• 文献检索
  • 文档翻译
  • 深度研究
  • 学术资讯
  • Suppr Zotero 插件Zotero 插件
  • 邀请有礼
  • 套餐&价格
  • 历史记录
应用&插件
Suppr Zotero 插件Zotero 插件浏览器插件Mac 客户端Windows 客户端微信小程序
定价
高级版会员购买积分包购买API积分包
服务
文献检索文档翻译深度研究API 文档MCP 服务
关于我们
关于 Suppr公司介绍联系我们用户协议隐私条款
关注我们

Suppr 超能文献

核心技术专利:CN118964589B侵权必究
粤ICP备2023148730 号-1Suppr @ 2026

文献检索

告别复杂PubMed语法,用中文像聊天一样搜索,搜遍4000万医学文献。AI智能推荐,让科研检索更轻松。

立即免费搜索

文件翻译

保留排版,准确专业,支持PDF/Word/PPT等文件格式,支持 12+语言互译。

免费翻译文档

深度研究

AI帮你快速写综述,25分钟生成高质量综述,智能提取关键信息,辅助科研写作。

立即免费体验

一项为期24周的“增肌与减脂”饮食方案结合抗阻训练的试点研究对未经训练的成年男性是可行的,且能改善身体成分和肿瘤坏死因子-α浓度。

A Pilot 24-Week 'Bulk and Cut' Dietary Protocol Combined with Resistance Training Is Feasible and Improves Body Composition and TNF-α Concentrations in Untrained Adult Males.

作者信息

Giannopoulos Anthony J, Kottaras Steve, Allanigue Bryan, Coish Jeremia M, Ditor David S, Fajardo Val A, Klentrou Panagiota

机构信息

Department of Kinesiology, Brock University, St. Catharines, ON L2S 3A1, Canada.

Core Health Collective, St. Catharines, ON L2R 5J3, Canada.

出版信息

Nutrients. 2025 Apr 4;17(7):1265. doi: 10.3390/nu17071265.

DOI:10.3390/nu17071265
PMID:40219022
原文链接:https://pmc.ncbi.nlm.nih.gov/articles/PMC11990763/
Abstract

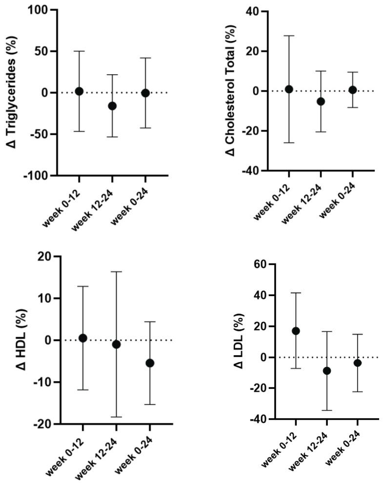
: This study piloted a 24-week bodybuilding program combining resistance training (RT) with a dietary bulk-and-cut protocol in middle-aged adult males. : Seven untrained males (33 ± 3.0 years; BMI = 35.0 ± 4.6 kg/m; body fat = 36 ± 5%) completed a 24-week intervention combining RT with a dietary protocol consisting of 12-week cycles of caloric bulking (0-12 weeks) and cutting (12-24 weeks). The participant retention rate was 64%, while compliance with training was 96.7%, and adherence to dietary cycles was over 93%. To assess the preliminary efficacy of the intervention, venous blood samples and measurements of body composition (BodPod), muscle strength, and VOmax (cycle ergometer) were collected at baseline (week 0) and following the bulking (week 12) and cutting (week 24) cycles. Circulating lipids (triglycerides, total, low-density, and high-density cholesterol), C-reactive protein (CRP), tumor necrosis factor-alpha (TNF-α), interleukin-6 (IL-6), and interleukin-10 (IL-10) were measured in serum. : The training led to significant increases in muscle strength, especially in the deadlift (+46%, < 0.001) and squat (+65%, < 0.001). Improvements in body composition were characterized by an increase in fat-free mass and a decrease in body fat percentage over the 24-week intervention (+3% and -6%, respectively, < 0.05). Lipids, CRP, IL-6, and IL-10 did not change significantly, but there was a notable reduction in TNF-α (time effect = 0.05, η = 0.39), with 15% lower concentrations at week 24 compared to baseline, indicating reduced inflammation. : Overall, the pilot intervention achieved high compliance and adherence rates, leading to improvements in body composition and lower resting TNF-α concentrations in a group of middle-aged males with obesity.

