• 文献检索
  • 文档翻译
  • 深度研究
  • 学术资讯
  • Suppr Zotero 插件Zotero 插件
  • 邀请有礼
  • 套餐&价格
  • 历史记录
应用&插件
Suppr Zotero 插件Zotero 插件浏览器插件Mac 客户端Windows 客户端微信小程序
定价
高级版会员购买积分包购买API积分包
服务
文献检索文档翻译深度研究API 文档MCP 服务
关于我们
关于 Suppr公司介绍联系我们用户协议隐私条款
关注我们

Suppr 超能文献

核心技术专利:CN118964589B侵权必究
粤ICP备2023148730 号-1Suppr @ 2026

文献检索

告别复杂PubMed语法,用中文像聊天一样搜索,搜遍4000万医学文献。AI智能推荐,让科研检索更轻松。

立即免费搜索

文件翻译

保留排版,准确专业,支持PDF/Word/PPT等文件格式,支持 12+语言互译。

免费翻译文档

深度研究

AI帮你快速写综述,25分钟生成高质量综述,智能提取关键信息,辅助科研写作。

立即免费体验

MICCAI-CDMRI 2023定量连接挑战赛:通过扩散磁共振成像的统一预处理实现稳健定量连接的研究结果

MICCAI-CDMRI 2023 QuantConn Challenge Findings on Achieving Robust Quantitative Connectivity through Harmonized Preprocessing of Diffusion MRI.

作者信息

Newlin Nancy R, Schilling Kurt, Koudoro Serge, Chandio Bramsh Qamar, Kanakaraj Praitayini, Moyer Daniel, Kelly Claire E, Genc Sila, Chen Jian, Yang Joseph Yuan-Mou, Wu Ye, He Yifei, Zhang Jiawei, Zeng Qingrun, Zhang Fan, Adluru Nagesh, Nath Vishwesh, Pathak Sudhir, Schneider Walter, Gade Anurag, Rathi Yogesh, Hendriks Tom, Vilanova Anna, Chamberland Maxime, Pieciak Tomasz, Ciupek Dominika, Vega Antonio Tristán, Aja-Fernández Santiago, Malawski Maciej, Ouedraogo Gani, Machnio Julia, Ewert Christian, Thompson Paul M, Jahanshad Neda, Garyfallidis Eleftherios, Landman Bennett A

机构信息

Department of Computer Science, Vanderbilt University, Nashville, TN.

Department of Radiology and Radiological Sciences, Vanderbilt University Medical Center.

出版信息

ArXiv. 2024 Nov 14:arXiv:2411.09618v1.

PMID:39606717
原文链接:https://pmc.ncbi.nlm.nih.gov/articles/PMC11601790/
Abstract

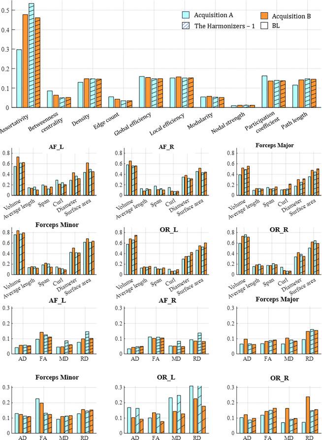
White matter alterations are increasingly implicated in neurological diseases and their progression. International-scale studies use diffusion-weighted magnetic resonance imaging (DW-MRI) to qualitatively identify changes in white matter microstructure and connectivity. Yet, quantitative analysis of DW-MRI data is hindered by inconsistencies stemming from varying acquisition protocols. Specifically, there is a pressing need to harmonize the preprocessing of DW-MRI datasets to ensure the derivation of robust quantitative diffusion metrics across acquisitions. In the MICCAI-CDMRI 2023 QuantConn challenge, participants were provided raw data from the same individuals collected on the same scanner but with two different acquisitions and tasked with preprocessing the DW-MRI to minimize acquisition differences while retaining biological variation. Harmonized submissions are evaluated on the reproducibility and comparability of cross-acquisition bundle-wise microstructure measures, bundle shape features, and connectomics. The key innovations of the QuantConn challenge are that (1) we assess bundles and tractography in the context of harmonization for the first time, (2) we assess connectomics in the context of harmonization for the first time, and (3) we have 10x additional subjects over prior harmonization challenge, MUSHAC and 100x over SuperMUDI. We find that bundle surface area, fractional anisotropy, connectome assortativity, betweenness centrality, edge count, modularity, nodal strength, and participation coefficient measures are most biased by acquisition and that machine learning voxel-wise correction, RISH mapping, and NeSH methods effectively reduce these biases. In addition, microstructure measures AD, MD, RD, bundle length, connectome density, efficiency, and path length are least biased by these acquisition differences. A machine learning approach that learned voxel-wise cross-acquisition relationships was the most effective at harmonizing connectomic, microstructure, and macrostructure features, but requires the same subject be scanned at each site co-registered. NeSH, a spatial and angular resampling method, was also effective and has generalizable framework not reliant co-registration. Our code is available at https://github.com/nancynewlin-masi/QuantConn/.

