Dashboard Design.布局顺序对界面复杂度的影响:仪表盘设计的眼动追踪研究
Sensors (Basel). 2024 Sep 14;24(18):5966. doi: 10.3390/s24185966.
2
The Impact of Interface Design Element Features on Task Performance in Older Adults: Evidence from Eye-Tracking and EEG Signals.界面设计元素特征对老年人任务绩效的影响:来自眼动追踪和 EEG 信号的证据。
Int J Environ Res Public Health. 2022 Jul 28;19(15):9251. doi: 10.3390/ijerph19159251.
3
Dashboard Layout Effects on Drivers' Searching Performance and Heart Rate: Experimental Investigation and Prediction.仪表盘布局对驾驶员搜索绩效和心率的影响:实验研究与预测。
Front Public Health. 2022 Feb 14;10:813859. doi: 10.3389/fpubh.2022.813859. eCollection 2022.
4
The influence of target layout and target graphic type on searching performance based on eye-tracking technology.基于眼动追踪技术的目标布局和目标图形类型对搜索性能的影响。
Front Psychol. 2023 Feb 9;14:1052488. doi: 10.3389/fpsyg.2023.1052488. eCollection 2023.
5
The effect of color coding and layout coding on users' visual search on mobile map navigation icons.颜色编码和布局编码对用户在移动地图导航图标上视觉搜索的影响。
Front Psychol. 2022 Dec 13;13:1040533. doi: 10.3389/fpsyg.2022.1040533. eCollection 2022.
6
User-interfaces layout optimization using eye-tracking, mouse movements and genetic algorithms.利用眼动追踪、鼠标移动和遗传算法进行用户界面布局优化。
Appl Ergon. 2019 Jul;78:197-209. doi: 10.1016/j.apergo.2019.03.004. Epub 2019 Mar 22.
7
User Perception and Eye Movement on A Pandemic Data Visualization Dashboard.用户对大流行数据可视化仪表板的感知与眼动
Proc Assoc Inf Sci Technol. 2022;59(1):121-131. doi: 10.1002/pra2.610. Epub 2022 Oct 14.
8
Gaze and Event Tracking for Evaluation of Recommendation-Driven Purchase.用于评估推荐驱动购买的注视和事件跟踪。
Sensors (Basel). 2021 Feb 16;21(4):1381. doi: 10.3390/s21041381.
9
The Influence of Target Layout and Clicking Method on Picking Time and Dragging Performance Based on Eye-Control Technique.基于眼控技术的目标布局和点击方法对拾取时间和拖动性能的影响
Front Psychol. 2020 Jul 15;11:1618. doi: 10.3389/fpsyg.2020.01618. eCollection 2020.
10
Image complexity analysis with scanpath identification using remote gaze estimation model.使用远程注视估计模型进行扫描路径识别的图像复杂度分析
Multimed Tools Appl. 2020;79(33-34):24393-24412. doi: 10.1007/s11042-020-09117-9. Epub 2020 Jun 20.

引用本文的文献

1
Research on the design of smartwatch health information visualization presentation under different motion scenarios.不同运动场景下智能手表健康信息可视化呈现的设计研究
Sci Rep. 2025 Jul 22;15(1):26646. doi: 10.1038/s41598-025-12226-w.
2
Evaluation method for public guidance service interface design based on improved grey H-Convex correlation model: integrating layout aesthetics and user visual cognition.基于改进灰色H-凸关联模型的公共引导服务界面设计评估方法:融合布局美学与用户视觉认知
Sci Rep. 2025 May 5;15(1):15712. doi: 10.1038/s41598-025-00633-y.

本文引用的文献

1
Developing public health surveillance dashboards: a scoping review on the design principles.开发公共卫生监测仪表板:设计原则的范围综述。
BMC Public Health. 2024 Feb 6;24(1):392. doi: 10.1186/s12889-024-17841-2.
2
The Effects of Visual Complexity and Task Difficulty on the Comprehensive Cognitive Efficiency of Cluster Separation Tasks.视觉复杂性和任务难度对聚类分离任务综合认知效率的影响
Behav Sci (Basel). 2023 Oct 9;13(10):827. doi: 10.3390/bs13100827.
3
DMiner: Dashboard Design Mining and Recommendation.DMiner:仪表板设计挖掘与推荐
IEEE Trans Vis Comput Graph. 2024 Jul;30(7):4108-4121. doi: 10.1109/TVCG.2023.3251344. Epub 2024 Jun 27.
4
Co-Operative Design of a Coach Dashboard for Training Monitoring and Feedback.合作设计教练仪表盘,用于培训监测和反馈。
Sensors (Basel). 2022 Nov 23;22(23):9073. doi: 10.3390/s22239073.
5
Influence of nuclear power plant interface complexity on user decision-making: an ERP study.核电站接口复杂性对用户决策的影响:一项 ERP 研究。
Ergonomics. 2023 Aug;66(8):1099-1117. doi: 10.1080/00140139.2022.2134590. Epub 2022 Oct 26.
6
Dashboard Design Patterns.仪表板设计模式。
IEEE Trans Vis Comput Graph. 2023 Jan;29(1):342-352. doi: 10.1109/TVCG.2022.3209448. Epub 2022 Dec 16.
7
Allocation of resources in working memory: Theoretical and empirical implications for visual search.工作记忆中的资源分配:对视觉搜索的理论和经验影响。
Psychon Bull Rev. 2021 Aug;28(4):1093-1111. doi: 10.3758/s13423-021-01881-5. Epub 2021 Mar 17.
8
Visual order of Chinese ink paintings.中国水墨画的视觉秩序。
Vis Comput Ind Biomed Art. 2020 Oct 12;3(1):23. doi: 10.1186/s42492-020-00059-5.
9
Familiarity acts as a reduction in objective complexity.熟悉会降低客观复杂性。
Mem Cognit. 2020 Nov;48(8):1376-1387. doi: 10.3758/s13421-020-01055-z.
10
Quantitative Evaluation of Visual Aesthetics of Human-Machine Interaction Interface Layout.人机交互界面布局的视觉美学的定量评估。
Comput Intell Neurosci. 2020 Mar 10;2020:9815937. doi: 10.1155/2020/9815937. eCollection 2020.