Ross Megan H, Simmich Joshua, Magor Thomas, Russell Trevor
RECOVER Injury Research Centre, The University of Queensland, Brisbane, Australia.
The University of Queensland Business School, The University of Queensland, Brisbane, Australia.
Physiother Res Int. 2025 Apr;30(2):e70042. doi: 10.1002/pri.70042.
To investigate the key factors that influence patients' preferences for telerehabilitation consultations in comparison to traditional in-person physiotherapy consultations and explore how these factors vary across different patient demographic characteristics.
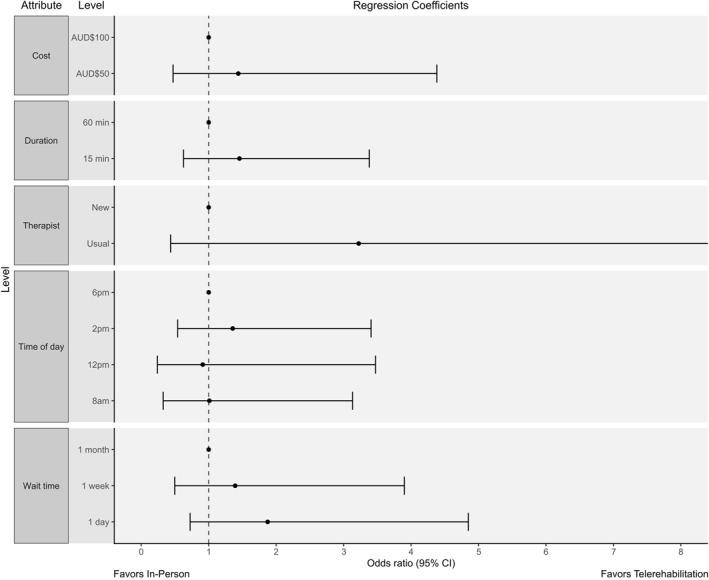
A binary discrete choice experiment was conducted with 152 participants who had participated in physiotherapy. The primary outcome measures were the attributes related to telerehabilitation and in-person consultations, including appointment duration, cost, distance, purpose, therapist, time of day, and wait time. Participants' preferences were assessed based on their choices in the binary choice experiment.
The study did not identify any attributes of consultations that clearly influenced patients' preference for telerehabilitation versus in-person physiotherapy. There was a trend towards preferring telerehabilitation with decreased appointment wait times and lower monetary costs. Patient demographics revealed that individuals with a single chronic health condition were clearly less inclined towards telerehabilitation (OR = 0.5, 95% CI 0.27-0.93), as were those located in outer regional locations (OR = 0.34, 95% CI 0.12-0.99). Additionally, respondents preferring a short 5 km travel distance showed markedly lower preference for telerehabilitation (β = -0.94, 95% CI -4.34 to -0.51, p < 0.001).
To enable broader access to physiotherapy via telerehabilitation, clinicians, and policymakers should prioritize offering timely and cost-effective sessions. The results of this study can then inform the development of telerehabilitation offerings that are better matched to patient preferences.
调查与传统面对面物理治疗咨询相比,影响患者对远程康复咨询偏好的关键因素,并探讨这些因素如何因患者不同的人口统计学特征而有所不同。
对152名参加过物理治疗的参与者进行了二元离散选择实验。主要结局指标是与远程康复和面对面咨询相关的属性,包括预约时长、费用、距离、目的、治疗师、一天中的时间以及等待时间。根据参与者在二元选择实验中的选择来评估他们的偏好。
该研究未发现任何咨询属性能明确影响患者对远程康复与面对面物理治疗的偏好。存在一种趋势,即随着预约等待时间的减少和金钱成本的降低,患者更倾向于远程康复。患者人口统计学特征显示,患有单一慢性健康状况的个体明显不太倾向于远程康复(比值比=0.5,95%置信区间0.27 - 0.93),位于偏远地区的个体也是如此(比值比=0.34,9%置信区间0.12 - 0.99)。此外,偏好5公里短途出行距离的受访者对远程康复的偏好明显较低(β=-0.94,95%置信区间-4.34至-0.51,p<0.001)。
为了通过远程康复实现更广泛的物理治疗服务可及性,临床医生和政策制定者应优先提供及时且具成本效益的服务。本研究结果可为开发更符合患者偏好的远程康复服务提供参考。