• 文献检索
  • 文档翻译
  • 深度研究
  • 学术资讯
  • Suppr Zotero 插件Zotero 插件
  • 邀请有礼
  • 套餐&价格
  • 历史记录
应用&插件
Suppr Zotero 插件Zotero 插件浏览器插件Mac 客户端Windows 客户端微信小程序
定价
高级版会员购买积分包购买API积分包
服务
文献检索文档翻译深度研究API 文档MCP 服务
关于我们
关于 Suppr公司介绍联系我们用户协议隐私条款
关注我们

Suppr 超能文献

核心技术专利:CN118964589B侵权必究
粤ICP备2023148730 号-1Suppr @ 2026

文献检索

告别复杂PubMed语法,用中文像聊天一样搜索,搜遍4000万医学文献。AI智能推荐,让科研检索更轻松。

立即免费搜索

文件翻译

保留排版,准确专业,支持PDF/Word/PPT等文件格式,支持 12+语言互译。

免费翻译文档

深度研究

AI帮你快速写综述,25分钟生成高质量综述,智能提取关键信息,辅助科研写作。

立即免费体验

磷脂酰乙醇胺甲基转移酶PmtA介导细菌磷脂酰胆碱合成的结构见解

Structural insights into phosphatidylethanolamine -methyltransferase PmtA mediating bacterial phosphatidylcholine synthesis.

作者信息

Salsabila Salma D, Kim Jungwook

机构信息

Department of Chemistry, Gwangju Institute of Science and Technology, Gwangju 61005, Republic of Korea.

出版信息

Sci Adv. 2024 Oct 4;10(40):eadr0122. doi: 10.1126/sciadv.adr0122. Epub 2024 Oct 2.

DOI:10.1126/sciadv.adr0122
PMID:39356767
原文链接:https://pmc.ncbi.nlm.nih.gov/articles/PMC11446283/
Abstract

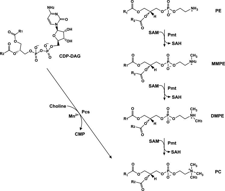
Phosphatidylethanolamine -methyltransferase (PmtA) catalyzes the biosynthesis of phosphatidylcholine (PC) from phosphatidylethanolamine (PE). Although PC is one of the major phospholipids constituting bilayer membranes in eukaryotes, certain bacterial species encode PmtA, a membrane-associated methyltransferase, to produce PC, which is correlated with cellular stress responses, adaptability to environmental changes, and symbiosis or virulence with eukaryotic hosts. Depending on the organism, multiple PmtAs may be required for producing monomethyl- and dimethyl-PE derivatives along with PC, whereas in organisms such as , a single enzyme is sufficient to direct all three methylation steps. In this study, we present the x-ray crystal structures of PmtA from in complex with dimethyl-PE and -adenosyl-l-homocysteine, as well as in its lipid-free form. Moreover, we demonstrate that the enzyme associates with the cellular membrane via electrostatic interactions facilitated by a group of critical basic residues and can successively methylate PE and its methylated derivatives, culminating in the production of PC.

摘要

磷脂酰乙醇胺甲基转移酶(PmtA)催化由磷脂酰乙醇胺(PE)生物合成磷脂酰胆碱(PC)。尽管PC是构成真核生物双层膜的主要磷脂之一,但某些细菌物种编码与膜相关的甲基转移酶PmtA来产生PC,这与细胞应激反应、对环境变化的适应性以及与真核宿主的共生或毒力相关。根据生物体的不同,产生单甲基和二甲基PE衍生物以及PC可能需要多种PmtA,而在诸如[此处缺失具体生物体名称]的生物体中,单一酶足以指导所有三个甲基化步骤。在本研究中,我们展示了来自[此处缺失具体生物体名称]的PmtA与二甲基PE和S-腺苷-L-高半胱氨酸复合物的X射线晶体结构,以及其无脂质形式的结构。此外,我们证明该酶通过一组关键碱性残基促进的静电相互作用与细胞膜结合,并能依次甲基化PE及其甲基化衍生物,最终产生PC。

