• 文献检索
  • 文档翻译
  • 深度研究
  • 学术资讯
  • Suppr Zotero 插件Zotero 插件
  • 邀请有礼
  • 套餐&价格
  • 历史记录
应用&插件
Suppr Zotero 插件Zotero 插件浏览器插件Mac 客户端Windows 客户端微信小程序
定价
高级版会员购买积分包购买API积分包
服务
文献检索文档翻译深度研究API 文档MCP 服务
关于我们
关于 Suppr公司介绍联系我们用户协议隐私条款
关注我们

Suppr 超能文献

核心技术专利:CN118964589B侵权必究
粤ICP备2023148730 号-1Suppr @ 2026

文献检索

告别复杂PubMed语法,用中文像聊天一样搜索,搜遍4000万医学文献。AI智能推荐,让科研检索更轻松。

立即免费搜索

文件翻译

保留排版,准确专业,支持PDF/Word/PPT等文件格式,支持 12+语言互译。

免费翻译文档

深度研究

AI帮你快速写综述,25分钟生成高质量综述,智能提取关键信息,辅助科研写作。

立即免费体验

绿茶加压热水提取物与动脉粥样硬化:细胞、动物及分子机制的多方法研究

Green Tea Pressurized Hot Water Extract in Atherosclerosis: A Multi-Approach Study on Cellular, Animal, and Molecular Mechanisms.

作者信息

Hossain Rahni, Kongchain Anawat, Chatatikun Moragot, Klangbud Wiyada Kwanhian, Yupanqui Chutha Takahashi, Majima Hideyuki J, Indo Hiroko P, Sompol Pradoldej, Sekeroglu Nazim, Phongphithakchai Atthaphong, Tangpong Jitbanjong

机构信息

College of Graduate Studies, Walailak University, Nakhon Si Thammarat 80160, Thailand.

Department of Medical Technology, School of Allied Health Sciences, Walailak University, Nakhon Si Thammarat 80160, Thailand.

出版信息

Antioxidants (Basel). 2025 Mar 28;14(4):404. doi: 10.3390/antiox14040404.

DOI:10.3390/antiox14040404
PMID:40298660
原文链接:https://pmc.ncbi.nlm.nih.gov/articles/PMC12024429/
Abstract

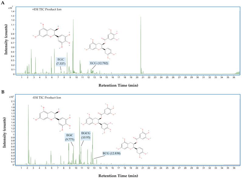
Atherosclerosis is a persistent inflammatory disorder influenced by oxidative stress and lipid imbalances, and it continues to be a major contributor to cardiovascular diseases. Rich in catechins and flavonoids, green tea pressurized hot water extract (GPHWE) demonstrated potent antioxidant activity through DPPH, ABTS, hydroxyl, and nitric oxide scavenging assays. In vitro, GPHWE protected RAW264.7 macrophages from oxidized LDL (Ox-LDL)-induced cytotoxicity and apoptosis by mitigating oxidative stress and enhancing cell survival. Animal studies using mice fed a high-fat diet (HFD) revealed notable improvements in lipid profiles, including decreases in total cholesterol, LDL, the atherosclerosis index (AI), the coronary risk index (CRI), and triglycerides, as well as lower levels of malondialdehyde (MDA), an indicator of oxidative stress. These results were comparable to those achieved with Simvastatin. Molecular docking studies indicated strong binding affinities of catechins to essential targets such as LOX-1, HMG-CoA reductase, caspase-3, and Nrf2, implying that the mechanisms of GPHWE involve antioxidant properties, regulation of lipids, and stabilization of plaques. The catechins of GPHWE, including epigallocatechin gallate (EGCG), epicatechin gallate (ECG), and epigallocatechin (EGC), were tentatively identified through qualitative analysis performed by UHPLC-QTOF-MS. This comprehensive approach positions GPHWE as a promising natural remedy for preventing atherosclerosis and reducing cardiovascular risk.

