• 文献检索
  • 文档翻译
  • 深度研究
  • 学术资讯
  • Suppr Zotero 插件Zotero 插件
  • 邀请有礼
  • 套餐&价格
  • 历史记录
应用&插件
Suppr Zotero 插件Zotero 插件浏览器插件Mac 客户端Windows 客户端微信小程序
定价
高级版会员购买积分包购买API积分包
服务
文献检索文档翻译深度研究API 文档MCP 服务
关于我们
关于 Suppr公司介绍联系我们用户协议隐私条款
关注我们

Suppr 超能文献

核心技术专利:CN118964589B侵权必究
粤ICP备2023148730 号-1Suppr @ 2026

文献检索

告别复杂PubMed语法,用中文像聊天一样搜索,搜遍4000万医学文献。AI智能推荐,让科研检索更轻松。

立即免费搜索

文件翻译

保留排版,准确专业,支持PDF/Word/PPT等文件格式,支持 12+语言互译。

免费翻译文档

深度研究

AI帮你快速写综述,25分钟生成高质量综述,智能提取关键信息,辅助科研写作。

立即免费体验

美国纽约州从1918年流感大流行到2020年冠状病毒大流行期间的流感病毒监测

Influenza Virus Surveillance from the 1918 Influenza Pandemic to the 2020 Coronavirus Pandemic in New York State, USA.

作者信息

Escuyer Kay L, Gowie Donna L, St George Kirsten

机构信息

Wadsworth Center, David Axelrod Institute, New York State Department of Health, Albany, NY 12208, USA.

Bureau of Communicable Disease Control, Empire State Plaza, New York State Department of Health, Albany, NY 12237, USA.

出版信息

Viruses. 2024 Dec 20;16(12):1952. doi: 10.3390/v16121952.

DOI:10.3390/v16121952
PMID:39772258
原文链接:https://pmc.ncbi.nlm.nih.gov/articles/PMC11680092/
Abstract

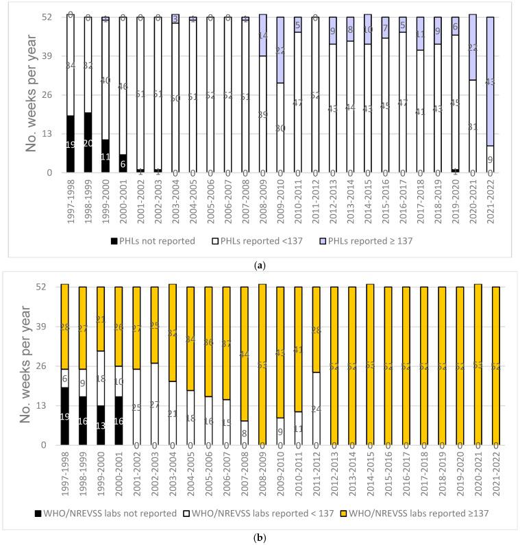
A historical perspective of more than one hundred years of influenza surveillance in New York State demonstrates the progression from anecdotes and case counts to next-generation sequencing and electronic database management, greatly improving pandemic preparedness and response. Here, we determined if influenza virologic surveillance at the New York State public health laboratory (NYS PHL) tests sufficient specimen numbers within preferred confidence limits to assess situational awareness and detect novel viruses that pose a pandemic risk. To this end, we analyzed retrospective electronic data on laboratory test results for the influenza seasons 1997-1998 to 2021-2022 according to sample sizes recommended in the Influenza Virologic Surveillance Right Size Roadmap issued by the Association of Public Health Laboratories and Centers for Disease Control and Prevention. Although data solely from specimens submitted to the NYS PHL were insufficient to meet surveillance goals, when supplemented with testing data from clinical laboratories participating in surveillance programs, the recommended surveillance goals were achieved. Despite the sudden decline in influenza cases in 2020-2021, impacted by the COVID-19 mitigation measures, the dramatic increases in influenza cases surrounding the coronavirus pandemic reveal that influenza remains a national and international public health threat. Sample submissions to public health laboratories must be encouraged to facilitate monitoring for emerging viruses and preparedness for another pandemic.

