Suppr超能文献

帕金森病患者脑脊液中总α-突触核蛋白、磷酸化α-突触核蛋白和寡聚化α-突触核蛋白:一项系统评价、Meta分析和Meta回归研究

Cerebrospinal Fluid Total, Phosphorylated and Oligomeric A-Synuclein in Parkinson's Disease: A Systematic Review, Meta-Analysis and Meta-Regression Study.

作者信息

Kapsali Ioanna, Brinia Maria-Evgenia, Constantinides Vasilios C

机构信息

Neurodegenerative Disorders and Epilepsy Ward, First Department of Neurology, Eginition Hospital, National and Kapodistrian University of Athens, 11528 Athens, Greece.

Neurochemistry and Biomarkers Unit, First Department of Neurology, Eginition Hospital, National and Kapodistrian University of Athens, 11528 Athens, Greece.

出版信息

Biomedicines. 2024 Oct 5;12(10):2266. doi: 10.3390/biomedicines12102266.

Abstract

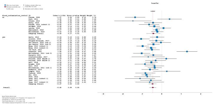
: The diagnostic accuracy for Parkinson's disease (PD), a synucleinopathy, based on diagnostic criteria is suboptimal. A biomarker for synucleinopathies is pivotal both from a clinical and from a research point of view. CSF a-synuclein has been extensively studied over the past two decades as a candidate biomarker of synucleinopathies. Herein, we present data on studies focusing on total, phosphorylated and oligomeric CSF a-synuclein in PD. : Pubmed, Scopus and Web of Science were searched for studies with >10 PD patients and control subjects, with data (mean, SD) on total, phosphorylated or oligomeric a-synuclein. Cohen's , as a measure of effect size, was calculated for all a-synuclein forms. Subgroup analysis and meta-regression were performed in an effort to explain between-study heterogeneity. : Thirty studies on total, six studies on oligomeric and one study on phosphorylated a-synuclein were included. Total a-synuclein was decreased and oligomeric a-synuclein increased in PD patients vs. controls. The effect size was medium for total and high for oligomeric a-synuclein. A-syn forms provided suboptimal combined sensitivity/specificity for the differentiation of PD from controls. There was significant between-study heterogeneity. The PD cohort characteristics (sex, age, disease duration, UPDRS, H & Y) and study characteristics (study design, healthy vs. neurological controls, control for CSF blood contamination, method of a-syn measurement) could not account for between-study heterogeneity. Publication bias was limited. : CSF a-synuclein levels lack sufficient accuracy to be used as biomarkers for PD. The standardization of (pre)analytical variables may improve the discriminatory power of a-synuclein forms in the future.

摘要

基于诊断标准对帕金森病(一种突触核蛋白病)的诊断准确性并不理想。从临床和研究角度来看,突触核蛋白病的生物标志物都至关重要。在过去二十年里,脑脊液α-突触核蛋白作为突触核蛋白病的候选生物标志物受到了广泛研究。在此,我们展示了关于帕金森病患者脑脊液中总α-突触核蛋白、磷酸化α-突触核蛋白和寡聚化α-突触核蛋白的研究数据。在PubMed、Scopus和Web of Science数据库中检索了涉及10名以上帕金森病患者和对照受试者,且包含总α-突触核蛋白、磷酸化α-突触核蛋白或寡聚化α-突触核蛋白数据(均值、标准差)的研究。计算了所有α-突触核蛋白形式的Cohen's d效应量。进行了亚组分析和Meta回归以解释研究间的异质性。纳入了30项关于总α-突触核蛋白的研究、6项关于寡聚化α-突触核蛋白的研究和1项关于磷酸化α-突触核蛋白的研究。与对照组相比,帕金森病患者脑脊液中的总α-突触核蛋白减少,寡聚化α-突触核蛋白增加。总α-突触核蛋白的效应量为中等,寡聚化α-突触核蛋白的效应量为高。α-突触核蛋白的不同形式在区分帕金森病患者与对照方面的联合敏感性/特异性并不理想。研究间存在显著的异质性。帕金森病队列特征(性别、年龄、病程、统一帕金森病评定量表、 Hoehn-Yahr分级)和研究特征(研究设计、健康对照与神经疾病对照、脑脊液血液污染控制、α-突触核蛋白测量方法)无法解释研究间的异质性。发表偏倚有限。脑脊液α-突触核蛋白水平缺乏足够的准确性来用作帕金森病的生物标志物。(分析前)分析变量的标准化可能会在未来提高α-突触核蛋白不同形式的鉴别能力。

https://cdn.ncbi.nlm.nih.gov/pmc/blobs/463e/11504870/5424bb3601b4/biomedicines-12-02266-g001.jpg

文献检索

告别复杂PubMed语法,用中文像聊天一样搜索,搜遍4000万医学文献。AI智能推荐,让科研检索更轻松。

立即免费搜索

文件翻译

保留排版,准确专业,支持PDF/Word/PPT等文件格式,支持 12+语言互译。

免费翻译文档

深度研究

AI帮你快速写综述,25分钟生成高质量综述,智能提取关键信息,辅助科研写作。

立即免费体验