Suppr超能文献

行为改变分段常数空间流行病模型

Behavioural Change Piecewise Constant Spatial Epidemic Models.

作者信息

Rahul Chinmoy Roy, Deardon Rob

机构信息

Department of Mathematics and Statistics, Mathematical Sciences Building, University of Calgary, Calgary, T2N 1N4, AB, Canada.

Faculty of Veterinary Medicine, University of Calgary, 3280 Hospital Dr NW, Calgary, T2N 4Z6, AB, Canada.

出版信息

Infect Dis Model. 2024 Nov 12;10(1):302-324. doi: 10.1016/j.idm.2024.10.006. eCollection 2025 Mar.

Abstract

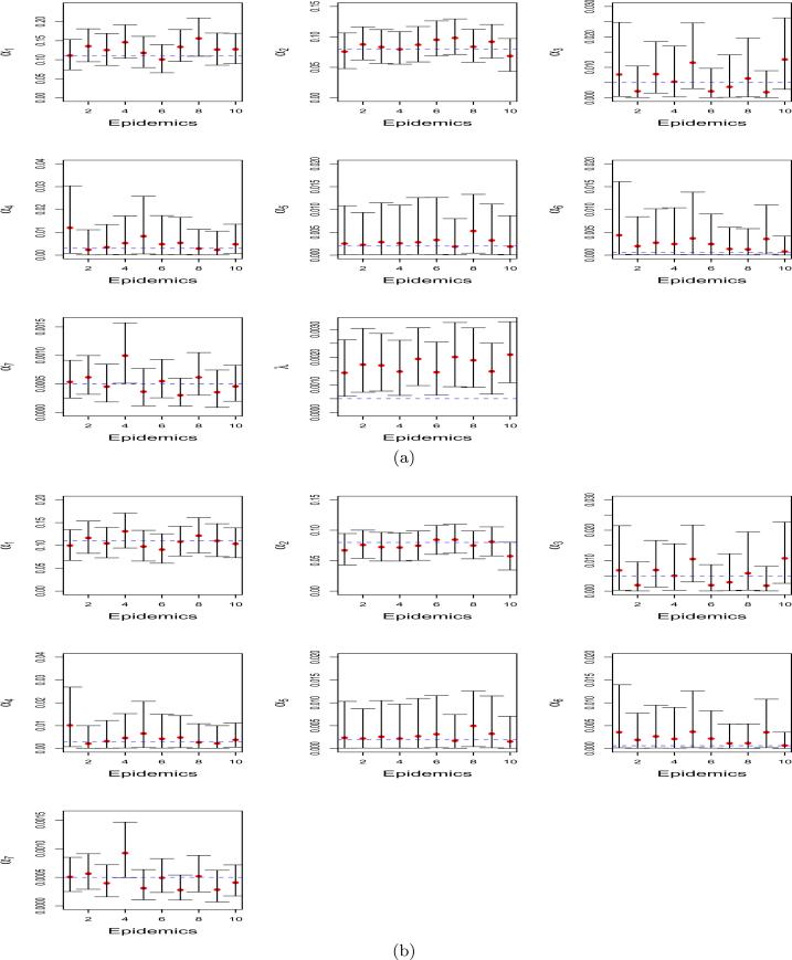
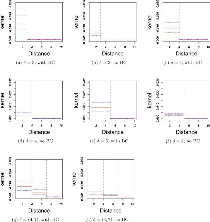
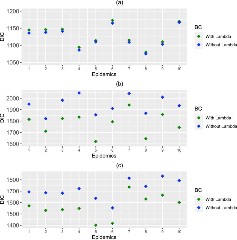
Human behaviour significantly affects the dynamics of infectious disease transmission as people adjust their behavior in response to outbreak intensity, thereby impacting disease spread and control efforts. In recent years, there have been efforts to incorporate behavioural change into spatio-temporal individual-level models within a Bayesian MCMC framework. In this past work, parametric spatial risk functions were employed, depending on strong underlying assumptions regarding disease transmission mechanisms within the population. However, selecting appropriate parametric functions can be challenging in real-world scenarios, and incorrect assumptions may lead to erroneous conclusions. As an alternative, non-parametric approaches offer greater flexibility. The goal of this study is to investigate the utilization of semi-parametric spatial models for infectious disease transmission, integrating an "alarm function" to account for behavioural change based on infection prevalence over time within a Bayesian MCMC framework. In this paper, we discuss findings from both simulated and real-life epidemics, focusing on constant piecewise distance functions with fixed change points. We also demonstrate the selection of the change points using the Deviance Information Criteria (DIC).

摘要

人类行为会显著影响传染病传播的动态变化,因为人们会根据疫情强度调整自身行为,进而影响疾病传播及防控工作。近年来,人们尝试在贝叶斯马尔可夫链蒙特卡罗(MCMC)框架下,将行为变化纳入时空个体层面模型。在以往的这项工作中,使用了参数化空间风险函数,这依赖于关于人群中疾病传播机制的强大潜在假设。然而,在现实场景中选择合适的参数函数可能具有挑战性,且错误的假设可能导致错误结论。作为一种替代方法,非参数方法提供了更大的灵活性。本研究的目标是探讨在贝叶斯MCMC框架内,利用半参数空间模型进行传染病传播研究,并整合一个“警报函数”,以根据随时间变化的感染流行率来考虑行为变化。在本文中,我们讨论了来自模拟和实际疫情的研究结果,重点关注具有固定变化点的恒定分段距离函数。我们还展示了使用离差信息准则(DIC)来选择变化点。

https://cdn.ncbi.nlm.nih.gov/pmc/blobs/386d/11615898/c6f8c1ce6fc5/gr1.jpg

文献AI研究员

20分钟写一篇综述,助力文献阅读效率提升50倍。

立即体验

用中文搜PubMed

大模型驱动的PubMed中文搜索引擎

马上搜索

文档翻译

学术文献翻译模型,支持多种主流文档格式。

立即体验