摘要

白质改变与神经疾病及其进展的关联日益密切。国际规模的研究使用扩散加权磁共振成像(DW-MRI)来定性识别白质微观结构和连通性的变化。然而,由于不同采集协议导致的不一致性,DW-MRI数据的定量分析受到阻碍。具体而言,迫切需要统一DW-MRI数据集的预处理,以确保在不同采集之间得出可靠的定量扩散指标。在2023年MICCAI-CDMRI定量连接挑战赛中,参与者获得了来自同一台扫描仪上对同一批个体采集的原始数据,但采用了两种不同的采集方式,并负责对DW-MRI进行预处理,以尽量减少采集差异,同时保留生物学变异。对统一提交的结果根据跨采集束状微观结构测量、束状形状特征和连接组学的可重复性和可比性进行评估。定量连接挑战赛的关键创新之处在于:(1)我们首次在统一的背景下评估束和纤维束成像;(2)我们首次在统一的背景下评估连接组学;(3)与之前的统一挑战赛MUSHAC相比,我们的受试者数量增加了10倍,与SuperMUDI相比增加了100倍。我们发现,束表面积、分数各向异性、连接组配适度、介数中心性、边数、模块化、节点强度和参与系数测量受采集影响最大,而机器学习体素级校正方法——RISH映射和NeSH方法能有效减少这些偏差。此外,微观结构测量指标——表观扩散系数(AD)、平均扩散系数(MD)、径向扩散系数(RD)、束长度、连接组密度、效率和路径长度受这些采集差异的影响最小。一种学习体素级跨采集关系的机器学习方法在统一连接组学特征、微观结构特征和宏观结构特征方面最为有效,但要求在每个共配准的扫描部位对同一受试者进行扫描。NeSH是一种空间和角度重采样方法,也很有效,并且具有不依赖共配准的通用框架。我们的代码可在https://github.com/nancynewlin-masi/QuantConn/获取。

