• 文献检索
  • 文档翻译
  • 深度研究
  • 学术资讯
  • Suppr Zotero 插件Zotero 插件
  • 邀请有礼
  • 套餐&价格
  • 历史记录
应用&插件
Suppr Zotero 插件Zotero 插件浏览器插件Mac 客户端Windows 客户端微信小程序
定价
高级版会员购买积分包购买API积分包
服务
文献检索文档翻译深度研究API 文档MCP 服务
关于我们
关于 Suppr公司介绍联系我们用户协议隐私条款
关注我们

Suppr 超能文献

核心技术专利:CN118964589B侵权必究
粤ICP备2023148730 号-1Suppr @ 2026

文献检索

告别复杂PubMed语法,用中文像聊天一样搜索,搜遍4000万医学文献。AI智能推荐,让科研检索更轻松。

立即免费搜索

文件翻译

保留排版,准确专业,支持PDF/Word/PPT等文件格式,支持 12+语言互译。

免费翻译文档

深度研究

AI帮你快速写综述,25分钟生成高质量综述,智能提取关键信息,辅助科研写作。

立即免费体验

一种基于临床特征和血液生物标志物预测骨肉瘤患者预后的新型预后模型。

A novel prognostic model to predict prognosis of patients with osteosarcoma based on clinical characteristics and blood biomarkers.

作者信息

Chen Shulin, Tian Liru, Li Chuan, Zhong Dongmei, Wang Tingting, Chen Yuyu, Zhou Taifeng, Yang Xiaoming, Liao Zhiheng, Xu Caixia

机构信息

Research Center for Translational Medicine, the First Affiliated Hospital, Sun Yat-sen University, 58 Zhongshan Road 2, Guangzhou, Guangdong 510080, P.R. China.

Department of Clinical Laboratory, State Key Laboratory of Oncology in South China, Collaborative Innovation Center for Cancer Medicine, Sun Yat-sen University Cancer Center, Guangzhou 510060, P. R. China.

出版信息

J Cancer. 2025 Mar 10;16(7):2075-2086. doi: 10.7150/jca.105590. eCollection 2025.

DOI:10.7150/jca.105590
PMID:40302813
原文链接:https://pmc.ncbi.nlm.nih.gov/articles/PMC12036093/
Abstract

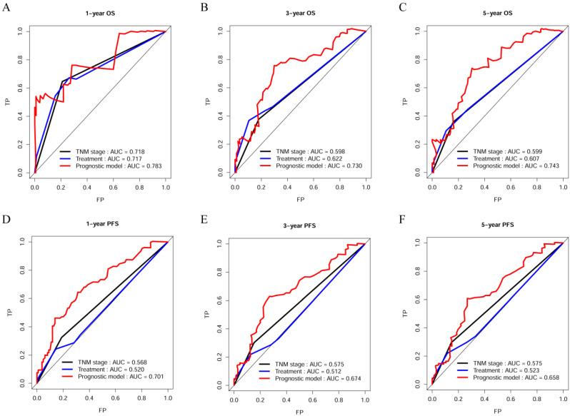
Osteosarcoma (OSC) is a high-morbidity bone cancer with an unsatisfactory prognosis. Timely and accurate assessment the overall survival (OS) and progression-free survival (PFS) in patients with OSC are required to guide and select the best treatment. This study aimed to develop a simple, convenient and low-cost prognostic model based on clinical characteristics and blood biomarkers for predicting OS and PFS in OSC patients. Overall, 158 patients with OSC included from the Sun Yat-sen University Cancer Center in this retrospective study. LASSO-Cox algorithm was used to shrink predictive factor size and established a prognostic risk model for predicting OS and PFS in OSC patients. The predictive ability of the survival model was compared to the Tumor Node Metastasis (TNM) stage and clinical treatment by concordance index (C-index), time-dependent receiver operating characteristic (td-ROC) curve, decision curve analysis (DCA), net reclassification improvement index (NRI), and integrated discrimination improvement index (IDI). Based on results from the LASSO-Cox method, gender, family history of cancer, monocyte (M), red blood cell (RBC), lactic dehydrogenase (LDH), and cystatin C (Cys-C) were identified to construct a novel predictive model for the OSC patients. The C-index of the prognostic model to predict OS and PFS were 0.713 (95% CI = 0.630 - 0.795) and 0.636 (95% CI = 0.577 - 0.696), respectively, which were higher than the OS and PFS of TNM stage and clinical treatment. Td-ROC curve and DCA of the predictive model also demonstrated good predictive accuracy and discriminatory power of OS and PFS compared to TNM stage and treatment. Moreover, the prognostic model performed well across all time frames (1-, 3-, and 5-year) with regards to the IDI and NRI in comparison to the TNM stage, and clinical treatment. The simple, convenient and low-cost prognostic model we developed demonstrated favorable performance for predicting OS and PFS in OSC patients, which may serve as a useful tool for physicians to provide personalized survival prediction for OSC patients.

