Suppr超能文献

酚类化合物的自由基清除机制:定量结构-性质关系(QSPR)研究

Radical Scavenging Mechanisms of Phenolic Compounds: A Quantitative Structure-Property Relationship (QSPR) Study.

作者信息

Platzer Melanie, Kiese Sandra, Tybussek Thorsten, Herfellner Thomas, Schneider Franziska, Schweiggert-Weisz Ute, Eisner Peter

机构信息

TUM School of Life Sciences Weihenstephan, ZIEL-Institute for Food & Health, Technical University of Munich, Freising, Germany.

Fraunhofer Institute for Process Engineering and Packaging IVV, Freising, Germany.

出版信息

Front Nutr. 2022 Apr 4;9:882458. doi: 10.3389/fnut.2022.882458. eCollection 2022.

Abstract

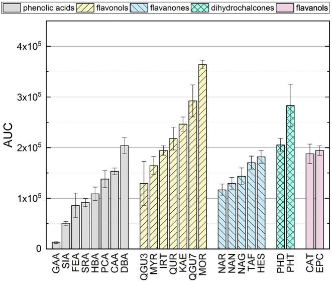
Due to their antioxidant properties, secondary plant metabolites can scavenge free radicals such as reactive oxygen species and protect foods from oxidation processes. Our aim was to study structural influences, like basic structure, number of hydroxyl groups and number of Bors criteria on the outcome of the oxygen radical absorbance capacity (ORAC) assay. Furthermore, similarities and differences to other antioxidant assays were analyzed by principal component analysis. Our studies confirmed that the antioxidant behavior in the ORAC assay is dominated by the number and types of substituents and not by the Bors criteria, as long as no steric hindrance occurs. For example, morin (MOR) with five hydroxyl groups and two Bors criteria reached an area under the curve of (3.64 ± 0.08) × 10, which was significantly higher than quercetin-7-D-glucoside (QGU7) ( < 0.001), and thus the highest result. Principal component analysis showed different dependencies regarding structural properties of Folin-Ciocalteu (FC)- and 2,2-diphenyl-1-picrylhydrazyl (DPPH)-assays or 2,2'-azino-bis (3-ethylbenzothiazoline-6-sulfonic acid) (ABTS)- and ORAC-assays, respectively. Therefore, we conclude that they are based on different reaction mechanisms. The number of hydroxyl groups showed a stronger influence on the antioxidant activity than the Bors criteria. Due to these differences, the correlation of these rapid tests to specific applications should be validated.

摘要

由于其次生植物代谢产物具有抗氧化特性,它们可以清除诸如活性氧等自由基,并保护食品免受氧化过程的影响。我们的目的是研究结构影响因素,如基本结构、羟基数量和博尔斯标准数量对氧自由基吸收能力(ORAC)测定结果的影响。此外,通过主成分分析来分析与其他抗氧化剂测定方法的异同。我们的研究证实,在ORAC测定中,抗氧化行为主要由取代基的数量和类型决定,而不是由博尔斯标准决定,只要不存在空间位阻。例如,具有五个羟基和两个博尔斯标准的桑色素(MOR)的曲线下面积达到(3.64 ± 0.08) × 10,显著高于槲皮素-7-D-葡萄糖苷(QGU7)(< 0.001),因此是最高结果。主成分分析分别显示了福林-西奥尔特(FC)法和2,2-二苯基-1-苦基肼(DPPH)法或2,2'-联氮双(3-乙基苯并噻唑啉-6-磺酸)(ABTS)法和ORAC法在结构特性方面的不同依赖性。因此,我们得出结论,它们基于不同的反应机制。羟基数量对抗氧化活性的影响比博尔斯标准更强。由于这些差异,这些快速检测方法与特定应用之间的相关性应得到验证。

https://cdn.ncbi.nlm.nih.gov/pmc/blobs/910c/9013829/1ccecc23acf1/fnut-09-882458-g0001.jpg

文献检索

告别复杂PubMed语法,用中文像聊天一样搜索,搜遍4000万医学文献。AI智能推荐,让科研检索更轻松。

立即免费搜索

文件翻译

保留排版,准确专业,支持PDF/Word/PPT等文件格式,支持 12+语言互译。

免费翻译文档

深度研究

AI帮你快速写综述,25分钟生成高质量综述,智能提取关键信息,辅助科研写作。

立即免费体验