Suppr超能文献

不同缺血预处理对力量训练恢复的影响。

The effects of different ischemic conditioning on strength training recovery.

作者信息

Zihan Fan, Yanqing Fu, Ying Wu

机构信息

Beijing Sport University, No. 48 Xinxi Road, Haidian District, Beijing, P. R. China.

Laboratory of Sports Stress and Adaptation of General Administration of Sport, No. 48 Xinxi Road, Haidian District, Beijing, P. R. China.

出版信息

Biol Sport. 2025 Apr;42(2):237-248. doi: 10.5114/biolsport.2025.144410. Epub 2024 Nov 5.

Abstract

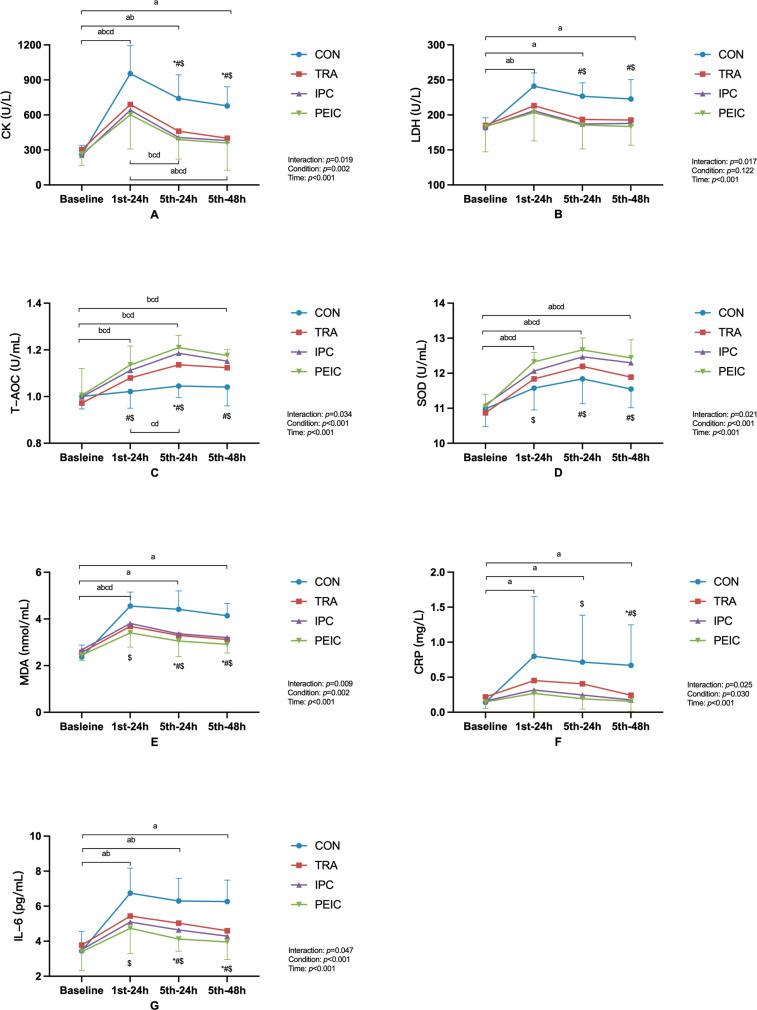
The aim was to explore the impact of ischemic conditioning (IC) before or after strength training (ST) on recovery and to compare IC with traditional recovery methods (static stretching and foam rolling). Thirtyseven healthy males were divided into four groups: CON (no intervention), TRA (stretching and foam rolling after ST), IPC (IC before ST), and PEIC (IC after ST). The ST protocol consisted of five sessions, spaced every two days. Muscle soreness, thigh circumference (TC), countermovement jumps (CMJ), knee isokinetic muscle strength (peak torque [PT], relative peak torque [RPT]), and lactate dehydrogenase (LDH), creatine kinase (CK), malondialdehyde (MDA), superoxide dismutase (SOD), total antioxidant capacity (T-AOC), C-reactive protein (CRP) and interleukin-6 (IL-6) were measured at baseline, 24 h after the first intervention (1-24 h), and 24 h and 48 h after the fifth intervention (5-24 h, 5-48 h). No significant differences were found in CMJ in PEIC at all timepoints (P > 0.05), while IPC had lower CMJ at 1-24 h than baseline (P < 0.05). Right quadriceps RPT and PT in TRA were unchanged at all timepoints (P > 0.05), whereas IPC and PEIC had lower values at 1-24 h than baseline (P < 0.05). No significant differences were found in LDH and IL-6 in IPC and PEIC at all timepoints (P > 0.05), but TRA showed significant differences in LDH at 1-24 h and in IL-6 at 1-24 h and 5-24 h than baseline (P < 0.05). Results indicated acute PEIC better maintained CMJ than IPC. Acute TRA promoted faster recovery of lower extremity strength than IC, while IC led to a faster recovery of muscle damage and inflammation than TRA.

摘要

本研究旨在探讨在力量训练(ST)之前或之后进行缺血预处理(IC)对恢复的影响,并将IC与传统恢复方法(静态拉伸和泡沫轴放松)进行比较。37名健康男性被分为四组:CON组(无干预)、TRA组(ST后进行拉伸和泡沫轴放松)、IPC组(ST前进行IC)和PEIC组(ST后进行IC)。ST方案包括五个疗程,每隔两天进行一次。在基线、第一次干预后24小时(1-24小时)以及第五次干预后24小时和48小时(5-24小时、5-48小时)测量肌肉酸痛、大腿围(TC)、反向纵跳(CMJ)、膝关节等速肌力(峰值扭矩[PT]、相对峰值扭矩[RPT])以及乳酸脱氢酶(LDH)、肌酸激酶(CK)、丙二醛(MDA)、超氧化物歧化酶(SOD)、总抗氧化能力(T-AOC)、C反应蛋白(CRP)和白细胞介素-6(IL-6)。PEIC组在所有时间点的CMJ均无显著差异(P>0.05),而IPC组在1-24小时时的CMJ低于基线水平(P<0.05)。TRA组右侧股四头肌的RPT和PT在所有时间点均无变化(P>0.05),而IPC组和PEIC组在1-24小时时的值低于基线水平(P<0.05)。IPC组和PEIC组在所有时间点的LDH和IL-6均无显著差异(P>0.05),但TRA组在1-24小时时的LDH以及在1-24小时和5-24小时时的IL-6与基线相比有显著差异(P<0.05)。结果表明,急性PEIC比IPC能更好地维持CMJ。急性TRA比IC能促进下肢力量更快恢复,而IC比TRA能使肌肉损伤和炎症恢复得更快。

https://cdn.ncbi.nlm.nih.gov/pmc/blobs/7daf/11963143/4b67bc6e7f04/JBS-42-55026-g001.jpg

文献AI研究员

20分钟写一篇综述,助力文献阅读效率提升50倍。

立即体验

用中文搜PubMed

大模型驱动的PubMed中文搜索引擎

马上搜索

文档翻译

学术文献翻译模型,支持多种主流文档格式。

立即体验