Suppr超能文献

木质素模型化合物的合成与转化策略

Strategies Toward Synthesis and Conversion of Lignin Model Compounds.

作者信息

Sheldrake Gary N, Murnaghan Christopher W J

机构信息

School of Chemistry and Chemical Engineering, Queen's University Belfast, David Keir Building, Stranmillis Road, Belfast, BT9 5AG, UK.

Department of Biology, Edge Hill University, St Helen's Road, Ormskirk, L39 4QP, UK.

出版信息

Chemistry. 2025 Jul 2;31(37):e202500805. doi: 10.1002/chem.202500805. Epub 2025 Jun 11.

Abstract

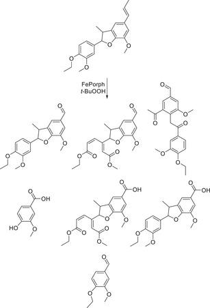
The push toward a renewable society where the chemicals being used on a daily basis come from sources which are not going to be depleted within the next few decades is highly sought after. Biomass is one of the most promising opportunities to establish self-sustainability for the human race. This review article takes a look at some of the key methods which have been employed for the synthesis of important lignin model compounds, and the synthetic techniques are discussed throughout the first section. The second section of this review is focused on some of the major strategies for the conversion of lignin model compounds throughout the literature. This review serves as a good starting point for someone who is relatively new to the field of lignin model synthesis and valorization.

摘要

朝着可再生社会迈进,即日常使用的化学品来自在未来几十年内不会枯竭的来源,这是备受追捧的。生物质是人类建立自我可持续性最有前景的机会之一。这篇综述文章探讨了一些用于合成重要木质素模型化合物的关键方法,并在第一部分讨论了合成技术。本综述的第二部分重点关注文献中木质素模型化合物转化的一些主要策略。对于刚接触木质素模型合成与增值领域的人来说,这篇综述是一个很好的起点。

https://cdn.ncbi.nlm.nih.gov/pmc/blobs/ff25/12223482/04d054a75e1d/CHEM-31-e202500805-g006.jpg

文献AI研究员

20分钟写一篇综述,助力文献阅读效率提升50倍。

立即体验

用中文搜PubMed

大模型驱动的PubMed中文搜索引擎

马上搜索

文档翻译

学术文献翻译模型,支持多种主流文档格式。

立即体验