摘要

骨肉瘤(OSC)是一种发病率高且预后不理想的骨癌。需要及时、准确地评估骨肉瘤患者的总生存期(OS)和无进展生存期(PFS),以指导和选择最佳治疗方案。本研究旨在基于临床特征和血液生物标志物开发一种简单、便捷且低成本的预后模型,用于预测骨肉瘤患者的OS和PFS。在这项回顾性研究中,共纳入了158例来自中山大学肿瘤防治中心的骨肉瘤患者。采用LASSO - Cox算法缩小预测因子规模,并建立了用于预测骨肉瘤患者OS和PFS的预后风险模型。通过一致性指数(C指数)、时间依赖性受试者工作特征(td - ROC)曲线、决策曲线分析(DCA)、净重新分类改善指数(NRI)和综合判别改善指数(IDI),将生存模型的预测能力与肿瘤 - 淋巴结 - 转移(TNM)分期及临床治疗进行比较。基于LASSO - Cox方法的结果,确定了性别、癌症家族史、单核细胞(M)、红细胞(RBC)、乳酸脱氢酶(LDH)和胱抑素C(Cys - C),以构建骨肉瘤患者的新型预测模型。该预后模型预测OS和PFS的C指数分别为0.713(95%CI = 0.630 - 0.795)和0.636(95%CI = 0.577 - 0.696),高于TNM分期和临床治疗的OS及PFS。与TNM分期和治疗相比,预测模型的td - ROC曲线和DCA也显示出对OS和PFS具有良好的预测准确性和鉴别力。此外,与TNM分期和临床治疗相比,该预后模型在所有时间框架(1年、3年和5年)的IDI和NRI方面表现良好。我们开发的简单、便捷且低成本的预后模型在预测骨肉瘤患者的OS和PFS方面表现良好,这可能为医生为骨肉瘤患者提供个性化生存预测提供有用工具。

https://cdn.ncbi.nlm.nih.gov/pmc/blobs/3755/12036093/21f523b3a926/jcav16p2075g007.jpg
https://cdn.ncbi.nlm.nih.gov/pmc/blobs/3755/12036093/2d0a65dd3177/jcav16p2075g001.jpg
https://cdn.ncbi.nlm.nih.gov/pmc/blobs/3755/12036093/44d6ed23dbdf/jcav16p2075g002.jpg
https://cdn.ncbi.nlm.nih.gov/pmc/blobs/3755/12036093/c96699b207a1/jcav16p2075g003.jpg
https://cdn.ncbi.nlm.nih.gov/pmc/blobs/3755/12036093/497bf3afe8c4/jcav16p2075g004.jpg
https://cdn.ncbi.nlm.nih.gov/pmc/blobs/3755/12036093/a8e2dc58bb00/jcav16p2075g005.jpg
https://cdn.ncbi.nlm.nih.gov/pmc/blobs/3755/12036093/40e80cd079eb/jcav16p2075g006.jpg
https://cdn.ncbi.nlm.nih.gov/pmc/blobs/3755/12036093/21f523b3a926/jcav16p2075g007.jpg
https://cdn.ncbi.nlm.nih.gov/pmc/blobs/3755/12036093/2d0a65dd3177/jcav16p2075g001.jpg
https://cdn.ncbi.nlm.nih.gov/pmc/blobs/3755/12036093/44d6ed23dbdf/jcav16p2075g002.jpg
https://cdn.ncbi.nlm.nih.gov/pmc/blobs/3755/12036093/c96699b207a1/jcav16p2075g003.jpg
https://cdn.ncbi.nlm.nih.gov/pmc/blobs/3755/12036093/497bf3afe8c4/jcav16p2075g004.jpg
https://cdn.ncbi.nlm.nih.gov/pmc/blobs/3755/12036093/a8e2dc58bb00/jcav16p2075g005.jpg
https://cdn.ncbi.nlm.nih.gov/pmc/blobs/3755/12036093/40e80cd079eb/jcav16p2075g006.jpg
https://cdn.ncbi.nlm.nih.gov/pmc/blobs/3755/12036093/21f523b3a926/jcav16p2075g007.jpg

