Suppr超能文献

低收入和中等收入国家老年住院患者中衰弱和衰弱前期患病率的系统评价与荟萃分析

Systematic review and meta-analysis of the prevalence of frailty and pre-frailty amongst older hospital inpatients in low- and middle-income countries.

作者信息

Davidson Sean Lawlor, Lee Jim, Emmence Luke, Bickerstaff Emily, Rayers George, Davidson Elizabeth, Richardson Jenny, Anderson Heather, Walker Richard, Dotchin Catherine

机构信息

Newcastle University-Population Health Sciences Institute, Newcastle upon Tyne, Tyne and Wear, UK.

The University of Auckland-Psychological Medicine, Waikato, Auckland, New Zealand.

出版信息

Age Ageing. 2025 Jan 6;54(1). doi: 10.1093/ageing/afae279.

Abstract

BACKGROUND

As populations age, low- and middle-income countries (LMICs) are rapidly adapting hospital services to meet the needs of older populations. This systematic review aimed to establish the prevalence of frailty and pre-frailty amongst older people admitted to hospital in LMICs, and to compare levels with existing estimates for high-income settings.

METHODS

Databases Medline, Embase, CINAHL and PsychInfo were searched, and results were manually screened by two researchers. Included studies were cross-sectional or cohort design and reported data from hospital inpatients, aged ≥60 years, in LMICs, using validated methods for identifying frailty. Risk of bias was assessed by two researchers using the Joanna Briggs Institute checklist. Where possible, results were synthesised using meta-analysis.

RESULTS

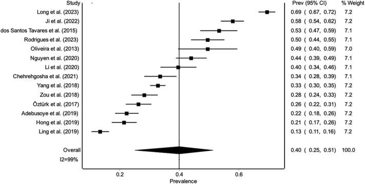
Twenty-nine studies were included, all reporting data from middle-income countries. Physical frailty tools were the most common, with Fried's phenotype and the FRAIL Scale being the most often used methods of assessment. The pooled estimate of the prevalence of frailty was 39.1% [95% confidence interval (CI) 31.9-46.6%] comprising data from 23 311 older inpatients. For pre-frailty, prevalence was 40.0% (95% CI 25.1-51.4%) from 6954 individuals.

DISCUSSION

Due to the paucity of eligible studies and their geographical distribution, these pooled estimates are only representative of the burden of frailty in select middle-income settings (particularly China). Future research should seek to establish the prevalence of frailty in hospitals in low-income countries, and to assess clinical outcomes by frailty status, in order to develop bespoke clinical tools and to aid the planning of future geriatric services.

摘要

背景

随着人口老龄化,低收入和中等收入国家(LMICs)正在迅速调整医院服务以满足老年人群的需求。本系统评价旨在确定LMICs中住院老年人虚弱和脆弱前期的患病率,并与高收入国家的现有估计水平进行比较。

方法

检索了数据库Medline、Embase、CINAHL和PsychInfo,并由两名研究人员手动筛选结果。纳入的研究为横断面或队列设计,并报告了使用经过验证的虚弱识别方法从LMICs中≥60岁住院患者获得的数据。两名研究人员使用乔安娜·布里格斯研究所清单评估偏倚风险。在可能的情况下,使用荟萃分析对结果进行综合。

结果

纳入了29项研究,均报告了来自中等收入国家的数据。身体虚弱工具最为常见,Fried表型和FRAIL量表是最常用的评估方法。虚弱患病率的汇总估计为39.1%[95%置信区间(CI)31.9 - 46.6%],包括来自23311名老年住院患者的数据。对于脆弱前期,6954人的患病率为40.0%(95%CI 25.1 - 51.4%)。

讨论

由于符合条件的研究数量稀少及其地理分布,这些汇总估计仅代表部分中等收入国家(特别是中国)的虚弱负担。未来的研究应致力于确定低收入国家医院中虚弱的患病率,并按虚弱状态评估临床结局,以便开发定制的临床工具并辅助未来老年服务的规划。

https://cdn.ncbi.nlm.nih.gov/pmc/blobs/58c9/11701313/20e1032bd138/afae279f1.jpg

文献检索

告别复杂PubMed语法,用中文像聊天一样搜索,搜遍4000万医学文献。AI智能推荐,让科研检索更轻松。

立即免费搜索

文件翻译

保留排版,准确专业,支持PDF/Word/PPT等文件格式,支持 12+语言互译。

免费翻译文档

深度研究

AI帮你快速写综述,25分钟生成高质量综述,智能提取关键信息,辅助科研写作。

立即免费体验