摘要

动脉粥样硬化是一种受氧化应激和脂质失衡影响的持续性炎症性疾病,并且它仍然是心血管疾病的主要促成因素。富含儿茶素和黄酮类化合物的绿茶加压热水提取物(GPHWE)通过DPPH、ABTS、羟基和一氧化氮清除试验显示出强大的抗氧化活性。在体外,GPHWE通过减轻氧化应激和提高细胞存活率,保护RAW264.7巨噬细胞免受氧化型低密度脂蛋白(Ox-LDL)诱导的细胞毒性和凋亡。使用高脂饮食(HFD)喂养小鼠的动物研究显示,脂质谱有显著改善,包括总胆固醇、低密度脂蛋白、动脉粥样硬化指数(AI)、冠心病风险指数(CRI)和甘油三酯降低,以及氧化应激指标丙二醛(MDA)水平降低。这些结果与辛伐他汀所取得的结果相当。分子对接研究表明,儿茶素与LOX-1、HMG-CoA还原酶、半胱天冬酶-3和Nrf2等关键靶点具有很强的结合亲和力,这意味着GPHWE的作用机制涉及抗氧化特性、脂质调节和斑块稳定。通过超高效液相色谱-四极杆飞行时间质谱(UHPLC-QTOF-MS)进行的定性分析初步鉴定了GPHWE中的儿茶素,包括表没食子儿茶素没食子酸酯(EGCG)、表儿茶素没食子酸酯(ECG)和表没食子儿茶素(EGC)。这种综合方法将GPHWE定位为预防动脉粥样硬化和降低心血管风险的一种有前景的天然疗法。

https://cdn.ncbi.nlm.nih.gov/pmc/blobs/6f80/12024429/9f5c8bffddc7/antioxidants-14-00404-g009.jpg
https://cdn.ncbi.nlm.nih.gov/pmc/blobs/6f80/12024429/2790c96f7cf7/antioxidants-14-00404-g001.jpg
https://cdn.ncbi.nlm.nih.gov/pmc/blobs/6f80/12024429/d3ef36a33af2/antioxidants-14-00404-g002.jpg
https://cdn.ncbi.nlm.nih.gov/pmc/blobs/6f80/12024429/6f574455868b/antioxidants-14-00404-g003.jpg
https://cdn.ncbi.nlm.nih.gov/pmc/blobs/6f80/12024429/bade643832d5/antioxidants-14-00404-g004.jpg
https://cdn.ncbi.nlm.nih.gov/pmc/blobs/6f80/12024429/0ba3fc39c76d/antioxidants-14-00404-g005.jpg
https://cdn.ncbi.nlm.nih.gov/pmc/blobs/6f80/12024429/d58b5a21e899/antioxidants-14-00404-g006.jpg
https://cdn.ncbi.nlm.nih.gov/pmc/blobs/6f80/12024429/1a48789d935c/antioxidants-14-00404-g007.jpg
https://cdn.ncbi.nlm.nih.gov/pmc/blobs/6f80/12024429/89b976b3a53c/antioxidants-14-00404-g008.jpg
https://cdn.ncbi.nlm.nih.gov/pmc/blobs/6f80/12024429/9f5c8bffddc7/antioxidants-14-00404-g009.jpg
https://cdn.ncbi.nlm.nih.gov/pmc/blobs/6f80/12024429/2790c96f7cf7/antioxidants-14-00404-g001.jpg
https://cdn.ncbi.nlm.nih.gov/pmc/blobs/6f80/12024429/d3ef36a33af2/antioxidants-14-00404-g002.jpg
https://cdn.ncbi.nlm.nih.gov/pmc/blobs/6f80/12024429/6f574455868b/antioxidants-14-00404-g003.jpg
https://cdn.ncbi.nlm.nih.gov/pmc/blobs/6f80/12024429/bade643832d5/antioxidants-14-00404-g004.jpg
https://cdn.ncbi.nlm.nih.gov/pmc/blobs/6f80/12024429/0ba3fc39c76d/antioxidants-14-00404-g005.jpg
https://cdn.ncbi.nlm.nih.gov/pmc/blobs/6f80/12024429/d58b5a21e899/antioxidants-14-00404-g006.jpg
https://cdn.ncbi.nlm.nih.gov/pmc/blobs/6f80/12024429/1a48789d935c/antioxidants-14-00404-g007.jpg
https://cdn.ncbi.nlm.nih.gov/pmc/blobs/6f80/12024429/89b976b3a53c/antioxidants-14-00404-g008.jpg
https://cdn.ncbi.nlm.nih.gov/pmc/blobs/6f80/12024429/9f5c8bffddc7/antioxidants-14-00404-g009.jpg