摘要

对纽约州一百多年流感监测的历史回顾表明,从轶事和病例数发展到下一代测序和电子数据库管理,极大地改善了大流行防范和应对能力。在此,我们确定纽约州公共卫生实验室(NYS PHL)的流感病毒学监测是否在首选置信区间内检测了足够数量的样本,以评估态势感知并检测构成大流行风险的新型病毒。为此,我们根据公共卫生实验室协会和疾病控制与预防中心发布的《流感病毒学监测合适规模路线图》中推荐的样本量,分析了1997 - 1998年至2021 - 2022年流感季节实验室检测结果的回顾性电子数据。尽管仅来自提交给NYS PHL的样本数据不足以实现监测目标,但当补充参与监测项目的临床实验室的检测数据时,推荐的监测目标得以实现。尽管受COVID - 19缓解措施影响,2020 - 2021年流感病例突然下降,但冠状病毒大流行期间流感病例的急剧增加表明,流感仍然是国家和国际公共卫生威胁。必须鼓励向公共卫生实验室提交样本,以促进对新兴病毒的监测和为另一场大流行做好准备。

https://cdn.ncbi.nlm.nih.gov/pmc/blobs/fc56/11680092/f569de53af5e/viruses-16-01952-g005.jpg
https://cdn.ncbi.nlm.nih.gov/pmc/blobs/fc56/11680092/cbea723a9c70/viruses-16-01952-g001.jpg
https://cdn.ncbi.nlm.nih.gov/pmc/blobs/fc56/11680092/617f105a398f/viruses-16-01952-g002.jpg
https://cdn.ncbi.nlm.nih.gov/pmc/blobs/fc56/11680092/e60c052bb691/viruses-16-01952-g003.jpg
https://cdn.ncbi.nlm.nih.gov/pmc/blobs/fc56/11680092/2e8282e6c236/viruses-16-01952-g004.jpg
https://cdn.ncbi.nlm.nih.gov/pmc/blobs/fc56/11680092/f569de53af5e/viruses-16-01952-g005.jpg
https://cdn.ncbi.nlm.nih.gov/pmc/blobs/fc56/11680092/cbea723a9c70/viruses-16-01952-g001.jpg
https://cdn.ncbi.nlm.nih.gov/pmc/blobs/fc56/11680092/617f105a398f/viruses-16-01952-g002.jpg
https://cdn.ncbi.nlm.nih.gov/pmc/blobs/fc56/11680092/e60c052bb691/viruses-16-01952-g003.jpg
https://cdn.ncbi.nlm.nih.gov/pmc/blobs/fc56/11680092/2e8282e6c236/viruses-16-01952-g004.jpg
https://cdn.ncbi.nlm.nih.gov/pmc/blobs/fc56/11680092/f569de53af5e/viruses-16-01952-g005.jpg

相似文献

1
Influenza Virus Surveillance from the 1918 Influenza Pandemic to the 2020 Coronavirus Pandemic in New York State, USA.美国纽约州从1918年流感大流行到2020年冠状病毒大流行期间的流感病毒监测
Viruses. 2024 Dec 20;16(12):1952. doi: 10.3390/v16121952.
2
The assessment of data sources for influenza virologic surveillance in New York State.纽约州流感病毒学监测数据来源评估
Influenza Other Respir Viruses. 2017 Mar;11(2):138-147. doi: 10.1111/irv.12433. Epub 2016 Nov 14.
3
Editorial: A Decline in Influenza During the COVID-19 Pandemic and the Emergence of Potential Epidemic and Pandemic Influenza Viruses.社论:新冠大流行期间流感发病率下降及潜在大流行流感病毒的出现
Med Sci Monit. 2021 Oct 4;27:e934949. doi: 10.12659/MSM.934949.
4
Respiratory virus surveillance in Canada during the COVID-19 pandemic: An epidemiological analysis of the effectiveness of pandemic-related public health measures in reducing seasonal respiratory viruses test positivity.加拿大 COVID-19 大流行期间的呼吸道病毒监测:大流行相关公共卫生措施在降低季节性呼吸道病毒检测阳性率方面的有效性的流行病学分析。
PLoS One. 2021 Jun 18;16(6):e0253451. doi: 10.1371/journal.pone.0253451. eCollection 2021.
5
[History of influenza pandemics in China during the past century].[中国过去一个世纪的流感大流行历史]
Zhonghua Liu Xing Bing Xue Za Zhi. 2018 Aug 10;39(8):1028-1031. doi: 10.3760/cma.j.issn.0254-6450.2018.08.003.
6
A Centenary Tale of Two Pandemics: The 1918 Influenza Pandemic and COVID-19, Part I.一个百年两疫的故事:1918 年流感大流行和 COVID-19,第一部分。
Am J Public Health. 2021 Jun;111(6):1086-1094. doi: 10.2105/AJPH.2021.306310.
7
A perspective on the 2009 A/H1N1 influenza pandemic in Mexico.对墨西哥 2009 年 A/H1N1 流感大流行的看法。
Math Biosci Eng. 2011 Jan;8(1):223-38. doi: 10.3934/mbe.2011.8.223.
8
Mexico: Lessons learned from the 2009 pandemic that help us fight COVID-19.墨西哥:从2009年大流行中汲取的经验教训助力我们抗击新冠疫情。
Healthc Manage Forum. 2020 Jul;33(4):158-163. doi: 10.1177/0840470420921542. Epub 2020 May 6.
9
A Centenary Tale of Two Pandemics: The 1918 Influenza Pandemic and COVID-19, Part II.百年两疫叙事:1918 年流感大流行与 COVID-19,第二部分。
Am J Public Health. 2021 Jul;111(7):1267-1272. doi: 10.2105/AJPH.2021.306326. Epub 2021 Jun 10.
10
[A review on the preparedness plans on influenza pandemics, by WHO and China: the current status and development].[世界卫生组织与中国关于流感大流行防范计划的综述:现状与发展]
Zhonghua Liu Xing Bing Xue Za Zhi. 2018 Aug 10;39(8):1032-1035. doi: 10.3760/cma.j.issn.0254-6450.2018.08.004.