https://cdn.ncbi.nlm.nih.gov/pmc/blobs/fb5d/11446283/f7a8f703e448/sciadv.adr0122-f6.jpg
https://cdn.ncbi.nlm.nih.gov/pmc/blobs/fb5d/11446283/44310ebf6aa9/sciadv.adr0122-f1.jpg
https://cdn.ncbi.nlm.nih.gov/pmc/blobs/fb5d/11446283/fc8c8c99ec10/sciadv.adr0122-f2.jpg
https://cdn.ncbi.nlm.nih.gov/pmc/blobs/fb5d/11446283/ca22ef11c91b/sciadv.adr0122-f3.jpg
https://cdn.ncbi.nlm.nih.gov/pmc/blobs/fb5d/11446283/db361e3d266a/sciadv.adr0122-f4.jpg
https://cdn.ncbi.nlm.nih.gov/pmc/blobs/fb5d/11446283/e1270e8b3bba/sciadv.adr0122-f5.jpg
https://cdn.ncbi.nlm.nih.gov/pmc/blobs/fb5d/11446283/f7a8f703e448/sciadv.adr0122-f6.jpg
https://cdn.ncbi.nlm.nih.gov/pmc/blobs/fb5d/11446283/44310ebf6aa9/sciadv.adr0122-f1.jpg
https://cdn.ncbi.nlm.nih.gov/pmc/blobs/fb5d/11446283/fc8c8c99ec10/sciadv.adr0122-f2.jpg
https://cdn.ncbi.nlm.nih.gov/pmc/blobs/fb5d/11446283/ca22ef11c91b/sciadv.adr0122-f3.jpg
https://cdn.ncbi.nlm.nih.gov/pmc/blobs/fb5d/11446283/db361e3d266a/sciadv.adr0122-f4.jpg
https://cdn.ncbi.nlm.nih.gov/pmc/blobs/fb5d/11446283/e1270e8b3bba/sciadv.adr0122-f5.jpg
https://cdn.ncbi.nlm.nih.gov/pmc/blobs/fb5d/11446283/f7a8f703e448/sciadv.adr0122-f6.jpg

相似文献

1
Structural insights into phosphatidylethanolamine -methyltransferase PmtA mediating bacterial phosphatidylcholine synthesis.磷脂酰乙醇胺甲基转移酶PmtA介导细菌磷脂酰胆碱合成的结构见解
Sci Adv. 2024 Oct 4;10(40):eadr0122. doi: 10.1126/sciadv.adr0122. Epub 2024 Oct 2.
2
In vitro characterization of the enzyme properties of the phospholipid N-methyltransferase PmtA from Agrobacterium tumefaciens.根癌土壤杆菌磷脂N-甲基转移酶PmtA酶特性的体外表征
J Bacteriol. 2009 Apr;191(7):2033-41. doi: 10.1128/JB.01591-08. Epub 2009 Jan 30.
3
Dissection of membrane-binding and -remodeling regions in two classes of bacterial phospholipid N-methyltransferases.两类细菌磷脂 N-甲基转移酶中膜结合和重塑区域的剖析。
Biochim Biophys Acta Biomembr. 2017 Dec;1859(12):2279-2288. doi: 10.1016/j.bbamem.2017.09.013. Epub 2017 Sep 11.
4
Phosphatidylcholine levels in Bradyrhizobium japonicum membranes are critical for an efficient symbiosis with the soybean host plant.慢生根瘤菌膜中的磷脂酰胆碱水平对于与大豆宿主植物的有效共生至关重要。
Mol Microbiol. 2001 Mar;39(5):1186-98.
5
Membrane Remodeling by a Bacterial Phospholipid-Methylating Enzyme.一种细菌磷脂甲基化酶对膜的重塑作用。
mBio. 2017 Feb 14;8(1):e02082-16. doi: 10.1128/mBio.02082-16.
6
Phospholipid -Methyltransferases Produce Various Methylated Phosphatidylethanolamine Derivatives in Thermophilic Bacteria.磷脂 -N- 甲基转移酶在嗜热细菌中产生各种甲基化的磷脂酰乙醇胺衍生物。
Appl Environ Microbiol. 2021 Sep 10;87(19):e0110521. doi: 10.1128/AEM.01105-21.
7
Isolation and functional expression in Escherichia coli of a gene encoding phosphatidylethanolamine methyltransferase (EC 2.1.1.17) from Rhodobacter sphaeroides.来自球形红杆菌的编码磷脂酰乙醇胺甲基转移酶(EC 2.1.1.17)的基因在大肠杆菌中的分离及功能表达。
J Biol Chem. 1993 Jul 25;268(21):16002-8.
8
Membrane-binding mechanism of a bacterial phospholipid N-methyltransferase.一种细菌磷脂N-甲基转移酶的膜结合机制
Mol Microbiol. 2015 Jan;95(2):313-31. doi: 10.1111/mmi.12870. Epub 2014 Dec 19.
9
S-adenosylmethionine-binding properties of a bacterial phospholipid N-methyltransferase.细菌磷脂 N-甲基转移酶的 S-腺苷甲硫氨酸结合特性。
J Bacteriol. 2011 Jul;193(14):3473-81. doi: 10.1128/JB.01539-10. Epub 2011 May 20.
10
Evolution of the Phosphatidylcholine Biosynthesis Pathways in Green Algae: Combinatorial Diversity of Methyltransferases.绿色藻类中磷酸甘油酯生物合成途径的进化:甲基转移酶的组合多样性。
J Mol Evol. 2018 Jan;86(1):68-76. doi: 10.1007/s00239-017-9826-4. Epub 2018 Jan 12.