相似文献

1
Green Tea Pressurized Hot Water Extract in Atherosclerosis: A Multi-Approach Study on Cellular, Animal, and Molecular Mechanisms.绿茶加压热水提取物与动脉粥样硬化:细胞、动物及分子机制的多方法研究
Antioxidants (Basel). 2025 Mar 28;14(4):404. doi: 10.3390/antiox14040404.
2
Anti-atherogenic role of green tea (Camellia sinensis) in South Indian smokers.绿茶(Camellia sinensis)对南印度吸烟者的抗动脉粥样硬化作用。
J Ethnopharmacol. 2024 Oct 5;332:118298. doi: 10.1016/j.jep.2024.118298. Epub 2024 May 5.
3
Green tea catechins prevent low-density lipoprotein oxidation via their accumulation in low-density lipoprotein particles in humans.绿茶儿茶素通过在人体低密度脂蛋白颗粒中的积聚来防止低密度脂蛋白氧化。
Nutr Res. 2016 Jan;36(1):16-23. doi: 10.1016/j.nutres.2015.10.012. Epub 2015 Nov 3.
4
Anti-atherosclerosis of oligomeric proanthocyanidins from Rhodiola rosea on rat model via hypolipemic, antioxidant, anti-inflammatory activities together with regulation of endothelial function.红景天低聚原花青素通过降脂、抗氧化、抗炎作用及调节血管内皮功能对大鼠模型的抗动脉粥样硬化作用。
Phytomedicine. 2018 Dec 1;51:171-180. doi: 10.1016/j.phymed.2018.10.002. Epub 2018 Oct 4.
5
(-)-Epicatechin gallate blocks the development of atherosclerosis by regulating oxidative stress and .(-)-没食子儿茶素没食子酸酯通过调节氧化应激和 来阻止动脉粥样硬化的发展。
Food Funct. 2021 Sep 20;12(18):8715-8727. doi: 10.1039/d1fo00846c.
6
Tea catechins prevent the development of atherosclerosis in apoprotein E-deficient mice.茶儿茶素可预防载脂蛋白E缺乏小鼠动脉粥样硬化的发展。
J Nutr. 2001 Jan;131(1):27-32. doi: 10.1093/jn/131.1.27.
7
Preparation and antioxidant activity of green tea extract enriched in epigallocatechin (EGC) and epigallocatechin gallate (EGCG).富含表没食子儿茶素(EGC)和表没食子儿茶素没食子酸酯(EGCG)的绿茶提取物的制备及其抗氧化活性
J Agric Food Chem. 2009 Feb 25;57(4):1349-53. doi: 10.1021/jf803143n.
8
Effect of green tea powder (Camellia sinensis L. cv. Benifuuki) particle size on O-methylated EGCG absorption in rats; The Kakegawa Study.绿茶粉(Camellia sinensis L. cv. Benifuuki)粒径对大鼠 O-甲基化 EGCG 吸收的影响;香川县研究。
Cytotechnology. 2011 Mar;63(2):171-9. doi: 10.1007/s10616-010-9331-8. Epub 2011 Jan 5.
9
The galloyl catechins contributing to main antioxidant capacity of tea made from Camellia sinensis in China.在中国,没食子酰基儿茶素对茶树所制茶叶的主要抗氧化能力有贡献。
ScientificWorldJournal. 2014;2014:863984. doi: 10.1155/2014/863984. Epub 2014 Aug 28.
10
Curcumin as a permeability enhancer enhanced the antihyperlipidemic activity of dietary green tea extract.姜黄素作为一种通透性增强剂增强了膳食绿茶提取物的降血脂活性。
BMC Complement Altern Med. 2019 Jun 13;19(1):129. doi: 10.1186/s12906-019-2545-1.

