• 文献检索
  • 文档翻译
  • 深度研究
  • 学术资讯
  • Suppr Zotero 插件Zotero 插件
  • 邀请有礼
  • 套餐&价格
  • 历史记录
应用&插件
Suppr Zotero 插件Zotero 插件浏览器插件Mac 客户端Windows 客户端微信小程序
定价
高级版会员购买积分包购买API积分包
服务
文献检索文档翻译深度研究API 文档MCP 服务
关于我们
关于 Suppr公司介绍联系我们用户协议隐私条款
关注我们

Suppr 超能文献

核心技术专利:CN118964589B侵权必究
粤ICP备2023148730 号-1Suppr @ 2026

文献检索

告别复杂PubMed语法,用中文像聊天一样搜索,搜遍4000万医学文献。AI智能推荐,让科研检索更轻松。

立即免费搜索

文件翻译

保留排版,准确专业,支持PDF/Word/PPT等文件格式,支持 12+语言互译。

免费翻译文档

深度研究

AI帮你快速写综述,25分钟生成高质量综述,智能提取关键信息,辅助科研写作。

立即免费体验

豆类饮食干预期间的尿液代谢组学表明代谢特征改变及潜在的新摄入标志物:初步见解

Urine Metabolomics during a Legume Diet Intervention Suggests Altered Metabolic Signatures and Potential New Intake Markers: First Insights.

作者信息

Ferreira Helena, Duarte Daniela, Rodrigues João A, Vasconcelos Marta W, Pinto Elisabete, Gil Ana M

机构信息

CBQF - Centro de Biotecnologia e Química Fina - Laboratório Associado, Escola Superior de Biotecnologia, Universidade Católica Portuguesa, Porto 4200-072, Portugal.

Department of Chemistry and CICECO-Aveiro Institute of Materials, Universidade de Aveiro, Campus Universitário de Santiago, Aveiro 3810-193, Portugal.

出版信息

ACS Omega. 2024 Oct 20;9(43):43453-43468. doi: 10.1021/acsomega.4c04795. eCollection 2024 Oct 29.

DOI:10.1021/acsomega.4c04795
PMID:39494014
原文链接:https://pmc.ncbi.nlm.nih.gov/articles/PMC11525520/
Abstract

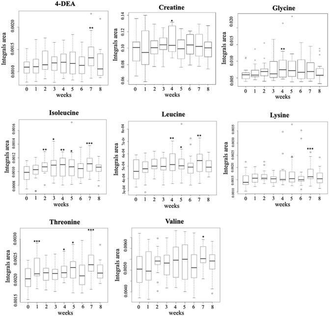
Given the general increase in legume consumption worldwide, there is a need to characterize the resulting human metabolic adaptations in order to demonstrate potential legume diet/health relationships. A nuclear magnetic resonance (NMR) metabolomics urine study was carried out on a small cohort ( = 18) to characterize the excretory effects of a pilot longitudinal 8-week legume-based dietary intervention. Despite the expected high interindividual variability in the excreted metabolome, the results suggested a nonlinear metabolic response, with higher metabolic activity in the first 4 weeks and a tendency toward baseline at the end of the intervention. The excretion of isoleucine, leucine, and threonine increased, along with metabolite changes suggestive of activation of the tricarboxylic acid cycle (through anaplerosis), ketogenesis, fat catabolism, and glycoprotein biosynthesis. Gut microbiota adaptations were also suggested based on the increased excretion of 2-hydroxyisobutyrate, allantoin, and hippurate. Increased levels of trigonelline were consistent with its role as a legume intake marker, whereas malonate and pseudouridine were suggested as possible additional markers. Correlation of NMR data with nutritional parameters aided putative explanatory hypotheses to be advanced. Our results suggest a dynamic response to legume consumption, mainly through increased amino acid excretion and altered energy metabolism, while advancing potential new markers of legume intake. These results require confirmation in larger cohorts but pave the way for an informed interpretation of the effects of legume-based diets on human health.

