• 文献检索
  • 文档翻译
  • 深度研究
  • 学术资讯
  • Suppr Zotero 插件Zotero 插件
  • 邀请有礼
  • 套餐&价格
  • 历史记录
应用&插件
Suppr Zotero 插件Zotero 插件浏览器插件Mac 客户端Windows 客户端微信小程序
定价
高级版会员购买积分包购买API积分包
服务
文献检索文档翻译深度研究API 文档MCP 服务
关于我们
关于 Suppr公司介绍联系我们用户协议隐私条款
关注我们

Suppr 超能文献

核心技术专利:CN118964589B侵权必究
粤ICP备2023148730 号-1Suppr @ 2026

文献检索

告别复杂PubMed语法,用中文像聊天一样搜索,搜遍4000万医学文献。AI智能推荐,让科研检索更轻松。

立即免费搜索

文件翻译

保留排版,准确专业,支持PDF/Word/PPT等文件格式,支持 12+语言互译。

免费翻译文档

深度研究

AI帮你快速写综述,25分钟生成高质量综述,智能提取关键信息,辅助科研写作。

立即免费体验

西班牙工人中生物电阻抗测定的代谢年龄与胰岛素抵抗风险量表之间的关系

Relationship Between Metabolic Age Determined by Bioimpedance and Insulin Resistance Risk Scales in Spanish Workers.

作者信息

Ramírez-Gallegos Ignacio, Tárraga López Pedro Juan, Paublini Oliveira Hernán, López-González Ángel Arturo, Martorell Sánchez Cristina, Martínez-Almoyna-Rifá Emilio, Ramírez-Manent José Ignacio

机构信息

ADEMA-Health Group University Institute of Health Sciences Research (IUNICS), 07120 Palma, Balearic Islands, Spain.

Faculty of Medicine, University of Castilla la Mancha, 02071 Albacete, Castilla-La Mancha, Spain.

出版信息

Nutrients. 2025 Mar 8;17(6):945. doi: 10.3390/nu17060945.

DOI:10.3390/nu17060945
PMID:40289929
原文链接:https://pmc.ncbi.nlm.nih.gov/articles/PMC11945281/
Abstract

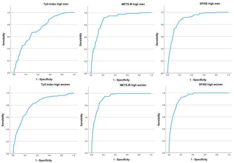
Metabolic age (MA) is the difference between an individual's actual age and the age of their body based on physiological and biological factors. It is an indicator that reflects a person's physical and biological state, regardless of chronological age. Insulin resistance (IR) is a health disorder in which tissues exhibit a reduced response to the circulating glucose uptake stimulated by insulin. The aim of this study is to evaluate the association between MA, determined through bioelectrical impedance analysis, and the risk of IR, assessed using validated scales, in a cohort of Spanish workers. A descriptive cross-sectional study was conducted on 8590 Spanish workers to assess the association between MA and a set of sociodemographic variables, health habits, and IR risk scales such as the Triglyceride-Glucose Index (TyG Index), Metabolic Score for Insulin Resistance (METS-IR), and Single Point Insulin Sensitivity Estimator (SPISE). All analyzed variables were associated with MA values, with the strongest associations observed for IR risk scale values (OR 4.88 [95% CI 4.12-5.65] for METS-IR, 4.42 [95% CI 3.70-5.15] for SPISE, and 3.42 [95% CI 2.97-3.87] for the TyG Index) and physical activity. Metabolic age is influenced by sociodemographic variables such as age, sex, and social class; health habits such as smoking, physical activity, and adherence to the Mediterranean diet; and by IR risk scale values.

摘要

代谢年龄(MA)是个体实际年龄与基于生理和生物学因素的身体年龄之间的差值。它是一个反映人的身体和生物学状态的指标,与实际年龄无关。胰岛素抵抗(IR)是一种健康紊乱状况,即组织对胰岛素刺激的循环葡萄糖摄取反应降低。本研究的目的是在一组西班牙工人中,评估通过生物电阻抗分析确定的代谢年龄与使用经过验证的量表评估的胰岛素抵抗风险之间的关联。对8590名西班牙工人进行了一项描述性横断面研究,以评估代谢年龄与一系列社会人口统计学变量、健康习惯以及胰岛素抵抗风险量表(如甘油三酯 - 葡萄糖指数(TyG指数)、胰岛素抵抗代谢评分(METS - IR)和单点胰岛素敏感性估计值(SPISE))之间的关联。所有分析的变量均与代谢年龄值相关,其中胰岛素抵抗风险量表值(METS - IR的比值比为4.88 [95%可信区间4.12 - 5.65],SPISE为4.42 [95%可信区间3.70 - 5.15],TyG指数为3.42 [95%可信区间2.97 - 3.87])和身体活动与代谢年龄的关联最强。代谢年龄受年龄、性别和社会阶层等社会人口统计学变量;吸烟、身体活动和坚持地中海饮食等健康习惯;以及胰岛素抵抗风险量表值的影响。