引用本文的文献

1
Exploring the Characterization, Physicochemical Properties, and Antioxidant Activities of Chitosan-Encapsulated Green Tea Extract Microsphere Resin.壳聚糖包封绿茶提取物微球树脂的表征、理化性质及抗氧化活性研究
Polymers (Basel). 2025 Jun 12;17(12):1633. doi: 10.3390/polym17121633.

本文引用的文献

1
From Atherosclerotic Plaque to Myocardial Infarction-The Leading Cause of Coronary Artery Occlusion.从动脉粥样硬化斑块到心肌梗死——冠状动脉阻塞的主要原因。
Int J Mol Sci. 2024 Jul 2;25(13):7295. doi: 10.3390/ijms25137295.
2
LOX-1 in Cardiovascular Disease: A Comprehensive Molecular and Clinical Review.LOX-1 在心血管疾病中的作用:全面的分子与临床综述。
Int J Mol Sci. 2024 May 12;25(10):5276. doi: 10.3390/ijms25105276.
3
Oxidative Stress and Cerebral Vascular Tone: The Role of Reactive Oxygen and Nitrogen Species.氧化应激与脑血管张力:活性氧和氮物种的作用
Int J Mol Sci. 2024 Mar 5;25(5):3007. doi: 10.3390/ijms25053007.
4
Prediction of protein-ligand binding affinity via deep learning models.通过深度学习模型预测蛋白质-配体结合亲和力。
Brief Bioinform. 2024 Jan 22;25(2). doi: 10.1093/bib/bbae081.
5
Quantitative Analysis of Bioactive Compounds in Commercial Teas: Profiling Catechin Alkaloids, Phenolic Acids, and Flavonols Using Targeted Statistical Approaches.市售茶叶中生物活性化合物的定量分析:使用靶向统计方法分析儿茶素生物碱、酚酸和黄酮醇
Foods. 2023 Aug 17;12(16):3098. doi: 10.3390/foods12163098.
6
Catechins: Protective mechanism of antioxidant stress in atherosclerosis.儿茶素:动脉粥样硬化中抗氧化应激的保护机制。
Front Pharmacol. 2023 Mar 24;14:1144878. doi: 10.3389/fphar.2023.1144878. eCollection 2023.
7
The Colorimetric Detection of the Hydroxyl Radical.羟基自由基的比色检测。
Int J Mol Sci. 2023 Feb 19;24(4):4162. doi: 10.3390/ijms24044162.
8
Application of microdialysis combined with UHPLC-QTOF/MS to screen for endogenous metabolites in aquatic organisms as biomarkers of exposure to an emerging contaminant, triclosan.应用微透析结合超高效液相色谱-四极杆飞行时间质谱联用技术筛选水生生物体内的内源性代谢物,作为暴露于新型污染物三氯生的生物标志物。
Anal Bioanal Chem. 2023 Mar;415(8):1571-1581. doi: 10.1007/s00216-023-04560-7. Epub 2023 Feb 2.
9
Malondialdehyde as an Important Key Factor of Molecular Mechanisms of Vascular Wall Damage under Heart Diseases Development.丙二醛作为心脏病发展中心血管壁损伤分子机制的重要关键因素。
Int J Mol Sci. 2022 Dec 21;24(1):128. doi: 10.3390/ijms24010128.
10
Mangosteen vinegar from Garcinia mangostana: quality improvement and antioxidant properties.山竹醋(源自山竹):品质提升与抗氧化特性
Heliyon. 2022 Dec 13;8(12):e11943. doi: 10.1016/j.heliyon.2022.e11943. eCollection 2022 Dec.