摘要

鉴于全球范围内豆类消费普遍增加,有必要对由此产生的人体代谢适应性进行表征,以证明豆类饮食与健康之间的潜在关系。对一个小队列(n = 18)进行了一项核磁共振(NMR)代谢组学尿液研究,以表征为期8周的豆类饮食纵向干预试验的排泄效应。尽管排泄代谢组中个体间差异预期较大,但结果表明存在非线性代谢反应,干预前4周代谢活性较高,干预结束时趋于基线水平。异亮氨酸、亮氨酸和苏氨酸的排泄增加,同时代谢物变化提示三羧酸循环(通过回补反应)、生酮作用、脂肪分解和糖蛋白生物合成被激活。基于2-羟基异丁酸、尿囊素和马尿酸盐排泄增加,也提示了肠道微生物群的适应性变化。胡芦巴碱水平升高与其作为豆类摄入量标志物的作用一致,而丙二酸和假尿苷被认为可能是额外的标志物。NMR数据与营养参数的相关性有助于提出推测性的解释假说。我们的结果表明,对豆类消费存在动态反应,主要通过增加氨基酸排泄和改变能量代谢,同时提出了豆类摄入量的潜在新标志物。这些结果需要在更大的队列中得到证实,但为深入理解豆类饮食对人类健康的影响铺平了道路。

https://cdn.ncbi.nlm.nih.gov/pmc/blobs/2232/11525520/0527a6fab3ea/ao4c04795_0006.jpg
https://cdn.ncbi.nlm.nih.gov/pmc/blobs/2232/11525520/a3556f578682/ao4c04795_0001.jpg
https://cdn.ncbi.nlm.nih.gov/pmc/blobs/2232/11525520/401337f7c8e0/ao4c04795_0002.jpg
https://cdn.ncbi.nlm.nih.gov/pmc/blobs/2232/11525520/132a968aa655/ao4c04795_0003.jpg
https://cdn.ncbi.nlm.nih.gov/pmc/blobs/2232/11525520/caa36c772e53/ao4c04795_0004.jpg
https://cdn.ncbi.nlm.nih.gov/pmc/blobs/2232/11525520/e959e1d1a451/ao4c04795_0005.jpg
https://cdn.ncbi.nlm.nih.gov/pmc/blobs/2232/11525520/0527a6fab3ea/ao4c04795_0006.jpg
https://cdn.ncbi.nlm.nih.gov/pmc/blobs/2232/11525520/a3556f578682/ao4c04795_0001.jpg
https://cdn.ncbi.nlm.nih.gov/pmc/blobs/2232/11525520/401337f7c8e0/ao4c04795_0002.jpg
https://cdn.ncbi.nlm.nih.gov/pmc/blobs/2232/11525520/132a968aa655/ao4c04795_0003.jpg
https://cdn.ncbi.nlm.nih.gov/pmc/blobs/2232/11525520/caa36c772e53/ao4c04795_0004.jpg
https://cdn.ncbi.nlm.nih.gov/pmc/blobs/2232/11525520/e959e1d1a451/ao4c04795_0005.jpg
https://cdn.ncbi.nlm.nih.gov/pmc/blobs/2232/11525520/0527a6fab3ea/ao4c04795_0006.jpg

相似文献

1
Urine Metabolomics during a Legume Diet Intervention Suggests Altered Metabolic Signatures and Potential New Intake Markers: First Insights.豆类饮食干预期间的尿液代谢组学表明代谢特征改变及潜在的新摄入标志物:初步见解
ACS Omega. 2024 Oct 20;9(43):43453-43468. doi: 10.1021/acsomega.4c04795. eCollection 2024 Oct 29.
2
Impact of a legumes diet on the human gut microbiome articulated with fecal and plasma metabolomes: A pilot study.豆类饮食对人类肠道微生物组的影响与粪便和血浆代谢组学的关联:一项初步研究。
Clin Nutr ESPEN. 2024 Oct;63:332-345. doi: 10.1016/j.clnesp.2024.06.051. Epub 2024 Jul 2.
3
Assessing Exposome Effects on Pregnancy through Urine Metabolomics of a Portuguese (Estarreja) Cohort.评估葡萄牙(埃斯特雷拉)队列尿液代谢组学中暴露组对妊娠的影响。
J Proteome Res. 2018 Mar 2;17(3):1278-1289. doi: 10.1021/acs.jproteome.7b00878. Epub 2018 Feb 15.
4
Dietary glycation compounds - implications for human health.饮食糖化化合物 - 对人类健康的影响。
Crit Rev Toxicol. 2024 Sep;54(8):485-617. doi: 10.1080/10408444.2024.2362985. Epub 2024 Aug 16.
5
Metabolic Effects of a 24-Week Energy-Restricted Intervention Combined with Low or High Dairy Intake in Overweight Women: An NMR-Based Metabolomics Investigation.超重女性中为期24周的能量限制干预联合低或高乳制品摄入量的代谢效应:一项基于核磁共振的代谢组学研究
Nutrients. 2016 Feb 23;8(3):108. doi: 10.3390/nu8030108.
6
Human and preclinical studies of the host-gut microbiome co-metabolite hippurate as a marker and mediator of metabolic health.人体和临床前研究宿主-肠道微生物群共代谢物马尿酸作为代谢健康的标志物和介质。
Gut. 2021 Nov;70(11):2105-2114. doi: 10.1136/gutjnl-2020-323314. Epub 2021 May 11.
7
Pea fiber and wheat bran fiber show distinct metabolic profiles in rats as investigated by a 1H NMR-based metabolomic approach.通过基于1H NMR的代谢组学方法研究发现,豌豆纤维和麦麸纤维在大鼠体内呈现出不同的代谢特征。
PLoS One. 2014 Dec 26;9(12):e115561. doi: 10.1371/journal.pone.0115561. eCollection 2014.
8
Translational Metabolomics of Head Injury: Exploring Dysfunctional Cerebral Metabolism with Ex Vivo NMR Spectroscopy-Based Metabolite Quantification头部损伤的转化代谢组学:基于体外核磁共振波谱的代谢物定量分析探索脑代谢功能障碍
9
Urinary metabolic signatures of human adiposity.人类肥胖的尿液代谢特征。
Sci Transl Med. 2015 Apr 29;7(285):285ra62. doi: 10.1126/scitranslmed.aaa5680.
10
Vegetables, fruits, and legumes: effect on urinary isoflavonoid phytoestrogen and lignan excretion.蔬菜、水果和豆类:对尿中异黄酮类植物雌激素和木脂素排泄的影响。
J Am Diet Assoc. 1995 Jul;95(7):769-74. doi: 10.1016/S0002-8223(95)00214-6.