相似文献

1
A novel prognostic model to predict prognosis of patients with osteosarcoma based on clinical characteristics and blood biomarkers.一种基于临床特征和血液生物标志物预测骨肉瘤患者预后的新型预后模型。
J Cancer. 2025 Mar 10;16(7):2075-2086. doi: 10.7150/jca.105590. eCollection 2025.
2
A new prognostic model for predicting overall survival and progression-free survival in unresectable hepatocellular carcinoma treated with the FOLFOX-HAIC regimen based on patient clinical characteristics and blood biomarkers.一种基于患者临床特征和血液生物标志物预测接受FOLFOX-HAIC方案治疗的不可切除肝细胞癌总生存期和无进展生存期的新预后模型。
BMC Cancer. 2025 Jan 21;25(1):112. doi: 10.1186/s12885-024-13390-4.
3
A novel quantitative prognostic model for initially diagnosed non-small cell lung cancer with brain metastases.一种用于初诊非小细胞肺癌脑转移的新型定量预后模型。
Cancer Cell Int. 2022 Aug 11;22(1):251. doi: 10.1186/s12935-022-02671-2.
4
A novel model for predicting prognosis and response to immunotherapy in nasopharyngeal carcinoma patients.一种用于预测鼻咽癌患者预后和免疫治疗反应的新模型。
Cancer Immunol Immunother. 2024 Jan 18;73(1):14. doi: 10.1007/s00262-023-03626-w.
5
A novel risk classifier for predicting the overall survival of patients with thymic epithelial tumors based on the eighth edition of the TNM staging system: A population-based study.基于第八版 TNM 分期系统的新型胸腺瘤患者总生存风险分类器预测模型:一项基于人群的研究。
Front Endocrinol (Lausanne). 2022 Dec 6;13:1050364. doi: 10.3389/fendo.2022.1050364. eCollection 2022.
6
Clinical usefulness of the lymphocyte-to-monocyte ratio and aggregate index of systemic inflammation in patients with esophageal cancer: a retrospective cohort study.淋巴细胞与单核细胞比值及全身炎症聚集指数在食管癌患者中的临床应用:一项回顾性队列研究
Cancer Cell Int. 2023 Jan 27;23(1):13. doi: 10.1186/s12935-023-02856-3.
7
Development and evaluation of nomograms and risk stratification systems to predict the overall survival and cancer-specific survival of patients with hepatocellular carcinoma.开发和评估列线图和风险分层系统,以预测肝细胞癌患者的总生存率和癌症特异性生存率。
Clin Exp Med. 2024 Feb 28;24(1):44. doi: 10.1007/s10238-024-01296-1.
8
Prognostic nomogram for patients with Nasopharyngeal Carcinoma incorporating hematological biomarkers and clinical characteristics.纳入血液学标志物和临床特征的鼻咽癌患者预后列线图。
Int J Biol Sci. 2018 Apr 5;14(5):549-556. doi: 10.7150/ijbs.24374. eCollection 2018.
9
A nomogram model based on the number of examined lymph nodes-related signature to predict prognosis and guide clinical therapy in gastric cancer.基于检查淋巴结数量相关特征的列线图模型预测胃癌的预后并指导临床治疗。
Front Immunol. 2022 Nov 2;13:947802. doi: 10.3389/fimmu.2022.947802. eCollection 2022.
10
Nomograms based on SUVmax of F-FDG PET/CT and clinical parameters for predicting progression-free and overall survival in patients with newly diagnosed extranodal natural killer/T-cell lymphoma.基于 F-FDG PET/CT 最大标准摄取值和临床参数的列线图预测初诊结外鼻型自然杀伤/T 细胞淋巴瘤患者的无进展生存和总生存。
Cancer Imaging. 2021 Jan 8;21(1):9. doi: 10.1186/s40644-020-00379-y.