本文引用的文献

1
Cow's Milk Containing Avian Influenza A(H5N1) Virus - Heat Inactivation and Infectivity in Mice.含甲型禽流感病毒(H5N1)的牛奶——热灭活及对小鼠的感染性
N Engl J Med. 2024 Jul 4;391(1):87-90. doi: 10.1056/NEJMc2405495. Epub 2024 May 24.
2
Fifty Years of Influenza A(H3N2) Following the Pandemic of 1968.1968 年大流感后的五十年流感 A(H3N2)
Am J Public Health. 2020 May;110(5):669-676. doi: 10.2105/AJPH.2019.305557.
3
Readiness for Responding to a Severe Pandemic 100 Years After 1918.应对严重大流行的准备:1918 年 100 年后的思考。
Am J Epidemiol. 2018 Dec 1;187(12):2596-2602. doi: 10.1093/aje/kwy165.
4
Pathogenesis and Transmission of Genetically Diverse Swine-Origin H3N2 Variant Influenza A Viruses from Multiple Lineages Isolated in the United States, 2011-2016.2011-2016 年美国分离的多种谱系遗传多样化猪源 H3N2 变异流感 A 病毒的发病机制和传播。
J Virol. 2018 Jul 31;92(16). doi: 10.1128/JVI.00665-18. Print 2018 Aug 15.
5
65 years of influenza surveillance by a World Health Organization-coordinated global network.65 年来,世界卫生组织协调的全球网络一直在进行流感监测。
Influenza Other Respir Viruses. 2018 Sep;12(5):558-565. doi: 10.1111/irv.12570. Epub 2018 Jun 25.
6
Mapping of the US Domestic Influenza Virologic Surveillance Landscape.美国国内流感病毒学监测格局的描绘。
Emerg Infect Dis. 2018 Jul;24(7):1300-6. doi: 10.3201/eid2407.180028. Epub 2018 Jul 17.
7
Use of Influenza Risk Assessment Tool for Prepandemic Preparedness.流感风险评估工具在大流行准备中的应用。
Emerg Infect Dis. 2018 Mar;24(3):471-477. doi: 10.3201/eid2403.171852.
8
The assessment of data sources for influenza virologic surveillance in New York State.纽约州流感病毒学监测数据来源评估
Influenza Other Respir Viruses. 2017 Mar;11(2):138-147. doi: 10.1111/irv.12433. Epub 2016 Nov 14.
9
Human-Animal Interface: The Case for Influenza Interspecies Transmission.人兽界面:流感跨物种传播的案例
Adv Exp Med Biol. 2017;972:17-33. doi: 10.1007/5584_2016_136.
10
Global Mortality Impact of the 1957-1959 Influenza Pandemic.1957 - 1959年流感大流行对全球死亡率的影响
J Infect Dis. 2016 Mar 1;213(5):738-45. doi: 10.1093/infdis/jiv534.