本文引用的文献

1
The next protein transition.下一个蛋白质转变。
Trends Food Sci Technol. 2020 Nov;105:515-522. doi: 10.1016/j.tifs.2018.07.008. Epub 2018 Jul 27.
2
Impact of a daily legume-based meal on dietary and nutritional intake in a group of omnivorous adults.每日食用豆类餐对杂食成年人饮食和营养摄入的影响。
Nutr Bull. 2023 Jun;48(2):190-202. doi: 10.1111/nbu.12613. Epub 2023 Apr 18.
3
Nontargeted and Targeted Metabolomics Identifies Dietary Exposure Biomarkers for Navy Bean and Rice Bran Consumption in Children and Adults.
非靶向和靶向代谢组学鉴定儿童和成人食用海军豆和米糠的膳食暴露生物标志物。
J Agric Food Chem. 2022 Nov 16;70(45):14531-14543. doi: 10.1021/acs.jafc.2c02378. Epub 2022 Nov 1.
4
The plant epitranscriptome: revisiting pseudouridine and 2'-O-methyl RNA modifications.植物转录后表观基因组:重新探讨假尿嘧啶核苷和 2'-O-甲基 RNA 修饰。
Plant Biotechnol J. 2022 Jul;20(7):1241-1256. doi: 10.1111/pbi.13829. Epub 2022 May 11.
5
Vegan Diet Is Associated With Favorable Effects on the Metabolic Performance of Intestinal Microbiota: A Cross-Sectional Multi-Omics Study.纯素饮食与肠道微生物群代谢性能的有益影响相关:一项横断面多组学研究。
Front Nutr. 2022 Jan 7;8:783302. doi: 10.3389/fnut.2021.783302. eCollection 2021.
6
HMDB 5.0: the Human Metabolome Database for 2022.HMDB 5.0:2022 年人类代谢组数据库。
Nucleic Acids Res. 2022 Jan 7;50(D1):D622-D631. doi: 10.1093/nar/gkab1062.
7
Chalcone Scaffolds, Bioprecursors of Flavonoids: Chemistry, Bioactivities, and Pharmacokinetics.查尔酮类支架,类黄酮的生物前体:化学、生物活性和药代动力学。
Molecules. 2021 Nov 26;26(23):7177. doi: 10.3390/molecules26237177.
8
A Scoping Review of the Application of Metabolomics in Nutrition Research: The Literature Survey 2000-2019.代谢组学在营养研究中的应用:文献调查 2000-2019 年的范围综述。
Nutrients. 2021 Oct 24;13(11):3760. doi: 10.3390/nu13113760.
9
Research advances and prospects of legume lectins.豆科凝集素的研究进展与展望。
J Biosci. 2021;46(4). doi: 10.1007/s12038-021-00225-8.
10
The role of plant-based alternative foods in sustainable and healthy food systems: Consumption trends in the UK.植物性替代食品在可持续和健康食品系统中的作用:英国的消费趋势。
Sci Total Environ. 2022 Feb 10;807(Pt 3):151041. doi: 10.1016/j.scitotenv.2021.151041. Epub 2021 Oct 18.