摘要

本研究在中年成年男性中试行一项为期24周的健身计划,该计划将阻力训练(RT)与饮食增肌减脂方案相结合。7名未经训练的男性(33±3.0岁;体重指数=35.0±4.6kg/m;体脂率=36±5%)完成了一项为期24周的干预,该干预将阻力训练与饮食方案相结合,饮食方案包括12周的热量增加期(0至12周)和减脂期(12至24周)。参与者保留率为64%,训练依从性为96.7%,饮食周期依从性超过93%。为评估该干预的初步效果,在基线期(第0周)、增肌期(第12周)和减脂期(第24周)结束后采集静脉血样本,并测量身体成分(体脂仪)、肌肉力量和最大摄氧量(功率自行车)。检测血清中的循环脂质(甘油三酯、总胆固醇、低密度脂蛋白胆固醇和高密度脂蛋白胆固醇)、C反应蛋白(CRP)、肿瘤坏死因子-α(TNF-α)、白细胞介素-6(IL-6)和白细胞介素-10(IL-10)。训练导致肌肉力量显著增加,尤其是硬拉(增加46%,P<0.001)和深蹲(增加65%,P<0.001)。在24周的干预中,身体成分的改善表现为去脂体重增加和体脂百分比降低(分别增加3%和降低6%,P<0.05)。脂质、CRP、IL-6和IL-10没有显著变化,但TNF-α有显著降低(时间效应P=0.05,η=0.39),与基线相比,第24周时浓度降低了15%,表明炎症减轻。总体而言,该初步干预取得了较高的依从性和坚持率,使一组肥胖中年男性的身体成分得到改善,静息TNF-α浓度降低。

https://cdn.ncbi.nlm.nih.gov/pmc/blobs/1173/11990763/08e47e2392c4/nutrients-17-01265-g004.jpg
https://cdn.ncbi.nlm.nih.gov/pmc/blobs/1173/11990763/3f536df51696/nutrients-17-01265-g001.jpg
https://cdn.ncbi.nlm.nih.gov/pmc/blobs/1173/11990763/73994a2eab6f/nutrients-17-01265-g002.jpg
https://cdn.ncbi.nlm.nih.gov/pmc/blobs/1173/11990763/7d450d2c1218/nutrients-17-01265-g003.jpg
https://cdn.ncbi.nlm.nih.gov/pmc/blobs/1173/11990763/08e47e2392c4/nutrients-17-01265-g004.jpg
https://cdn.ncbi.nlm.nih.gov/pmc/blobs/1173/11990763/3f536df51696/nutrients-17-01265-g001.jpg
https://cdn.ncbi.nlm.nih.gov/pmc/blobs/1173/11990763/73994a2eab6f/nutrients-17-01265-g002.jpg
https://cdn.ncbi.nlm.nih.gov/pmc/blobs/1173/11990763/7d450d2c1218/nutrients-17-01265-g003.jpg
https://cdn.ncbi.nlm.nih.gov/pmc/blobs/1173/11990763/08e47e2392c4/nutrients-17-01265-g004.jpg

相似文献

1
A Pilot 24-Week 'Bulk and Cut' Dietary Protocol Combined with Resistance Training Is Feasible and Improves Body Composition and TNF-α Concentrations in Untrained Adult Males.一项为期24周的“增肌与减脂”饮食方案结合抗阻训练的试点研究对未经训练的成年男性是可行的,且能改善身体成分和肿瘤坏死因子-α浓度。
Nutrients. 2025 Apr 4;17(7):1265. doi: 10.3390/nu17071265.
2
Chronic capsiate supplementation increases fat-free mass and upper body strength but not the inflammatory response to resistance exercise in young untrained men: a randomized, placebo-controlled and double-blind study.慢性辣椒素补充可增加去脂体重和上肢力量,但不能减轻未训练年轻男性抗阻运动后的炎症反应:一项随机、安慰剂对照、双盲研究。
J Int Soc Sports Nutr. 2021 Jun 21;18(1):50. doi: 10.1186/s12970-021-00446-0.
3
Effects of Resistance Training on Muscular Adaptations and Inflammatory Markers in Overweight and Obese Men.抗阻训练对超重和肥胖男性肌肉适应性及炎症标志物的影响
Med Sci Sports Exerc. 2025 Mar 1;57(3):600-612. doi: 10.1249/MSS.0000000000003592. Epub 2024 Nov 15.
4
The influence of resistance training on inflammatory markers, body composition and functional capacity in healthy older adults: A systematic review and meta-analysis.抗阻训练对健康老年人炎症标志物、身体成分和功能能力的影响:一项系统综述和荟萃分析。
Arch Gerontol Geriatr. 2025 Mar;130:105731. doi: 10.1016/j.archger.2024.105731. Epub 2024 Dec 25.
5
CRP, but not TNF-α or IL-6, decreases after weight loss in patients with morbid obesity exposed to intensive weight reduction and balneological treatment.在接受强化减重和温泉治疗的病态肥胖患者中,体重减轻后C反应蛋白(CRP)水平下降,但肿瘤坏死因子-α(TNF-α)或白细胞介素-6(IL-6)水平未下降。
J Zhejiang Univ Sci B. 2015 May;16(5):404-11. doi: 10.1631/jzus.B1400219.
6
Creatine Enhances the Effects of Cluster-Set Resistance Training on Lower-Limb Body Composition and Strength in Resistance-Trained Men: A Pilot Study.肌酸增强集群集束抗阻训练对经抗阻训练男性下肢身体成分和力量的效果:一项初步研究。
Nutrients. 2021 Jul 4;13(7):2303. doi: 10.3390/nu13072303.
7
Resistance training reduces subclinical inflammation in obese, postmenopausal women.抗阻训练可降低肥胖绝经后女性的亚临床炎症。
Med Sci Sports Exerc. 2012 Nov;44(11):2099-110. doi: 10.1249/MSS.0b013e3182644984.
8
Effects of volume-matched resistance training with different loads on glycemic control, inflammation, and body composition in prediabetic older adults.不同负荷的等容量抗阻训练对老年糖尿病前期患者血糖控制、炎症反应和身体成分的影响。
Appl Physiol Nutr Metab. 2021 Nov;46(11):1400-1406. doi: 10.1139/apnm-2021-0355. Epub 2021 Jul 15.
9
Effects of resistance or aerobic exercise training on interleukin-6, C-reactive protein, and body composition.抗阻或有氧训练对白细胞介素-6、C 反应蛋白和身体成分的影响。
Med Sci Sports Exerc. 2010 Feb;42(2):304-13. doi: 10.1249/MSS.0b013e3181b117ca.
10
Soy protein based supplementation supports metabolic effects of resistance training in previously untrained middle aged males.基于大豆蛋白的补充剂支持未经训练的中年男性进行抗阻训练的代谢效应。
Aging Male. 2011 Dec;14(4):273-9. doi: 10.3109/13685538.2011.565091. Epub 2011 Oct 19.