引用本文的文献

1
Mendelian randomization analysis reveals potential causal relationships between serum lipid metabolites and prostate cancer risk.孟德尔随机化分析揭示了血清脂质代谢物与前列腺癌风险之间的潜在因果关系。
Discov Oncol. 2025 Apr 24;16(1):602. doi: 10.1007/s12672-025-02388-4.
2
Structural basis for phosphatidylcholine synthesis by bacterial phospholipid N-methyltransferases.细菌磷脂N-甲基转移酶合成磷脂酰胆碱的结构基础
J Biol Chem. 2025 May;301(5):108507. doi: 10.1016/j.jbc.2025.108507. Epub 2025 Apr 11.

本文引用的文献

1
Structural basis for the selective methylation of 5-carboxymethoxyuridine in tRNA modification.tRNA 修饰中 5-羧基甲氧基尿嘧啶选择性甲基化的结构基础。
Nucleic Acids Res. 2023 Sep 22;51(17):9432-9441. doi: 10.1093/nar/gkad668.
2
DALI shines a light on remote homologs: One hundred discoveries.DALI 揭示了远程同源物:一百项发现。
Protein Sci. 2023 Jan;32(1):e4519. doi: 10.1002/pro.4519.
3
CCP4 Cloud for structure determination and project management in macromolecular crystallography.CCP4 云服务:用于大分子晶体学中的结构测定和项目管理。
Acta Crystallogr D Struct Biol. 2022 Sep 1;78(Pt 9):1079-1089. doi: 10.1107/S2059798322007987. Epub 2022 Aug 30.
4
HMDB 5.0: the Human Metabolome Database for 2022.HMDB 5.0:2022 年人类代谢组数据库。
Nucleic Acids Res. 2022 Jan 7;50(D1):D622-D631. doi: 10.1093/nar/gkab1062.
5
AlphaFold Protein Structure Database: massively expanding the structural coverage of protein-sequence space with high-accuracy models.AlphaFold 蛋白质结构数据库:用高精度模型极大地扩展蛋白质序列空间的结构覆盖范围。
Nucleic Acids Res. 2022 Jan 7;50(D1):D439-D444. doi: 10.1093/nar/gkab1061.
6
Spatial arrangement of proteins in planar and curved membranes by PPM 3.0.PPM 3.0 对平面和弯曲膜中蛋白质的空间排布。
Protein Sci. 2022 Jan;31(1):209-220. doi: 10.1002/pro.4219. Epub 2021 Nov 8.
7
Phospholipid -Methyltransferases Produce Various Methylated Phosphatidylethanolamine Derivatives in Thermophilic Bacteria.磷脂 -N- 甲基转移酶在嗜热细菌中产生各种甲基化的磷脂酰乙醇胺衍生物。
Appl Environ Microbiol. 2021 Sep 10;87(19):e0110521. doi: 10.1128/AEM.01105-21.
8
TISIGNER.com: web services for improving recombinant protein production.TISIGNER.com:用于改进重组蛋白生产的网络服务。
Nucleic Acids Res. 2021 Jul 2;49(W1):W654-W661. doi: 10.1093/nar/gkab175.
9
Structural insights into phosphatidylethanolamine formation in bacterial membrane biogenesis.细菌膜生物发生中磷脂酰乙醇胺形成的结构见解。
Sci Rep. 2021 Mar 11;11(1):5785. doi: 10.1038/s41598-021-85195-5.
10
Phosphatidylcholine Biosynthesis in Mitis Group Streptococci via Host Metabolite Scavenging.通过宿主代谢物的摄取,口腔链球菌属中磷酯酰胆碱的生物合成。
J Bacteriol. 2019 Oct 21;201(22). doi: 10.1128/JB.00495-19. Print 2019 Nov 15.