https://cdn.ncbi.nlm.nih.gov/pmc/blobs/802e/11945281/3cab87f9f4d2/nutrients-17-00945-g002.jpg
https://cdn.ncbi.nlm.nih.gov/pmc/blobs/802e/11945281/b6ffdcea5435/nutrients-17-00945-g001.jpg
https://cdn.ncbi.nlm.nih.gov/pmc/blobs/802e/11945281/3cab87f9f4d2/nutrients-17-00945-g002.jpg
https://cdn.ncbi.nlm.nih.gov/pmc/blobs/802e/11945281/b6ffdcea5435/nutrients-17-00945-g001.jpg
https://cdn.ncbi.nlm.nih.gov/pmc/blobs/802e/11945281/3cab87f9f4d2/nutrients-17-00945-g002.jpg

相似文献

1
Relationship Between Metabolic Age Determined by Bioimpedance and Insulin Resistance Risk Scales in Spanish Workers.西班牙工人中生物电阻抗测定的代谢年龄与胰岛素抵抗风险量表之间的关系
Nutrients. 2025 Mar 8;17(6):945. doi: 10.3390/nu17060945.
2
Associations Between Metabolic Age, Sociodemographic Variables, and Lifestyle Factors in Spanish Workers.西班牙劳动者的代谢年龄、社会人口统计学变量与生活方式因素之间的关联
Nutrients. 2024 Dec 5;16(23):4207. doi: 10.3390/nu16234207.
3
Influence of Sociodemographic Variables and Healthy Habits on the Values of Insulin Resistance Indicators in 386,924 Spanish Workers.社会人口学变量和健康习惯对 386924 名西班牙工人胰岛素抵抗指标值的影响。
Nutrients. 2023 Dec 16;15(24):5122. doi: 10.3390/nu15245122.
4
Association Between Alcohol Consumption, Other Healthy Habits and Sociodemographic Variables and the Values of Different Insulin Resistance Risk Scales in 139,634 Spanish Workers.139634名西班牙工人的饮酒量、其他健康习惯和社会人口统计学变量与不同胰岛素抵抗风险量表值之间的关联
Healthcare (Basel). 2025 Apr 17;13(8):921. doi: 10.3390/healthcare13080921.
5
Comparison of SPISE and METS-IR and Other Markers to Predict Insulin Resistance and Elevated Liver Transaminases in Children and Adolescents.比较SPISE和METS-IR及其他标志物以预测儿童和青少年的胰岛素抵抗及肝转氨酶升高
Diabetes Metab J. 2025 Mar;49(2):264-274. doi: 10.4093/dmj.2024.0302. Epub 2024 Oct 29.
6
A Single-Point Insulin Sensitivity Estimator (SPISE) of 5.4 is a good predictor of both metabolic syndrome and insulin resistance in adolescents with obesity.单点胰岛素敏感性估算值(SPISE)为 5.4 时,可较好地预测肥胖青少年的代谢综合征和胰岛素抵抗。
Front Endocrinol (Lausanne). 2023 Feb 8;14:1078949. doi: 10.3389/fendo.2023.1078949. eCollection 2023.
7
Association between non-insulin-based insulin resistance indicators and frailty progression: a national cohort study and mendelian randomization analysis.非胰岛素依赖型胰岛素抵抗指标与衰弱进展之间的关联:一项全国队列研究和孟德尔随机化分析
Cardiovasc Diabetol. 2025 Jan 22;24(1):31. doi: 10.1186/s12933-025-02597-9.
8
Assessment of the Risk of Insulin Resistance in Workers Classified as Metabolically Healthy Obese.对被归类为代谢健康肥胖的工人胰岛素抵抗风险的评估。
Nutrients. 2025 Apr 14;17(8):1345. doi: 10.3390/nu17081345.
9
Metabolic score for insulin resistance (METS-IR) predicts all-cause and cardiovascular mortality in the general population: evidence from NHANES 2001-2018.代谢性胰岛素抵抗评分(METS-IR)可预测普通人群的全因和心血管死亡率:来自 NHANES 2001-2018 的证据。
Cardiovasc Diabetol. 2024 Jul 10;23(1):243. doi: 10.1186/s12933-024-02334-8.
10
Metabolic Syndrome and Insulin Resistance in Romania.罗马尼亚的代谢综合征与胰岛素抵抗
Int J Mol Sci. 2025 Mar 7;26(6):2389. doi: 10.3390/ijms26062389.

