• 文献检索
  • 文档翻译
  • 深度研究
  • 学术资讯
  • Suppr Zotero 插件Zotero 插件
  • 邀请有礼
  • 套餐&价格
  • 历史记录
应用&插件
Suppr Zotero 插件Zotero 插件浏览器插件Mac 客户端Windows 客户端微信小程序
定价
高级版会员购买积分包购买API积分包
服务
文献检索文档翻译深度研究API 文档MCP 服务
关于我们
关于 Suppr公司介绍联系我们用户协议隐私条款
关注我们

Suppr 超能文献

核心技术专利:CN118964589B侵权必究
粤ICP备2023148730 号-1Suppr @ 2026

文献检索

告别复杂PubMed语法,用中文像聊天一样搜索,搜遍4000万医学文献。AI智能推荐,让科研检索更轻松。

立即免费搜索

文件翻译

保留排版,准确专业,支持PDF/Word/PPT等文件格式,支持 12+语言互译。

免费翻译文档

深度研究

AI帮你快速写综述,25分钟生成高质量综述,智能提取关键信息,辅助科研写作。

立即免费体验

入院时血清五聚素3水平与急性缺血性脑卒中患者功能结局的关联:一项荟萃分析

The Association Between Serum Pentraxin-3 Level at Admission and the Functional Outcome of Patients After Acute Ischemic Stroke: A Meta-Analysis.

作者信息

Zhu Yanrong, Fan Kui, Zhao Xujuan, Hou Kaiwen

机构信息

Clinic of Physical Examination Center of the Outpatient, General Hospital of the Western Theater Command of the People's Liberation Army of China, Chengdu, China.

出版信息

Balkan Med J. 2025 May 5;42(3):201-211. doi: 10.4274/balkanmedj.galenos.2025.2025-1-36.

DOI:10.4274/balkanmedj.galenos.2025.2025-1-36
PMID:40326822
原文链接:https://pmc.ncbi.nlm.nih.gov/articles/PMC12060599/
Abstract

BACKGROUND

Acute ischemic stroke (AIS) remains a leading cause of disability worldwide, placing a significant burden on patients' quality of life and healthcare systems. Pentraxin-3 (PTX-3), an inflammatory biomarker, may be associated with AIS prognosis; however, existing evidence is inconclusive.

AIMS

To examine whether serum PTX-3 levels at admission are linked to the likelihood of poor functional outcomes in AIS patients.

STUDY DESIGN

Systematic review and meta-analysis.

METHODS

A comprehensive search of PubMed, Embase, Web of Science, China National Knowledge Infrastructure (CNKI), and Wanfang databases was conducted to identify studies evaluating PTX-3 levels in AIS patients. Eligible studies included those that measured PTX-3 within 48 h of admission and evaluated outcomes using the modified Rankin Scale, with scores > 2 defined as poor outcomes. A random-effects model was used to calculate pooled odds ratios (ORs) and corresponding 95% confidence intervals (CIs).

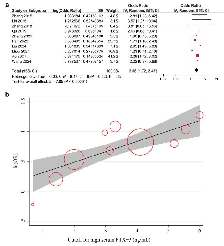
RESULTS

Ten cohort studies involving1202 AIS patients were included. Higher PTX-3 levels at admission were significantly associated with an increased risk of poor functional outcomes (OR, 2.06; 95% CI, 1.72-2.47; < 0.001), with no significant heterogeneity (I² = 0%). Meta-regression showed that using higher PTX-3 cutoff values reported stronger associations ( < 0.05). Subgroup analyses confirmed consistent associations across study designs, patient characteristics, and timing of outcome assessment. The association was more pronounced in studies using a PTX-3 cutoff ≥ 3.3 ng/mL compared to those with a cutoff < 3.3 ng/mL.

CONCLUSION

Elevated serum PTX-3 levels at admission may serve as a prognostic biomarker for poor functional outcomes in AIS. Differences in PTX-3 cutoff values and potential residual confounding should also be considered. Further multicenter studies involving diverse populations are necessary to confirm these results and establish PTX-3 as a reliable prognostic indicator in clinical practice.

摘要

背景

急性缺血性卒中(AIS)仍是全球致残的主要原因,给患者的生活质量和医疗系统带来了沉重负担。炎症生物标志物五聚体-3(PTX-3)可能与AIS预后相关;然而,现有证据尚无定论。

目的

探讨入院时血清PTX-3水平是否与AIS患者功能预后不良的可能性相关。

研究设计

系统评价和荟萃分析。

方法

全面检索PubMed、Embase、Web of Science、中国知网(CNKI)和万方数据库,以识别评估AIS患者PTX-3水平的研究。符合条件的研究包括那些在入院48小时内测量PTX-3并使用改良Rankin量表评估结局的研究,得分>2定义为预后不良。采用随机效应模型计算合并比值比(OR)和相应的95%置信区间(CI)。