https://cdn.ncbi.nlm.nih.gov/pmc/blobs/e5d6/11601790/f43a91b2622a/nihpp-2411.09618v1-f0007.jpg
https://cdn.ncbi.nlm.nih.gov/pmc/blobs/e5d6/11601790/df0046fae934/nihpp-2411.09618v1-f0001.jpg
https://cdn.ncbi.nlm.nih.gov/pmc/blobs/e5d6/11601790/ad8f6b200c2e/nihpp-2411.09618v1-f0002.jpg
https://cdn.ncbi.nlm.nih.gov/pmc/blobs/e5d6/11601790/a57a696fb852/nihpp-2411.09618v1-f0003.jpg
https://cdn.ncbi.nlm.nih.gov/pmc/blobs/e5d6/11601790/2d33c00144e0/nihpp-2411.09618v1-f0004.jpg
https://cdn.ncbi.nlm.nih.gov/pmc/blobs/e5d6/11601790/2e5f280f5ce8/nihpp-2411.09618v1-f0005.jpg
https://cdn.ncbi.nlm.nih.gov/pmc/blobs/e5d6/11601790/134ea25d19b4/nihpp-2411.09618v1-f0006.jpg
https://cdn.ncbi.nlm.nih.gov/pmc/blobs/e5d6/11601790/f43a91b2622a/nihpp-2411.09618v1-f0007.jpg
https://cdn.ncbi.nlm.nih.gov/pmc/blobs/e5d6/11601790/df0046fae934/nihpp-2411.09618v1-f0001.jpg
https://cdn.ncbi.nlm.nih.gov/pmc/blobs/e5d6/11601790/ad8f6b200c2e/nihpp-2411.09618v1-f0002.jpg
https://cdn.ncbi.nlm.nih.gov/pmc/blobs/e5d6/11601790/a57a696fb852/nihpp-2411.09618v1-f0003.jpg
https://cdn.ncbi.nlm.nih.gov/pmc/blobs/e5d6/11601790/2d33c00144e0/nihpp-2411.09618v1-f0004.jpg
https://cdn.ncbi.nlm.nih.gov/pmc/blobs/e5d6/11601790/2e5f280f5ce8/nihpp-2411.09618v1-f0005.jpg
https://cdn.ncbi.nlm.nih.gov/pmc/blobs/e5d6/11601790/134ea25d19b4/nihpp-2411.09618v1-f0006.jpg
https://cdn.ncbi.nlm.nih.gov/pmc/blobs/e5d6/11601790/f43a91b2622a/nihpp-2411.09618v1-f0007.jpg

相似文献

1
MICCAI-CDMRI 2023 QuantConn Challenge Findings on Achieving Robust Quantitative Connectivity through Harmonized Preprocessing of Diffusion MRI.MICCAI-CDMRI 2023定量连接挑战赛:通过扩散磁共振成像的统一预处理实现稳健定量连接的研究结果
ArXiv. 2024 Nov 14:arXiv:2411.09618v1.
2
Fiber tractography bundle segmentation depends on scanner effects, vendor effects, acquisition resolution, diffusion sampling scheme, diffusion sensitization, and bundle segmentation workflow.束追踪纤维分割依赖于扫描仪的影响、供应商的影响、采集分辨率、扩散采样方案、扩散敏感和束分割工作流程。
Neuroimage. 2021 Nov 15;242:118451. doi: 10.1016/j.neuroimage.2021.118451. Epub 2021 Aug 4.
3
Cross-site harmonization of multi-shell diffusion MRI measures based on rotational invariant spherical harmonics (RISH).基于旋转不变球谐函数(RISH)的多壳扩散 MRI 测量的跨站点协调。
Neuroimage. 2022 Oct 1;259:119439. doi: 10.1016/j.neuroimage.2022.119439. Epub 2022 Jul 3.
4
Contrastive semi-supervised harmonization of single-shell to multi-shell diffusion MRI.单壳到多壳扩散 MRI 的对比半监督协调。
Magn Reson Imaging. 2022 Nov;93:73-86. doi: 10.1016/j.mri.2022.06.004. Epub 2022 Jun 15.
5
Diffusion MRI harmonization enables joint-analysis of multicentre data of patients with cerebral small vessel disease.弥散磁共振成像的协调使得对患有脑小血管疾病的患者的多中心数据进行联合分析成为可能。
Neuroimage Clin. 2021;32:102886. doi: 10.1016/j.nicl.2021.102886. Epub 2021 Nov 18.
6
Harmonizing 1.5T/3T Diffusion Weighted MRI through Development of Deep Learning Stabilized Microarchitecture Estimators.通过开发深度学习稳定微结构估计器实现1.5T/3T扩散加权磁共振成像的协调
Proc SPIE Int Soc Opt Eng. 2019 Feb;10949. doi: 10.1117/12.2512902. Epub 2019 Mar 15.
7
MASiVar: Multisite, multiscanner, and multisubject acquisitions for studying variability in diffusion weighted MRI.MASiVar:用于研究扩散加权 MRI 中变异性的多站点、多扫描仪和多受试者采集。
Magn Reson Med. 2021 Dec;86(6):3304-3320. doi: 10.1002/mrm.28926. Epub 2021 Jul 16.
8
Multi-site harmonization of diffusion MRI data in a registration framework.在注册框架中对弥散磁共振成像数据进行多站点协调。
Brain Imaging Behav. 2018 Feb;12(1):284-295. doi: 10.1007/s11682-016-9670-y.
9
Cross-scanner and cross-protocol multi-shell diffusion MRI data harmonization: Algorithms and results.跨扫描仪和跨协议多壳弥散磁共振成像数据的调和:算法和结果。
Neuroimage. 2020 Nov 1;221:117128. doi: 10.1016/j.neuroimage.2020.117128. Epub 2020 Jul 13.
10
Harmonizing multisite neonatal diffusion-weighted brain MRI data for developmental neuroscience.协调多中心新生儿脑弥散加权磁共振成像数据以用于发育神经科学研究。
Dev Cogn Neurosci. 2025 Jan;71:101488. doi: 10.1016/j.dcn.2024.101488. Epub 2024 Dec 8.