引用本文的文献

1
Screening drugs of Anemoside B4 for MFAP4 expression in osteosarcoma in PDTX to increase personalized medicine.筛选Anemoside B4在骨肉瘤患者源性肿瘤异种移植模型中对MFAP4表达的影响,以推进个性化医疗。
Discov Oncol. 2025 Aug 11;16(1):1527. doi: 10.1007/s12672-025-03373-7.

本文引用的文献

1
Family history of cancer is associated with poorer prognosis in oral squamous cell carcinoma.癌症家族史与口腔鳞状细胞癌的预后较差相关。
Oral Dis. 2023 Jul;29(5):2066-2075. doi: 10.1111/odi.14253. Epub 2022 May 24.
2
Patrolling monocytes inhibit osteosarcoma metastasis to the lung.巡逻单核细胞抑制骨肉瘤向肺部转移。
Aging (Albany NY). 2020 Nov 16;12(22):23004-23016. doi: 10.18632/aging.104041.
3
The potential of cystatin C as a predictive biomarker in breast cancer.胱抑素 C 作为乳腺癌预测性生物标志物的潜力。
Expert Rev Anticancer Ther. 2020 Dec;20(12):1049-1056. doi: 10.1080/14737140.2020.1829481. Epub 2020 Oct 5.
4
CONUT Score or/and Peripheral Blood CD4+/CD8+ Ratio-Based Web Dynamic Nomograms to Predict the Individualized Survival of Patients with Advanced Osteosarcoma.基于CONUT评分或/和外周血CD4+/CD8+比值的网络动态列线图预测晚期骨肉瘤患者的个体化生存情况
Cancer Manag Res. 2020 Jun 3;12:4193-4208. doi: 10.2147/CMAR.S251814. eCollection 2020.
5
Prognostic factors in osteosarcoma: A study level meta-analysis and systematic review of current practice.骨肉瘤的预后因素:一项研究水平的Meta分析及当前实践的系统评价
J Bone Oncol. 2020 Feb 21;21:100281. doi: 10.1016/j.jbo.2020.100281. eCollection 2020 Apr.
6
Influence of family history on risk of second primary cancers and survival in patients with squamous cell skin cancer.家族史对皮肤鳞状细胞癌患者发生第二原发性癌症的风险及生存的影响。
Br J Dermatol. 2020 Sep;183(3):488-494. doi: 10.1111/bjd.18809. Epub 2020 Feb 6.
7
Metastasis risk prediction model in osteosarcoma using metabolic imaging phenotypes: A multivariable radiomics model.基于代谢成像表型的骨肉瘤转移风险预测模型:一个多变量放射组学模型。
PLoS One. 2019 Nov 25;14(11):e0225242. doi: 10.1371/journal.pone.0225242. eCollection 2019.
8
Exploring breast cancer response prediction to neoadjuvant systemic therapy using MRI-based radiomics: A systematic review.探讨基于 MRI 的影像组学预测新辅助全身治疗乳腺癌反应:系统综述。
Eur J Radiol. 2019 Dec;121:108736. doi: 10.1016/j.ejrad.2019.108736. Epub 2019 Nov 6.
9
Screening and Identification of Potential Prognostic Biomarkers in Adrenocortical Carcinoma.肾上腺皮质癌潜在预后生物标志物的筛选与鉴定
Front Genet. 2019 Sep 11;10:821. doi: 10.3389/fgene.2019.00821. eCollection 2019.
10
microRNA-211 regulates cell proliferation, apoptosis and migration/invasion in human osteosarcoma via targeting EZRIN.microRNA-211 通过靶向 EZRIN 调节人骨肉瘤细胞的增殖、凋亡和迁移/侵袭。
Cell Mol Biol Lett. 2019 Jul 9;24:48. doi: 10.1186/s11658-019-0173-x. eCollection 2019.