结果

纳入了10项队列研究,涉及1202例AIS患者。入院时较高的PTX-3水平与功能预后不良风险增加显著相关(OR,2.06;95%CI,1.72-2.47;P<0.001),无显著异质性(I²=0%)。Meta回归显示,使用较高的PTX-3临界值报告的关联更强(P<0.05)。亚组分析证实,在不同的研究设计、患者特征和结局评估时间方面,关联一致。与临界值<3.3 ng/mL的研究相比,在使用PTX-3临界值≥3.3 ng/mL的研究中,这种关联更为明显。

结论

入院时血清PTX-3水平升高可能是AIS患者功能预后不良的预后生物标志物。还应考虑PTX-3临界值的差异和潜在的残余混杂因素。有必要开展涉及不同人群的进一步多中心研究,以证实这些结果,并将PTX-3确立为临床实践中可靠的预后指标。

https://cdn.ncbi.nlm.nih.gov/pmc/blobs/6abe/12060599/37b406ea3077/BalkanMedJ-42-3-201-figure-6.jpg
https://cdn.ncbi.nlm.nih.gov/pmc/blobs/6abe/12060599/0cb283eebff1/BalkanMedJ-42-3-201-figure-1.jpg
https://cdn.ncbi.nlm.nih.gov/pmc/blobs/6abe/12060599/a614444d2dad/BalkanMedJ-42-3-201-figure-13.jpg
https://cdn.ncbi.nlm.nih.gov/pmc/blobs/6abe/12060599/a55e3ba1619b/BalkanMedJ-42-3-201-figure-12.jpg
https://cdn.ncbi.nlm.nih.gov/pmc/blobs/6abe/12060599/250a730e7f17/BalkanMedJ-42-3-201-figure-11.jpg
https://cdn.ncbi.nlm.nih.gov/pmc/blobs/6abe/12060599/70d2ee09f522/BalkanMedJ-42-3-201-figure-10.jpg
https://cdn.ncbi.nlm.nih.gov/pmc/blobs/6abe/12060599/37b406ea3077/BalkanMedJ-42-3-201-figure-6.jpg
https://cdn.ncbi.nlm.nih.gov/pmc/blobs/6abe/12060599/0cb283eebff1/BalkanMedJ-42-3-201-figure-1.jpg
https://cdn.ncbi.nlm.nih.gov/pmc/blobs/6abe/12060599/a614444d2dad/BalkanMedJ-42-3-201-figure-13.jpg
https://cdn.ncbi.nlm.nih.gov/pmc/blobs/6abe/12060599/a55e3ba1619b/BalkanMedJ-42-3-201-figure-12.jpg
https://cdn.ncbi.nlm.nih.gov/pmc/blobs/6abe/12060599/250a730e7f17/BalkanMedJ-42-3-201-figure-11.jpg
https://cdn.ncbi.nlm.nih.gov/pmc/blobs/6abe/12060599/70d2ee09f522/BalkanMedJ-42-3-201-figure-10.jpg
https://cdn.ncbi.nlm.nih.gov/pmc/blobs/6abe/12060599/37b406ea3077/BalkanMedJ-42-3-201-figure-6.jpg

相似文献

1
The Association Between Serum Pentraxin-3 Level at Admission and the Functional Outcome of Patients After Acute Ischemic Stroke: A Meta-Analysis.入院时血清五聚素3水平与急性缺血性脑卒中患者功能结局的关联:一项荟萃分析
Balkan Med J. 2025 May 5;42(3):201-211. doi: 10.4274/balkanmedj.galenos.2025.2025-1-36.
2
Circulating level of growth-differentiation factor 15 and the functional outcome after acute ischemic stroke: a systematic review and meta-analysis.生长分化因子15的循环水平与急性缺血性中风后的功能结局:一项系统评价和荟萃分析。
Head Face Med. 2024 Dec 28;20(1):72. doi: 10.1186/s13005-024-00476-4.
3
Folic acid supplementation and malaria susceptibility and severity among people taking antifolate antimalarial drugs in endemic areas.在流行地区,服用抗叶酸抗疟药物的人群中,叶酸补充剂与疟疾易感性和严重程度的关系。
Cochrane Database Syst Rev. 2022 Feb 1;2(2022):CD014217. doi: 10.1002/14651858.CD014217.
4
Serum pentraxin-3 in patients with chronic obstructive pulmonary disease: A meta-analysis.血清五聚素-3 在慢性阻塞性肺疾病患者中的研究:一项荟萃分析。
Biomol Biomed. 2024 Oct 17;24(6):1535-1545. doi: 10.17305/bb.2024.10875.
5
Prognostic value of the neutrophil-to-lymphocyte ratio in acute ischemic stroke patients treated with intravenous thrombolysis: a systematic review and meta-analysis.中性粒细胞与淋巴细胞比值对接受静脉溶栓治疗的急性缺血性脑卒中患者的预后价值:系统评价和荟萃分析。
BMC Neurol. 2021 May 11;21(1):191. doi: 10.1186/s12883-021-02222-8.
6
The Association of Systemic Inflammatory Response Index and Neutrophil-to-High-Density Lipoprotein Ratio Mediated by Fasting Blood Glucose with 90-Day Prognosis in Acute Ischemic Stroke Patients.急性缺血性脑卒中患者中,空腹血糖介导的全身炎症反应指数与中性粒细胞与高密度脂蛋白比值与90天预后的相关性
Neuroepidemiology. 2025;59(1):31-42. doi: 10.1159/000539132. Epub 2024 May 15.
7
A systematic review and meta-analysis of serum cystatin C levels and acute ischemic stroke outcomes.血清胱抑素C水平与急性缺血性卒中结局的系统评价和荟萃分析。
Adv Clin Exp Med. 2025 Feb;34(2):153-163. doi: 10.17219/acem/184641.
8
Can baseline C-reactive protein level predict functional outcome in acute ischaemic stroke? A meta-analysis.基线 C 反应蛋白水平能否预测急性缺血性脑卒中的功能结局?一项荟萃分析。
Biomarkers. 2020 Nov;25(7):525-532. doi: 10.1080/1354750X.2020.1817982. Epub 2020 Sep 20.
9
Associations of Soluble Serum Stimulation-2 With Functional Outcomes and Death at 1 Year in Acute Ischemic Stroke: A Prospective Cohort Study.急性缺血性卒中患者血清可溶性刺激因子-2与1年功能转归及死亡的相关性:一项前瞻性队列研究
J Am Heart Assoc. 2025 Apr 15;14(8):e038149. doi: 10.1161/JAHA.124.038149. Epub 2025 Apr 10.
10
Neutrophil-to-albumin Ratio as a Prognostic Factor in Patients with Acute Ischemic Stroke.中性粒细胞与白蛋白比值作为急性缺血性脑卒中患者的预后因素。
Curr Neurovasc Res. 2024;21(3):300-309. doi: 10.2174/0115672026328594240614080241.

