Ionita Petre
Faculty of Chemistry, University of Bucharest, Panduri 90, 050663 Bucharest, Romania.
Antioxidants (Basel). 2025 Apr 12;14(4):463. doi: 10.3390/antiox14040463.
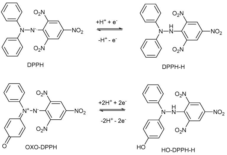
Numerous standardized methods for evaluating antioxidant capacity are available, some of the most used methods in this regard employ stable free radicals, like 2,2-diphenyl-1-picrilhydrazyl free radical (DPPH·) or 2,2'-azino-bis(3-ethylbenzothiazoline-6-sulfonic acid cation radical (ABTS·). However, some challenges can arise in taking correct and reproducible measurements due to the well-known unspecific reactivity of these free radicals. In pursuit of improving and expanding such methods, in this work is proposed a highly intense colored zwitterionic derivative of the DPPH· free radical, as a replacement for DPPH· and ABTS· derivatives. A discussion and comparison of the recognized methods are presented, demonstrating the very good potential of this non-radical compound.
有许多用于评估抗氧化能力的标准化方法,在这方面一些最常用的方法使用稳定自由基,如2,2-二苯基-1-苦基肼自由基(DPPH·)或2,2'-联氮-双-(3-乙基苯并噻唑啉-6-磺酸)阳离子自由基(ABTS·)。然而,由于这些自由基众所周知的非特异性反应性,在进行正确且可重复的测量时可能会出现一些挑战。为了改进和扩展此类方法,在本工作中提出了一种DPPH·自由基的高强度有色两性离子衍生物,以替代DPPH·和ABTS·衍生物。文中对公认的方法进行了讨论和比较,证明了这种非自由基化合物具有很好的潜力。