Suppr超能文献

针对认知功能衰退个体的基于语音的自动化远程测试:转录准确性的贝叶斯一致性

Automated remote speech-based testing of individuals with cognitive decline: Bayesian agreement of transcription accuracy.

作者信息

König Alexandra, Köhler Stefanie, Tröger Johannes, Düzel Emrah, Glanz Wenzel, Butryn Michaela, Mallick Elisa, Priller Josef, Altenstein Slawek, Spottke Annika, Kimmich Okka, Falkenburger Björn, Osterrath Antje, Wiltfang Jens, Bartels Claudia, Kilimann Ingo, Laske Christoph, Munk Matthias H, Roeske Sandra, Frommann Ingo, Hoffmann Daniel C, Jessen Frank, Wagner Michael, Linz Nicklas, Teipel Stefan

机构信息

ki:elements GmbH Saarbrücken Germany.

Université Côte d'Azur, Centre Hospitalier et Universitaire, Clinique Gériatrique du Cerveau et du Mouvement, Centre Mémoire de Ressources et de Recherche Nice France.

出版信息

Alzheimers Dement (Amst). 2024 Oct 6;16(4):e70011. doi: 10.1002/dad2.70011. eCollection 2024 Oct-Dec.

Abstract

INTRODUCTION

We investigated the agreement between automated and gold-standard manual transcriptions of telephone chatbot-based semantic verbal fluency testing.

METHODS

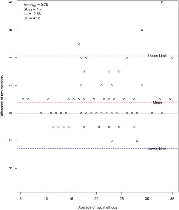
We examined 78 cases from the Screening over Speech in Unselected Populations for Clinical Trials in AD (PROSPECT-AD) study, including cognitively normal individuals and individuals with subjective cognitive decline, mild cognitive impairment, and dementia. We used Bayesian Bland-Altman analysis of word count and the qualitative features of semantic cluster size, cluster switches, and word frequencies.

RESULTS

We found high levels of agreement for word count, with a 93% probability of a newly observed difference being below the minimally important difference. The qualitative features had fair levels of agreement. Word count reached high levels of discrimination between cognitively impaired and unimpaired individuals, regardless of transcription mode.

DISCUSSION

Our results support the use of automated speech recognition particularly for the assessment of quantitative speech features, even when using data from telephone calls with cognitively impaired individuals in their homes.

HIGHLIGHTS

High levels of agreement were found between automated and gold-standard manual transcriptions of telephone chatbot-based semantic verbal fluency testing, particularly for word count.The qualitative features had fair levels of agreement.Word count reached high levels of discrimination between cognitively impaired and unimpaired individuals, regardless of transcription mode.Automated speech recognition for the assessment of quantitative and qualitative speech features, even when using data from telephone calls with cognitively impaired individuals in their homes, seems feasible and reliable.

摘要

引言

我们研究了基于电话聊天机器人的语义言语流畅性测试的自动转录与金标准手动转录之间的一致性。

方法

我们检查了来自未选择人群中用于阿尔茨海默病临床试验的言语筛查(PROSPECT-AD)研究中的78个病例,包括认知正常个体以及有主观认知下降、轻度认知障碍和痴呆的个体。我们使用了贝叶斯布兰德-奥特曼分析来分析单词计数以及语义簇大小、簇转换和单词频率的定性特征。

结果

我们发现单词计数的一致性水平很高,新观察到的差异低于最小重要差异的概率为93%。定性特征的一致性水平一般。无论转录方式如何,单词计数在认知受损和未受损个体之间都达到了很高的区分度。

讨论

我们的结果支持使用自动语音识别,特别是用于定量语音特征的评估,即使是使用来自在家中与认知受损个体的电话通话数据。

要点

基于电话聊天机器人的语义言语流畅性测试的自动转录与金标准手动转录之间发现了很高的一致性水平,特别是对于单词计数。定性特征的一致性水平一般。无论转录方式如何,单词计数在认知受损和未受损个体之间都达到了很高的区分度。即使是使用来自在家中与认知受损个体的电话通话数据,自动语音识别用于评估定量和定性语音特征似乎也是可行且可靠的。

https://cdn.ncbi.nlm.nih.gov/pmc/blobs/2537/11456616/771dce7e58a8/DAD2-16-e70011-g003.jpg

文献检索

告别复杂PubMed语法,用中文像聊天一样搜索,搜遍4000万医学文献。AI智能推荐,让科研检索更轻松。

立即免费搜索

文件翻译

保留排版,准确专业,支持PDF/Word/PPT等文件格式,支持 12+语言互译。

免费翻译文档

深度研究

AI帮你快速写综述,25分钟生成高质量综述,智能提取关键信息,辅助科研写作。

立即免费体验