本文引用的文献

1
Effectiveness of Aerobic, Resistance, and Combined Training for Hypertensive Patients: A Randomized Controlled Trial.有氧运动、抗阻运动及联合训练对高血压患者的效果:一项随机对照试验。
Ethiop J Health Sci. 2023 Nov;33(6):1063-1074. doi: 10.4314/ejhs.v33i6.17.
2
Resistance Exercise Training in Individuals With and Without Cardiovascular Disease: 2023 Update: A Scientific Statement From the American Heart Association.有心血管疾病和无心血管疾病个体的抗阻运动训练:2023 年更新:美国心脏协会的科学声明。
Circulation. 2024 Jan 16;149(3):e217-e231. doi: 10.1161/CIR.0000000000001189. Epub 2023 Dec 7.
3
Resistance exercise lowers blood pressure and improves vascular endothelial function in individuals with elevated blood pressure or stage-1 hypertension.
抗阻运动可降低血压,并改善血压升高或1期高血压患者的血管内皮功能。
Am J Physiol Heart Circ Physiol. 2024 Jan 1;326(1):H256-H269. doi: 10.1152/ajpheart.00386.2023. Epub 2023 Nov 17.
4
Effect of Small and Large Energy Surpluses on Strength, Muscle, and Skinfold Thickness in Resistance-Trained Individuals: A Parallel Groups Design.小能量盈余和大能量盈余对阻力训练者力量、肌肉及皮褶厚度的影响:一项平行组设计研究
Sports Med Open. 2023 Nov 2;9(1):102. doi: 10.1186/s40798-023-00651-y.
5
Irisin: A Possible Marker of Adipose Tissue Dysfunction in Obesity.鸢尾素:肥胖症中脂肪组织功能障碍的一个可能标志物。
Int J Mol Sci. 2023 Jul 28;24(15):12082. doi: 10.3390/ijms241512082.
6
Strength training is more effective than aerobic exercise for improving glycaemic control and body composition in people with normal-weight type 2 diabetes: a randomised controlled trial.力量训练比有氧运动更能有效改善体重正常 2 型糖尿病患者的血糖控制和身体成分:一项随机对照试验。
Diabetologia. 2023 Oct;66(10):1897-1907. doi: 10.1007/s00125-023-05958-9. Epub 2023 Jul 26.
7
"HIIT the Inflammation": Comparative Effects of Low-Volume Interval Training and Resistance Exercises on Inflammatory Indices in Obese Metabolic Syndrome Patients Undergoing Caloric Restriction."高强度间歇训练抑制炎症":热量限制下低容量间歇训练和抗阻运动对肥胖代谢综合征患者炎症指标的比较影响。
Nutrients. 2022 May 10;14(10):1996. doi: 10.3390/nu14101996.
8
Calorie Restriction with or without Time-Restricted Eating in Weight Loss.热量限制与限时进食在减肥中的作用比较。
N Engl J Med. 2022 Apr 21;386(16):1495-1504. doi: 10.1056/NEJMoa2114833.
9
Obesity: A Chronic Low-Grade Inflammation and Its Markers.肥胖:一种慢性低度炎症及其标志物。
Cureus. 2022 Feb 28;14(2):e22711. doi: 10.7759/cureus.22711. eCollection 2022 Feb.
10
Muscle-strengthening activities are associated with lower risk and mortality in major non-communicable diseases: a systematic review and meta-analysis of cohort studies.肌肉强化活动与主要非传染性疾病的低风险和低死亡率相关:队列研究的系统评价和荟萃分析。
Br J Sports Med. 2022 Jul;56(13):755-763. doi: 10.1136/bjsports-2021-105061. Epub 2022 Feb 28.