引用本文的文献

1
uPAR and cFn as candidate protein biomarkers for identifying low response to rtPA in acute ischemic stroke.尿激酶型纤溶酶原激活物受体(uPAR)和纤连蛋白(cFn)作为急性缺血性卒中患者对重组组织型纤溶酶原激活剂(rtPA)反应低下的候选蛋白质生物标志物。
Eur J Med Res. 2025 Jul 24;30(1):662. doi: 10.1186/s40001-025-02772-4.

本文引用的文献

1
Targeting Cytokine-Mediated Inflammation in Brain Disorders: Developing New Treatment Strategies.针对脑部疾病中细胞因子介导的炎症:开发新的治疗策略。
Pharmaceuticals (Basel). 2025 Jan 15;18(1):104. doi: 10.3390/ph18010104.
2
The Role of the Complement System in Synaptic Pruning after Stroke.补体系统在中风后突触修剪中的作用。
Aging Dis. 2024 Jun 25;16(3):1452-1470. doi: 10.14336/AD.2024.0373.
3
Body fluids biomarkers associated with prognosis of acute ischemic stroke: progress and prospects.与急性缺血性中风预后相关的体液生物标志物:进展与展望
Future Sci OA. 2024 May 20;10(1):FSO931. doi: 10.2144/fsoa-2023-0142. eCollection 2024.
4
2024 Heart Disease and Stroke Statistics: A Report of US and Global Data From the American Heart Association.2024 年心脏病与中风统计数据:美国心脏协会发布的美国和全球数据报告。
Circulation. 2024 Feb 20;149(8):e347-e913. doi: 10.1161/CIR.0000000000001209. Epub 2024 Jan 24.
5
Predicting 90-Day Prognosis in Ischemic Stroke Patients Post Thrombolysis Using Machine Learning.使用机器学习预测缺血性中风患者溶栓后的90天预后
J Pers Med. 2023 Oct 30;13(11):1555. doi: 10.3390/jpm13111555.
6
Integrative Approaches in Acute Ischemic Stroke: From Symptom Recognition to Future Innovations.急性缺血性卒中的综合治疗方法:从症状识别到未来创新
Biomedicines. 2023 Sep 23;11(10):2617. doi: 10.3390/biomedicines11102617.
7
Molecular insight into pentraxin-3: Update advances in innate immunity, inflammation, tissue remodeling, diseases, and drug role.五聚素-3 的分子研究进展:固有免疫、炎症、组织重塑、疾病和药物作用的更新进展。
Biomed Pharmacother. 2022 Dec;156:113783. doi: 10.1016/j.biopha.2022.113783. Epub 2022 Sep 30.
8
Global stroke statistics 2022.全球中风统计 2022 年。
Int J Stroke. 2022 Oct;17(9):946-956. doi: 10.1177/17474930221123175. Epub 2022 Sep 19.
9
Repeated Measures of Modified Rankin Scale Scores to Assess Functional Recovery From Stroke: AFFINITY Study Findings.重复使用改良 Rankin 量表评分评估卒中后的功能恢复:AFFINITY 研究结果。
J Am Heart Assoc. 2022 Aug 16;11(16):e025425. doi: 10.1161/JAHA.121.025425. Epub 2022 Aug 5.
10
Interleukins and Ischemic Stroke.白细胞介素与缺血性脑卒中。
Front Immunol. 2022 Jan 31;13:828447. doi: 10.3389/fimmu.2022.828447. eCollection 2022.