Suppr超能文献

人工智能赋能中医?

AI empowering traditional Chinese medicine?

作者信息

Song Zhilin, Chen Guanxing, Chen Calvin Yu-Chian

机构信息

State Key Laboratory of Chemical Oncogenomics, School of Chemical Biology and Biotechnology, Peking University Shenzhen Graduate School Shenzhen Guangdong 518055 China

AI for Science (AI4S)-Preferred Program, School of Electronic and Computer Engineering, Peking University Shenzhen Graduate School Shenzhen Guangdong 518055 China.

出版信息

Chem Sci. 2024 Sep 23;15(41):16844-86. doi: 10.1039/d4sc04107k.

Abstract

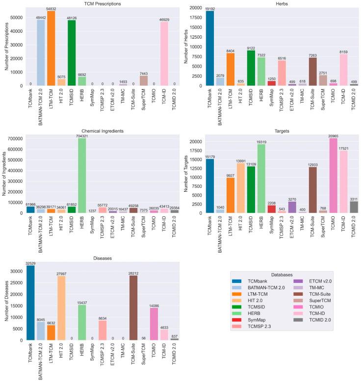
For centuries, Traditional Chinese Medicine (TCM) has been a prominent treatment method in China, incorporating acupuncture, herbal remedies, massage, and dietary therapy to promote holistic health and healing. TCM has played a major role in drug discovery, with over 60% of small-molecule drugs approved by the FDA from 1981 to 2019 being derived from natural products. However, TCM modernization faces challenges such as data standardization and the complexity of TCM formulations. The establishment of comprehensive TCM databases has significantly improved the efficiency and accuracy of TCM research, enabling easier access to information on TCM ingredients and encouraging interdisciplinary collaborations. These databases have revolutionized TCM research, facilitating advancements in TCM modernization and patient care. In addition, advancements in AI algorithms and database data quality have accelerated progress in AI for TCM. The application of AI in TCM encompasses a wide range of areas, including herbal screening and new drug discovery, diagnostic and treatment principles, pharmacological mechanisms, network pharmacology, and the incorporation of innovative AI technologies. AI also has the potential to enable personalized medicine by identifying patterns and correlations in patient data, leading to more accurate diagnoses and tailored treatments. The potential benefits of AI for TCM are vast and diverse, promising continued progress and innovation in the field.

摘要

几个世纪以来,传统中医(TCM)在中国一直是一种重要的治疗方法,它融合了针灸、草药、按摩和饮食疗法,以促进整体健康和康复。传统中医在药物发现中发挥了重要作用,1981年至2019年期间,美国食品药品监督管理局(FDA)批准的小分子药物中,超过60%来自天然产物。然而,中医现代化面临着数据标准化和中药配方复杂性等挑战。综合中医数据库的建立显著提高了中医研究的效率和准确性,使人们更容易获取有关中药成分的信息,并鼓励跨学科合作。这些数据库彻底改变了中医研究,推动了中医现代化和患者护理的进步。此外,人工智能算法和数据库数据质量的进步加速了中医人工智能的发展。人工智能在中医中的应用涵盖了广泛的领域,包括草药筛选和新药发现、诊断和治疗原则、药理机制、网络药理学以及创新人工智能技术的融合。人工智能还具有通过识别患者数据中的模式和相关性来实现个性化医疗的潜力,从而实现更准确的诊断和量身定制的治疗。人工智能对中医的潜在好处是巨大而多样的,有望在该领域持续取得进展和创新。

https://cdn.ncbi.nlm.nih.gov/pmc/blobs/f663/11498129/dd7542f01a49/d4sc04107k-f1.jpg

文献检索

告别复杂PubMed语法,用中文像聊天一样搜索,搜遍4000万医学文献。AI智能推荐,让科研检索更轻松。

立即免费搜索

文件翻译

保留排版,准确专业,支持PDF/Word/PPT等文件格式,支持 12+语言互译。

免费翻译文档

深度研究

AI帮你快速写综述,25分钟生成高质量综述,智能提取关键信息,辅助科研写作。

立即免费体验