引用本文的文献

1
Aging-Related Obesity: Unveiling Mitochondrial and Metabolic Dysfunction.衰老相关肥胖:揭示线粒体和代谢功能障碍
Curr Nutr Rep. 2025 Jul 24;14(1):94. doi: 10.1007/s13668-025-00685-6.

本文引用的文献

1
Associations Between Metabolic Age, Sociodemographic Variables, and Lifestyle Factors in Spanish Workers.西班牙劳动者的代谢年龄、社会人口统计学变量与生活方式因素之间的关联
Nutrients. 2024 Dec 5;16(23):4207. doi: 10.3390/nu16234207.
2
Body Composition and Senescence: Impact of Polyphenols on Aging-Associated Events.身体成分与衰老:多酚对与衰老相关事件的影响。
Nutrients. 2024 Oct 25;16(21):3621. doi: 10.3390/nu16213621.
3
Sex-specific dietary habits and their association with weight change in healthy adults.健康成年人的性别特异性饮食习惯及其与体重变化的关系。
BMC Med. 2024 Nov 6;22(1):512. doi: 10.1186/s12916-024-03730-3.
4
Smoking and diabetes.吸烟与糖尿病。
Ann Endocrinol (Paris). 2024 Dec;85(6):614-622. doi: 10.1016/j.ando.2024.08.001. Epub 2024 Aug 30.
5
Healthy Sleep Pattern, Metabolic Diseases, and Risk of Stroke: The Kailuan Cohort Study.健康睡眠模式、代谢性疾病与中风风险:开滦队列研究
Nat Sci Sleep. 2024 Aug 5;16:1169-1178. doi: 10.2147/NSS.S468522. eCollection 2024.
6
The promising role of Transcendental Meditation in the prevention and treatment of cardiometabolic diseases: A systematic review.超越冥想在防治心血管代谢疾病中的潜在作用:系统评价。
Obes Rev. 2024 Oct;25(10):e13800. doi: 10.1111/obr.13800. Epub 2024 Jul 28.
7
Comparison of body composition measures assessed by bioelectrical impedance analysis versus dual-energy X-ray absorptiometry in the United Kingdom Biobank.英国生物银行中生物电阻抗分析与双能 X 射线吸收法评估的人体成分测量值比较。
Clin Nutr ESPEN. 2024 Oct;63:214-225. doi: 10.1016/j.clnesp.2024.06.040. Epub 2024 Jun 29.
8
A lipidomic based metabolic age score captures cardiometabolic risk independent of chronological age.基于脂质组学的代谢年龄评分可独立于实际年龄捕捉心血管代谢风险。
EBioMedicine. 2024 Jul;105:105199. doi: 10.1016/j.ebiom.2024.105199. Epub 2024 Jun 20.
9
New insights into the interplay between autophagy, gut microbiota and insulin resistance in metabolic syndrome.代谢综合征中自噬、肠道微生物群与胰岛素抵抗之间相互作用的新见解。
Biomed Pharmacother. 2024 Jul;176:116807. doi: 10.1016/j.biopha.2024.116807. Epub 2024 May 24.
10
Effect of Intermittent vs. Continuous Energy Restriction on Visceral Fat: Protocol for The Healthy Diet and Lifestyle Study 2 (HDLS2).间歇性与连续性能量限制对内脏脂肪的影响:健康饮食和生活方式研究 2(HDLS2)方案。
Nutrients. 2024 May 14;16(10):1478. doi: 10.3390/nu16101478.