本文引用的文献

1
Image harmonization: A review of statistical and deep learning methods for removing batch effects and evaluation metrics for effective harmonization.图像调和:去除批次效应的统计和深度学习方法综述,以及有效调和的评价指标。
Neuroimage. 2023 Jul 1;274:120125. doi: 10.1016/j.neuroimage.2023.120125. Epub 2023 Apr 20.
2
Characterizing Streamline Count Invariant Graph Measures of Structural Connectomes.描述结构连接体的流线计数不变图测度。
J Magn Reson Imaging. 2023 Oct;58(4):1211-1220. doi: 10.1002/jmri.28631. Epub 2023 Feb 24.
3
Multisite Harmonization of Structural DTI Networks in Children: An A-CAP Study.
儿童结构扩散张量成像网络的多中心协调:一项A-CAP研究。
Front Neurol. 2022 Jun 17;13:850642. doi: 10.3389/fneur.2022.850642. eCollection 2022.
4
Contrastive semi-supervised harmonization of single-shell to multi-shell diffusion MRI.单壳到多壳扩散 MRI 的对比半监督协调。
Magn Reson Imaging. 2022 Nov;93:73-86. doi: 10.1016/j.mri.2022.06.004. Epub 2022 Jun 15.
5
Unsupervised MR harmonization by learning disentangled representations using information bottleneck theory.基于信息瓶颈理论学习解缠表示实现无监督磁共振调和。
Neuroimage. 2021 Nov;243:118569. doi: 10.1016/j.neuroimage.2021.118569. Epub 2021 Sep 8.
6
Fiber tractography bundle segmentation depends on scanner effects, vendor effects, acquisition resolution, diffusion sampling scheme, diffusion sensitization, and bundle segmentation workflow.束追踪纤维分割依赖于扫描仪的影响、供应商的影响、采集分辨率、扩散采样方案、扩散敏感和束分割工作流程。
Neuroimage. 2021 Nov 15;242:118451. doi: 10.1016/j.neuroimage.2021.118451. Epub 2021 Aug 4.
7
PreQual: An automated pipeline for integrated preprocessing and quality assurance of diffusion weighted MRI images.PreQual:用于扩散加权磁共振成像(MRI)图像综合预处理和质量保证的自动化流程。
Magn Reson Med. 2021 Jul;86(1):456-470. doi: 10.1002/mrm.28678. Epub 2021 Feb 3.
8
Methods and open-source toolkit for analyzing and visualizing challenge results.分析和可视化挑战结果的方法和开源工具包。
Sci Rep. 2021 Jan 27;11(1):2369. doi: 10.1038/s41598-021-82017-6.
9
Bundle analytics, a computational framework for investigating the shapes and profiles of brain pathways across populations.束分析,一种用于研究跨人群脑通路形状和特征的计算框架。
Sci Rep. 2020 Oct 13;10(1):17149. doi: 10.1038/s41598-020-74054-4.
10
Cross-scanner and cross-protocol multi-shell diffusion MRI data harmonization: Algorithms and results.跨扫描仪和跨协议多壳弥散磁共振成像数据的调和:算法和结果。
Neuroimage. 2020 Nov 1;221:117128. doi: 10.1016/j.neuroimage.2020.117128. Epub 2020 Jul 13.