Suppr超能文献

ATLAS:一款用于多散斑扩散相关光谱学的大型片上计算单光子雪崩二极管相机。

ATLAS: a large array, on-chip compute SPAD camera for multispeckle diffuse correlation spectroscopy.

作者信息

Gorman Alistair, Finlayson Neil, Erdogan Ahmet T, Fisher Lars, Wang Yining, Mattioli Della Rocca Francescopaolo, Mai Hanning, Sie Edbert J, Marsili Francesco, Henderson Robert K

机构信息

Institute for Integrated Micro and Nano Systems, School of Engineering, University of Edinburgh, Edinburgh, UK.

Currently with Sony Europe Technology Development Centre, 38123 Trento, Italy.

出版信息

Biomed Opt Express. 2024 Oct 24;15(11):6499-6515. doi: 10.1364/BOE.531416. eCollection 2024 Nov 1.

Abstract

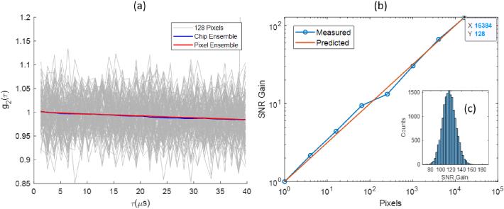
We present ATLAS, a 512 × 512 single-photon avalanche diode (SPAD) array with embedded autocorrelation computation, implemented in 3D-stacked CMOS technology, suitable for single-photon correlation spectroscopy applications, including diffuse correlation spectroscopy (DCS). The shared per-macropixel SRAM architecture provides a 128 × 128 macropixel resolution, with parallel autocorrelation computation, with a minimum autocorrelation lag-time of 1 µs. We demonstrate the direct, on-chip computation of the autocorrelation function of the sensor, and its capability to resolve changes in decorrelation times typical of body tissue in real time, at long source-detector separations similar to those achieved by the current leading optical modalities for cerebral blood flow monitoring. Finally, we demonstrate the suitability for in-vivo measurements through cuff-occlusion and forehead cardiac signal measurements.

摘要

我们展示了ATLAS,这是一款采用3D堆叠CMOS技术实现的512×512单光子雪崩二极管(SPAD)阵列,嵌入了自相关计算功能,适用于单光子相关光谱应用,包括扩散相关光谱(DCS)。共享的每大像素SRAM架构提供128×128大像素分辨率,具有并行自相关计算功能,最小自相关延迟时间为1微秒。我们展示了传感器自相关函数的直接片上计算,以及它在与当前用于脑血流监测的领先光学模式所实现的源 - 探测器长距离分离相似的情况下,实时分辨身体组织典型去相关时间变化的能力。最后,我们通过袖带阻断和前额心脏信号测量展示了其适用于体内测量。

https://cdn.ncbi.nlm.nih.gov/pmc/blobs/bc74/11563329/c98aa4526a8d/boe-15-11-6499-g001.jpg

文献检索

告别复杂PubMed语法,用中文像聊天一样搜索,搜遍4000万医学文献。AI智能推荐,让科研检索更轻松。

立即免费搜索

文件翻译

保留排版,准确专业,支持PDF/Word/PPT等文件格式,支持 12+语言互译。

免费翻译文档

深度研究

AI帮你快速写综述,25分钟生成高质量综述,智能提取关键信息,辅助科研写作。

立即免费体验